2023 Vol. 49, No. 10

Display Method:
Volume 10 Issue E-journal
Volume 49 Issue102023
iconDownload (37704) 1376 iconPreview
2023, 49(10): 1-1.
Abstract:
2023, 49(10): 1-1.
Abstract:
2023, 49(10): 1-4.
Abstract:
2023, 49(10): 1-1.
Abstract:
Bimodal text-guided image inpainting algorithm
LI Haiyan, CHEN Jie, YU Pengfei, LI Haijiang, ZHANG Yufeng
2023, 49(10): 2547-2557. doi: 10.13700/j.bh.1001-5965.2021.0720
Abstract:

A bimodal text-guided image inpainting model is proposed to address shortcomings of the existing image restoration algorithms, such as the restored results are poor and uncontrollable when repairing large areas of distortions due to lack of sufficient contextual information. The proposed algorithm introduces text labels as the control guide for restoration to ensure the overall and regional consistency of the inpainted results and to increase the controllable diversity of the results. Firstly, a dual bi-modal mask attention mechanism is designed to extract semantic information from the damaged region. Subsequently, the text image fusion process in the generator is deepened by a deep text-image fusion module, and the image-text matching loss is applied to maximize the semantic similarity between the generated images and the text. Finally, a projection discriminator is used to train the generated image with the original image to enhance the authenticity of the restored image. Quantitative and qualitative experiments are conducted on two datasets with textual labels. The experimental results demonstrate that the repaired images are consistent with the guidance text description, and various results can be generated according to various textual descriptions.

Influence of temperature stress on fatigue damage of airfield pavement slab
ZHANG Xianmin, NIE Pengfei, GAO Zhibin, BAO Yiting, LI Changhui
2023, 49(10): 2558-2566. doi: 10.13700/j.bh.1001-5965.2021.0729
Abstract:

At present, temperature stress is not calculated in the design of airfield cement concrete pavement in China. The finite element model is established to simulate the temperature field of the structure and analyze the temperature stress of the slab using the case of an airport in North China, its meteorological data, and the application of heat transfer theories in road engineering and airfield engineering. The results show that there is a large lag between the atmospheric temperature curve, the radiation curve, and the temperature stress curve of the slab bottom, which leads to the maximum temperature stress occurring at 19 to 20. We may examine the cumulative damage and remaining life of the airport pavement by superimposing the temperature stress, which varies with time, and the gear stress, which varies with transverse position, and dividing the number of gear load actions according to transverse position, month, and hour. The results show that the residual life of the airfield pavement analyzed by this method is close to the prediction result of core sampling and FAARFIELD, as well as the actual continuous operation time of the pavement. This method above can be used to calculate the temperature stress of the slab with large thickness, predict and evaluate the residual life of the existing airfield pavement structure, and is a reference for the research and design of the large-size airfield pavement structure.

Principle and performance analysis of base station cluster location
GONG Fengxun, LI Mengran
2023, 49(10): 2567-2578. doi: 10.13700/j.bh.1001-5965.2021.0751
Abstract:

The time difference of arrival (TDOA) can be used for airport surface multilateration (MLAT). In order to resolve the problems which include large time delay standard deviation, long baseline, poor vertical positioning accuracy, and difficult layout design, etc. A base station cluster layout of multilateration (C-MLAT) method is suggested along with the introduction of the base station cluster concept. The principle and performance state of the base station cluster location is revealed, and the C-MLAT model is established. It is easy to accurately synchronize the clock in the base station cluster and simplify the geometric dilution of precision (GDOP) calculation. The GDOP distribution state proves that C-MLAT can meet the positioning requirements by means of supplementary station or multi-base station cluster joint positioning after shortening the baseline. The horizontal accuracy error and vertical accuracy error are significantly reduced by using C-MLAT to establish class A and class B station distribution methods. The vertical positioning inaccuracy of class A and class B C-MLAT is reduced by approximately 26% and 36%, respectively, while the horizontal positioning accuracy of class A and class B C-MLAT is enhanced to 1.76 m and 1.69 m, respectively. In conclusion, C-MLAT positioning has better performance and application advantages.

Importance evaluation of JTC compensation capacitor based on reliability truth table
WU Xiaochun, HONG Ling
2023, 49(10): 2579-2586. doi: 10.13700/j.bh.1001-5965.2021.0767
Abstract:

A method based on a reliability truth table for evaluating the importance of jointless track circuit (JTC) compensation capacitor is developed in order to assess the significance of compensation capacitors at various points of JTC. Firstly, an adjustment state model and a shunt state of the JTC are established, then the received voltage and shunt current amplitude curves of all fault types when compensation capacitors are disconnected in the adjustment state and shunt state are obtained by simulation. Secondly, the corresponding received voltage and minimum shunt current are extracted and compared with their thresholds, so as to establish the JTC reliability truth table. Finally, the reliability truth table is used to calculate the importance coefficient of each compensation capacitor, and the column diagram is used to find the location of the compensation capacitors that have the greatest influence on JTC. The results show that the second and third compensation capacitors near the receiver have a great influence on JTC. This method can assist the field maintenance personnel to determine the maintenance priority of each compensation capacitor and provide the basis for the key monitoring and preventive maintenance of compensation capacitors.

Prescribed performance control for quadrotor UAV with unknown kinetic parameters
WU Xiaojing, HAN Xinrui, WU Xueli, LUO Xiaoyuan, SHAO Shikai
2023, 49(10): 2587-2595. doi: 10.13700/j.bh.1001-5965.2021.0714
Abstract:

A new double closed loop and prescribed performance control method based on adaptive dynamic-surface frames is proposed for the uncertain quadrotor UAV with unknown external airflow disturbance, air resistance and time-varying load. During the design process, the four-rotor UAV system is decoupled into two loops: the outer loop position subsystem and the inner loop attitude subsystem, connected by attitude extraction algorithm. For the position and attitude subsystems, the unknown dynamic parameters, air resistance and external interference of the system are estimated by using the adaptive method. A new coordinate transformation is then introduced to act on the tracking errors. Based on the Lyapunov stability theory, a new method is proposed for the design of a prescribed performance controller to make the tracking error of the closed-loop system uniform, achieving ultimate bounded stability. The transient and steady-state performance requirements are met in the whole dynamic process. Compared with the existing results, our results overcome the limitations of accurately known system kinetic parameters and loads, and avoid the complicated inverse process in the design of the prescribed performance control. Finally, the simulation examples are provided to verify the effectiveness and superiority of the proposed method.

Endwall profiling of turbine blade hub with rim seal
HE Zhenpeng, ZHOU Jiaxing, XIN Jia, YANG Chengquan, SUN Aijun, LI Baichun
2023, 49(10): 2596-2607. doi: 10.13700/j.bh.1001-5965.2021.0728
Abstract:

To investigate the effect of active endwall control on reducing the influence of rim seal flow on the mainstream passage, this study analyzed the aerodynamic losses of the interaction between the purge flow and the main flow, and the effect of the endwall profiling on the losses reduction, based on the non-axisymmetric endwall profiled by hub static pressure. The results showed that the non-axisymmetric endwall profiling reduces the blockage of the main flow passage by the purge flow, and increases the mass flow rate. The efficiency of the turbine can be increased with a reasonable control of the endwall profiling amplitude. The convex end wall profiling near the leading edge of the blade increases the radial pressure gradient at the exit of the rim seal cavity, and increases the intensity of gas ingestion and purge flow injection. The non-axisymmetric hub endwall profiling reduces the transverse pressure gradient in the main flow passage, lowers the radial position of the hub secondary flow structure and reduces the secondary flow losses caused by the purge flow. The secondary flow kinetic energy is reduced by 1.18% and 3.76% for models with modelling amplitudes of 5% and 8% respectively at the purge flow ratio of 1.2%.

LiDAR obstacle detection based on improved density clustering
NIU Guochen, WANG Yueyang, TIAN Yibo
2023, 49(10): 2608-2616. doi: 10.13700/j.bh.1001-5965.2021.0733
Abstract:

For the 3D point cloud collected by the LiDAR on the intelligent vehicle in the park environment, there exist some problems, for example, the obstacles far away from the LiDAR are easily missed, adjacent obstacles are prone to incompletely or excessively differentiate, and the algorithm is time-consuming. To solve these problems, the improved density-based spatial clustering of applications with noise (DBSCAN) algorithm is proposed by adaptively changing the clustering radius based on laser beams that are distributed differently in the horizontal and vertical directions. It is also suggested to combine the upgraded k-means algorithm with the concept of group clustering to create a quick and accurate obstacle identification technique. Firstly, the 3D point clouds in the region of interest (ROI) are preliminarily grouped by using the improved k-means algorithm according to 3D point clouds density characteristics. Then, the point clouds in each group are clustered in parallel using the parameter adaptive DBSCAN algorithm. Finally, the clusters on the qualified group boundary are merged to complete the obstacle detection. The experimental findings indicate that when compared to the conventional approaches, the suggested method’s true positive rate of obstacle detection is enhanced by 17.5%, and the average time consumption is decreased by 23.6%.

Multidimensional degradation data generation method based on variational autoencoder
LIN Yanhui, LI Chunbo
2023, 49(10): 2617-2627. doi: 10.13700/j.bh.1001-5965.2021.0760
Abstract:

The data-driven remaining useful life (RUL) prediction method does not rely on complicated physical models; instead, it can use current monitoring data as well as historical operational data for the equipment, which is very important for developing a reasonable maintenance strategy and lowering the equipment's maintenance costs. However, the data-driven RUL prediction method relies on a large amount of historical data. When the data is insufficient, especially for multidimensional degradation data, the model is difficult to achieve good prediction results. To solve this problem, this paper proposes a multidimensional degradation data generation method.The technique creates a one-stage model using a conditional variational autoencoder as the generation model and a long short-term memory network as the RUL prediction model. The generation model can then be updated using the RUL prediction model, which can then be used to boost the RUL prediction model's performance in the absence of enough degradation data. On a dataset of aero-engine degradation, the approach is validated. The method is validated on an aero-engine degradation dataset. By comparing the performance of the RUL prediction model trained with and without generated data, the effectiveness of the method is demonstrated for RUL prediction with insufficient data.

Optimization method for inlet and outlet of irregular fuel tank inerting system
SHAO Lei, PENG Yang, LU Xia, ZHANG Chao, HE Jiawei, YANG Wenju
2023, 49(10): 2628-2634. doi: 10.13700/j.bh.1001-5965.2021.0768
Abstract:

An optimization method appropriate for the irregular fuel tank inerting system is proposed based on the Entropy-weight improvement TOPSIS method in order to address the issues of uneven oxygen distribution and insufficient inerting when the irregular fuel tank is inserted. When combined with the numerical simulation method, the comprehensive evaluation is carried out, and the optimization design for the Boeing 747 inerting system is then realized. The results show that: The inerting scheme designed by the Entropy-weight improvement TOPSIS method can not only reduce the flow demand of inert gas but also make the oxygen distribution more uniform. The optimization inerting scheme of Boeing 747 aircraft has improved the comprehensive performance metrics by 22.67%, the speed metrics by 2.97%, and the uniformity metrics by 27.78%. The design idea of a “one-side bias placement ” inerting scheme can increase the flow path and prolong the existence time of inert gas so that the oxygen distribution is more uniform and the oxygen concentration decreases rapidly when the fuel tank is inserted.

A visual detection and grasping method based on deep learning
SUN Xiantao, CHENG Wei, CHEN Wenjie, FANG Xiaohan, CHEN Weihai, YANG Yinming
2023, 49(10): 2635-2644. doi: 10.13700/j.bh.1001-5965.2022.0130
Abstract:

This paper proposes a deep learning based visual detection and grasping method to solve the problems of the existing robotic grasping systems, including high hardware costs, difficulty in adapting to different objects, and large harmful torques. The channel attention mechanism is used to enhance the ability of the network to extract image features, improving the effect of target detection in complex environments using the improved YOLO-V3. It is found that the average recognition rate is increased by 0.32% compared with that before the improvement. In addition, to address the discreteness of estimated orientation angles, an embedded minimum area bounding rectangle (MABR) algorithm based on VGG-16 backbone network is proposed to estimate and optimize the grasping position and orientation. The average error between the improved predicted grasping angle and the actual angle of the target is less than 2.47°, significantly reducing the additional harmful torque applied by the two-finger gripper to the object in the grasping process. This study then builds a visual grasping system, using a UR5 robotic arm, a pneumatic two-finger robotic gripper, a Realsense D435 camera, and an ATI-Mini45 six-axis force/torque sensor. Experimental results show that the proposed method can effectively grasp and classify objects, with low requirements for hardware. It reduces the harmful torque by about 75%, thereby reducing damage to grasped objects, and showing a great application prospect.

Vascular ultrasound image segmentation algorithm based on phase symmetry
GUAN Shaoya, ZHANG Cheng, MENG Cai, CAO Jianshu, SUN Kai, WANG Tianmiao
2023, 49(10): 2645-2650. doi: 10.13700/j.bh.1001-5965.2021.0696
Abstract:

Ultrasound imaging has become one of the common examination methods in clinical diagnosis due to its advantages of economical, portable, radiation-free, and real-time imaging. Vascular ultrasound imaging can not only reduce intraoperative radiation but also realize the preliminary judgment of vascular lesions outside the operating room, meeting the detection needs of patients unable to undergo digital subtraction angiography. Edges of target tissues in the ultrasonic image are relatively obvious. Comprehensively considering ultrasonic image characteristics and feature distribution, this paper selects a phase symmetry segmentation algorithm to segment the target tissue edges of ultrasound images after noise filtering. Morphological processing is used to optimize the edges of segmentation results. The advantages of the phase symmetry algorithm proposed in this paper are verified by comparing the segmentation results with traditional active contour algorithm and a deep learning model.

A mesh parameterization method and life reliability-based optimization for turbine blade
LEI Jingyu, LEI Qiannan, LI Hongbin, JIA Beixi
2023, 49(10): 2651-2659. doi: 10.13700/j.bh.1001-5965.2021.0708
Abstract:

The optimization of the life reliability of turbine blades is of great significance for the safety and service life improvement of aeroengines. The traditional deterministic optimization method does not consider the influence of uncertain factors, which tends to cause low structural reliability, seriously threatening the safety of the aeroengine. Thus, this paper focuses on the life reliability-based optimization of the turbine blade in uncertain environments. A local mesh deformation method is proposed for the turbine blade with geometric variables of the film hole to realize mesh parameterization. Based on the proposed method, the life reliability-based optimization of the turbine blade with film hole geometric variables is achieved under uncertain conditions. With satisfying reliability constraints and geometric constraints, the average lifetime value of turbine blades based on uncertainty is increased by 18.36%.

Analysis of heat load and bleed air schedule for hot air anti-icing system
WANG Liu, ZENG Tenghui, REN Zhefan, ZHANG Tao, HUANG Ping, BU Xueqin
2023, 49(10): 2660-2668. doi: 10.13700/j.bh.1001-5965.2021.0710
Abstract:

The design of an aircraft wing anti-icing system mainly includes the anti-icing heat load calculation, piccolo tube design, anti-icing cavity design, and anti-icing system verification. This paper introduces the first part of a series study in this respect. With an aircraft wing as an example, the heat load and the runback water evaporation rate are analyzed based on the calculation of the wing anti-icing heat load, and the demand of the bleed air for anti-icing is then obtained. Furthermore, a bleed air schedule for anti-icing varying with altitude is proposed, and severe conditions for the anti-icing system design are determined. The Euler-Euler two-phase flow method is used to calculate the water droplet movement and impingement characteristics on the wing surface. The energy balance equation of the wing surface considering the phase change of runback water is then established, and the anti-icing heat load and evaporation rate of the wing surface are obtained. The results show that the heat load increases approximately linearly with the surface temperature in the range of 2~15 ℃ under the same flight and icing condition. To meet the anti-icing requirements, the design value of the surface temperature corresponding to the lower altitude is increased. The bleed air schedule for anti-icing varying with altitude is divided into three stages: the hot air flow flux is 0.91 kg/s when the altitude is less than 18356 ft, 0.59 kg/s when the altitude is higher than 21998 ft and linearly interpolated when the altitude is in between 18356 and 21998 ft. The results of this study provide valuable insight into the design and verification of the piccolo tube of hot air anti-icing systems.

Rapid prediction technology of missile aerodynamic characteristics based on PINN model
LIN Jiazhe, ZHOU Ling, WU Pin, YUAN Wenyan, ZHOU Zhu
2023, 49(10): 2669-2678. doi: 10.13700/j.bh.1001-5965.2021.0738
Abstract:

With the rise of the physical-informed neural network (PINN) model, the PINN model has been applied to many subjects. With the aid of the missile engineering algorithm, the missile aerodynamic data set is created in order to train the multi-task learning neural network (MTLNN) model and the physical-informed -PINN model, two models that can quickly predict missile aerodynamic characteristics. By selecting test sets, the numerical simulation compares the prediction results of the MTLNN model with the PINN model, and the result shows that the prediction accuracy of the PINN model is higher, and the prediction relative error is less than 1%. Finally, the generalization ability of PINN model is explored. The test set selects data outside the envelope range of the missile aerodynamic data set. In this case, the prediction accuracy of the PINN model is higher than that of the MTLNN model. The PINN model has a physical mechanism connecting the parameters that control aerodynamic properties, which makes the model less reliant on the volume of training samples. This can further reduce data collection costs and give a strong tool for missile optimization design.

Operational intention inference of UAV cluster based on bridging distributions
XUE Xirui, HUANG Shucai, WEI Daozhi
2023, 49(10): 2679-2688. doi: 10.13700/j.bh.1001-5965.2021.0719
Abstract:

Aiming at the problem that it is difficult to infer the attack intention of UAV clusters effectively,in this paper, a UAV cluster motion model is proposed based on cluster coordination rules and a Markov bridging distribution derived from an integrated Ornstein-Uhlenbeck(IOU) motion process with explicit velocity definition. Based on this, a method to optimize the Bayesian intention inference results is proposed by using the idea of the reachable domain.The stochastic differential equation is used to combine the cluster cooperative motion model with the Markov bridge model, and the discrete form of the model is derived. The method of using the reachable domain to optimize the Bayesian intention inference results is derived second, based on the fundamental Bayesian inference method, taking into account the restriction of the destination state on the cluster state, by calculating the reachable domain of the cluster and modifying the measurement likelihood. The results of the simulations demonstrate that the proposed model is capable of simulating the cluster’s movement process with great accuracy and effectively predicting the cluster’s operational intention.

Saliency-guided image translation
JIANG Lai, DAI Ning, XU Mai, DENG Xin, LI Shengxi
2023, 49(10): 2689-2698. doi: 10.13700/j.bh.1001-5965.2021.0732
Abstract:

This paper proposes a novel task for saliency-guided image translation, with the goal of image-to-image translation conditioned on the user specified saliency map. To address this problem, we develop a novel generative adversarial network (GAN) method -based model, called SalG-GAN method. Given the original image and target saliency map, proposed method can generate a translated image that satisfies the target saliency map. In proposed method, a disentangled representation framework is proposed to encourage the model to learn diverse translations for the same target saliency condition. A saliency-based attention module is introduced as a special attention mechanism to facilitate the developed structures of saliency-guided generator, saliency cue encoder, and saliency-guided global and local discriminators. Furthermore, we build a synthetic dataset and a real-world dataset with labeled visual attention for training and evaluating proposed method. The experimental results on both datasets verify the effectiveness of our model for saliency-guided image translation.

Evolution characteristics of China’s international air transport network under impact of COVID-19
ZHANG Haoyu, WU Weiwei, HUA He, GUO Yimao
2023, 49(10): 2699-2710. doi: 10.13700/j.bh.1001-5965.2021.0747
Abstract:

Under the global COVID-19 pandemic, the various international flight policies and the huge decline in international routes and passengers have had a significant impact on the structural characteristics of China’s international air transportation network. It is important to analyze the characteristics and evolution of China’s international air transportation network for airlines’ future international route recovery and resource allocation decisions. In this paper, the ${\rm{K}}{\text{-}}{\rm{Core}}$ algorithm is used to decompose China’s international air transportation network into different layers from 2019 to 2021. By analyzing the characteristics, level belonging, and transit passenger share of each node, the different layer functions were determined and the development trend of the network structure was concluded. In addition, the network was purposefully assaulted by eliminating nodes one at a time in accordance with their node relevance. The nodes were ranked and appraised by taking into account node degree, passenger flow, and the number of infected persons. Therefore, the evolution of network robustness was analyzed which is helpful to identify the key nodes in different periods. It demonstrates how the network structure and node functions have changed, some of which will be irreversible, as a result of internal and external factors such as decreased passenger numbers and international flight policies. The connectivity and dominant role of the core layer on the entire network are gradually weakened, the transfer function of the bridge layer is further strengthened, and the periphery layer will become the most promising recovery market. Airlines can consider establishing stronger connectivity with these nodes, which can not only maintain the normal operation of the network in case of emergencies but also rebuild key transit nodes during the network recovery period and improve passenger demand.

Clamping force sensorless control strategies for electromechanical brake systems
ZHAO Yiyun, LIN Hui, LI Bingqiang
2023, 49(10): 2711-2720. doi: 10.13700/j.bh.1001-5965.2021.0748
Abstract:

A clamping force sensorless servo control strategy under strong coupling conditions is proposed for low-floor trams with an electromechanical brake (EMB) system. Firstly, based on the torque characteristic curve of the system, an EMB clearance adjustment strategy is proposed, which does not depend on an additional mechanical adjustment mechanism and clamping force detection device. Considering the inherent hysteresis characteristics during braking and mitigation of the system, a braking force estimation method is also proposed under strong coupling conditions based on the stiffness characteristic curve of the EMB system. Compared with traditional control method, the proposed method can effectively improve the estimation accuracy of braking force and be used as a backup braking scheme to enhance the reliability of the system. In addition, an enhanced extended state observer (ESO) based on Sigmoid functions is designed to estimate and compensate the unmodeled parts and external disturbances in the system. The observed values are feedforward compensated to the integral backstepping controller to eliminate the observation errors of the system and improve the robustness of the system. Finally, the effectiveness of the proposed control strategy is verified through a static experimental platform.

Short-term traffic state prediction under planned special events
FENG Xiaoyuan, CHEN Zilin, JI Nan, REN Yilong
2023, 49(10): 2721-2730. doi: 10.13700/j.bh.1001-5965.2021.0758
Abstract:

Accurate short-term traffic state prediction is an important basis for effective traffic management and control. The planned special events (PSEs) generate abnormal traffic demand around the venue in a short time. However, due to the limited number of the special events and the difficulty in data sample collection, the prediction accuracy is hard to guarantee.Therefore, the short-term traffic evolution characteristics under PSEs are analyzed by measured data. On this basis, a short-term traffic state prediction model is established by using the framework of improved K-nearest neighbor (KNN) algorithm. Therefore, the evolution characteristics of short-term traffic under PSEs are analyzed through real event data, and a short-term traffic state KNN (PSE-KNN) prediction model was proposed. Moreover, through real-time super parameter optimization method based on Deep reinforcement learning, we constructed into an adaptive PSE-KNN (APSE-KNN) model. Finally, the effect of the model is verified by taking the concert scene in Beijing as an example. The results show that in the multi-step prediction experiment, compared with the other seven comparative prediction models, the proposed prediction model reduces the mean residual error by 12.43 % and the mean absolute percentage error by 29.90 % on average. These results prove that this model has excellent rapid adjustment ability and is more suitable for short-term traffic state prediction task under PSEs.

Expanding hexagon search method based on honeycomb structure
HAN Jikai, YUAN Tao, LIU Zekun, HAO Xiyang, ZHANG Shijian
2023, 49(10): 2731-2740. doi: 10.13700/j.bh.1001-5965.2021.0718
Abstract:

Maritime search, aviation anti-submarine, and other maritime activities often need to comprehensively search the target sea area. After studying the shortcomings of the expanding square search method, an expanding hexagon search method based on the cellular structure is proposed. A theoretical analysis of the two approaches’ search effectiveness, detection times, needed range, and repeated search area is done. It is proved that when the radius of the target search area is greater than a certain value, the expanding hexagon search method is obviously better than the expanding square, and the calculation method of the value is given. The correctness of the theoretical analysis is verified by simulation.This results in a more effective search strategy for marine search jobs as well as a theoretical foundation and reference point for future unmanned automatic search.

Stabilization effects of carbon foam surface on hypersonic boundary layers
WANG Weizhang, ZHAO Rui, GUI Yuteng, WU Jie, TU Guohua
2023, 49(10): 2741-2749. doi: 10.13700/j.bh.1001-5965.2021.0703
Abstract:

Hypersonic boundary-layer transition generates a significant increase in skin friction and heat flux, which leads to severe restrictions on the performance of hypersonic vehicles. Micropore surfaces have a significant deal of potential for application since they can successfully prevent boundary layer transition without clearly altering the average flow field.The effects of carbon foam material on unstable modes in hypersonic boundary-layer are studied in Mach 6 Ludwieg wind tunnel, the experimental results indicate that there exists an obvious second mode wave in the boundary layer, and its characteristic frequency decreases downstream. The carbon foam surface, when compared to a smooth surface, at various streamwise positions retards the formation of the second mode wave and increases the second mode propagation area by at least 21.6%. In addition, the impedance tube is used to measure the acoustic characteristics of the carbon foam surface to obtain impedance model coefficients. The linear stability theory is used to predict the growth rate of disturbance mode on the carbon foam surface, and the theoretical results have the same trend as the experimental results.

Prediction of ground air conditioner energy consumption based on improved long short-term memory neural network
ZHOU Xuan, LIN Jiaquan
2023, 49(10): 2750-2760. doi: 10.13700/j.bh.1001-5965.2021.0715
Abstract:

Ground air conditioners are the main equipment for cooling and dehumidification of airplane cabins, so accurate prediction of their energy consumption in the working process plays an important role in building green airports. The energy consumption of the ground air conditioner is affected by multidimensional factors. To improve the accuracy of energy consumption prediction, this study presents a method based on an improved bidirectional long short-term memory (BiLSTM) neural network. This method uses BiLSTM neural network and attention mechanism to construct the predictive part of the model, which can extract and utilize the time series characteristics of the data. Taking the optimal prediction accuracy as the index, this study also proposes a hyperparameter optimization method based on the improved ant lion optimization algorithm. Compared with the standard algorithm, the improved ant lion optimization (IALO) algorithm improves the shrinkage factor in the random walk space reduction mechanism, giving the shrinkage coefficient some randomness. It also introduces the dynamic adjustment mechanism of the ordinary ant lion weight coefficient, which improves the rate of convergence and optimization capabilities of the algorithm. The mean square error of the prediction result is 6.045, the mean absolute percentage error is 0.928%, and the coefficient of determination is 0.956. Compared with other prediction methods, the proposed method has higher accuracy and stronger adaptation.

Design of adaptive deformation wing control system based on system identification
XIE Changchuan, ZHU Lipeng, MENG Yang, MAO Sen
2023, 49(10): 2761-2770. doi: 10.13700/j.bh.1001-5965.2021.0717
Abstract:

Aiming at the defect that the fixed-wing aircraft can not always be in the optimal aerodynamic configuration in the complex and changeable flight environment, the wing design concept which can adapt to the deformation according to the flight environment parameters is proposed. A wing is designed in this study to achieve deformation by deflecting the rigid wing box. The aerodynamic characteristics are investigated by the panel method coupling with the XFOIL viscous corrector. A wind tunnel test platform and data acquisition system for the actuators of the morphing wing are built. A low speed wind tunnel test is then carried out on the deformed pneumatic servo system driven by model aircraft actuators, and the mathematical model of the pneumatic servo system is obtained with the subspace identification method. The servo compensation control is carried out by proportion integral differential (PID) control combined with Smith predictive control algorithm. Finally, according to the aerodynamic data of the morphing wing and the frequency response characteristics of these actuators, a feedback control system of the adaptive morphing wing is designed to optimize the aerodynamic performance based on the compensation of actuators. This design could realize the compensation and adaptive deformation of actuators in complex environments, providing a reference for the subsequent design of the morphing wing.

Modeling and solution method of oil film dynamic coupling for spherical port pair
REN Dongjie, XU Shunhai, WANG Shaoping, LIU Xiaoping, BAI Linying
2023, 49(10): 2771-2779. doi: 10.13700/j.bh.1001-5965.2021.0724
Abstract:

The multi-field coupling modeling and solution of the friction pair of the piston pump is the basis for the study of the failure mechanism of the piston pump and the improvement of its reliability. To resolve the difficulty, in solving the multi-field coupling model of the spherical port pair of the double-oblique-type axial piston pump, a dynamic coupling model of oil film thickness field-pressure field-temperature field and its solution method are proposed. First, based on the force analysis of the spherical port pair, the Reynolds equation and the energy equation are combined to establish a coupling model of the thickness field-pressure field-temperature field of the spherical port pair. Secondly, the dynamic coupling model is solved based on the finite difference method. Finally, the simulation is compared with the existing model to verify the effectiveness of the proposed model and solution method.

Comprehensive performance evaluation of swarm intelligence algorithms based on improved radar graph method
CHENG Baopeng, FANG Yangwang, PENG Weishi, DU Zehong
2023, 49(10): 2780-2789. doi: 10.13700/j.bh.1001-5965.2021.0726
Abstract:

In order to solve the problem that traditional performance evaluation methods cannot accurately evaluate the performance of swarm intelligence algorithms, a comprehensive performance evaluation method for swarm intelligence algorithms based on the improved radar graph method was proposed. Six performance evaluation index models for swarm intelligence algorithm were established, including fitness evaluation time, optimization time, optimization stability, optimization accuracy, coverage, and coverage rate. The improved radar graph method was utilized to examine the complete performance of three widely-known swarm intelligence algorithms based on the aforementioned six indicators using common test functions. The simulation results show that the comprehensive proposed method of swarm intelligence algorithm based on the improved radar graph can reflect the comprehensive performance of swarm intelligence algorithm comprehensively and objectively, and provide theoretical basis for the performance analysis, optimization, and decision-making of swarm intelligence algorithm.

Improved sparrow search algorithm based on good point set
YAN Shaoqiang, YANG Ping, ZHU Donglin, WU Fengxuan, YAN Zhe
2023, 49(10): 2790-2798. doi: 10.13700/j.bh.1001-5965.2021.0730
Abstract:

An enhanced sparrow search algorithm based on a good point set (GSSA) is developed to address the sparrow search algorithm (SSA) weak starting population quality, instability, and susceptibility to local optimization. Firstly, adding a good point set makes the initial population more uniform and improves the population diversity. Second, while retaining the benefits of the original algorithm’s quick convergence speed, an enhanced iterative local search is merged with the features of the SSA algorithm to increase the search capabilities of the latter. Finally, a dimension by dimension lens imaging reverse learning mechanism is added to the algorithm to reduce the interference between various dimensions, help the algorithm jump out of local optimization and accelerate convergence. Through 12 test function simulation experiments, with the help of the Wilcoxon rank sum test and mean error M, it is proved that GSSA has greatly improved the optimization performance such as optimization accuracy and stability, and the convergence speed is faster.

Disturbance-observer based adaptive control for space inertial sensor
FU Haiqing, WU Shufan, LIU Meilin, SUN Xiaoyun
2023, 49(10): 2799-2806. doi: 10.13700/j.bh.1001-5965.2021.0734
Abstract:

An adaptive control approach for space inertial sensors based on disturbance observers is proposed to address the issue of ultra-high precision control of inertial sensors inside spacecraft for gravitational wave detection. It will apply to the electrostatic suspension control loop for double test masses inside the detection spacecraft, and provide high-precision inertial reference for detection tasks. The design of closed-loop control is based on the observation feedback of the additional disturbance. The observer is designed to separately estimate the actuation noise and the non-actuation noise. The adaptive feedback controller is designed based on the back-stepping control framework. This will realize the closed-loop noise suppression and the nonlinear coupling approximation of the sensor voltage actuation.Each closed-loop signal's convergence is examined using the Lyapunov approach, and numerical simulation confirms the scheme's increased stability over the conventional scheme. In the detection frequency band, the closed-loop displacement noise level of non-sensitive axis reaches 10−15 m/s2/Hz1/2, the residual acceleration noise level reaches 10−14 m/s2/Hz1/2. Compared with the conventional state feedback control scheme, the noise suppression performance is improved by about 60%.

Operation risk assessment of civil aircraft for multiple wear-out failure modes
WU Yuting, LU Zhong, SONG Haijing, ZHOU Jia
2023, 49(10): 2807-2816. doi: 10.13700/j.bh.1001-5965.2021.0739
Abstract:

An operation risk assessment method is proposed for aircraft components with multiple wear-out failure modes. A multiple failure model is constructed using the fleet operating failure data samples and the mixed Weibull distribution. And the parameter estimation method of the mixed Weibull distribution is proposed based on the expectation maximization (EM) algorithm, which has been optimized by using the particle swarm optimization (PSO) algorithm to improve the accuracy of the parameter estimation. In terms of the mixed Weibull distribution-based reliability model, the calculating method for the number of defect airplanes (DA), which is caused by the multiple failure modes, is given via the Monte Carlo simulation method. To determine the Conditional Probability (CP) of dangerous consequences emerging from a certain initial situation, the Bayesian network (BN) is designed. Finally, the total uncorrected fleet risk (RT) is calculated in terms of the injury ratio (IR), the Not Detected probability (ND), the DA value, and the CP value. A case study shows that the proposed risk assessment method can be directly applied in the evaluation of fleet risks caused by multiple failure modes.Furthermore, the root mean squared error of the suggested parameter estimation approach has been decreased by 85.7% and 80.6%, respectively, when compared to the maximum likelihood estimation (MLE) and the least-squares estimation (LSE).

Remaining useful life prediction of aeroengine based on SSAE and similarity matching
WANG Kun, GUO Yingqing, ZHAO Wanli, ZHOU Qifan, GUO Pengfei
2023, 49(10): 2817-2825. doi: 10.13700/j.bh.1001-5965.2021.0741
Abstract:

As a highly complex thermal machinery, the prognosis of the remaining useful life (RUL) of an aero-engine is often used as an important guarantee to improve safety and economy. In order to increase the engine’s remaining usable life prediction accuracy, a strategy based on stacked sparse autoencoders (SSAE) and similarity matching is proposed in this study. Firstly, Spearman’s rank correlation coefficient (SRCC) is utilized as a fitness function and optimizes the candidate set of fusion parameters through a genetic algorithm (GA). The SSAE fuses the optimal parameter set in order to generate the feature comprehensive index. The results of the life prediction are then obtained by using the similarity matching approach to search the history database worldwide for the best matching trajectory. Finally, the C-MAPSS dataset published by the National Aeronautics and Space Administration (NASA) is obtained to verify the validity of the fusion index and method.

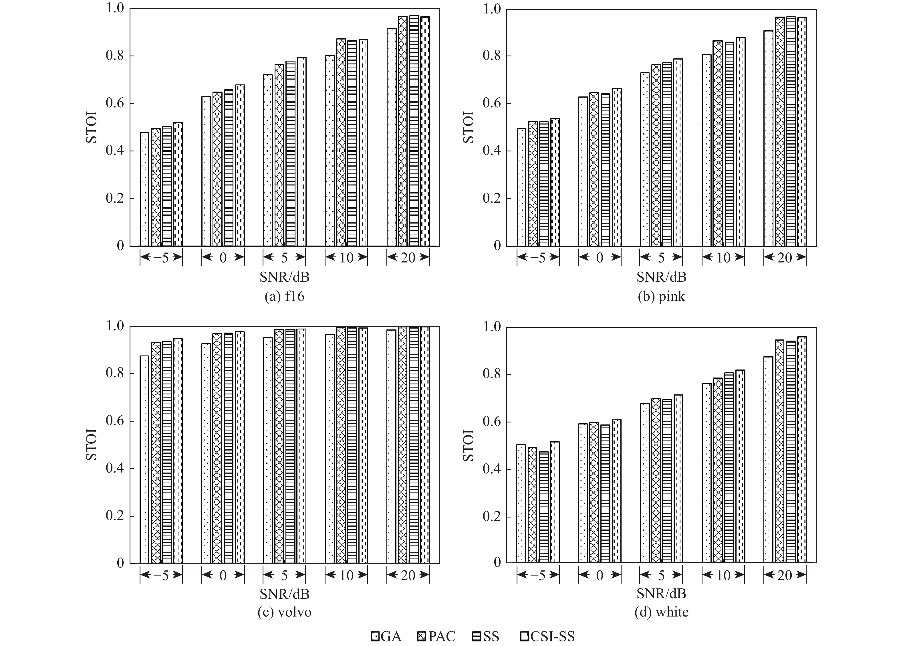
Extended subtraction speech enhancement based on cubic spline interpolation
ZHOU Kun, CHEN Wenjie, CHEN Weihai, LIN Yan, SUN Xiantao
2023, 49(10): 2826-2834. doi: 10.13700/j.bh.1001-5965.2021.0744
Abstract:

The speech recognition system is susceptible to noise. In order to filter noise, traditional speech enhancement methods such as spectral subtraction are often used by researchers, but these methods are troubled by “music noise”. To solve this problem, a speech enhancement algorithm based on cubic spline interpolation is proposed in this paper. Firstly, speech is subjected to the fractional Fourier transform, spectral subtraction is employed to preprocess noisy speech, and the Wiener filter noise estimator is utilized to realize the iterative update of noise. Secondly, the speech with noise and the estimated noise is functioned by cubic spline interpolation. A geometric spectrum subtraction algorithm is then used to process the functional speech with noise and the estimated noise to produce the pure speech. The simulation results show that compared with the traditional speech noise reduction algorithm, the proposed algorithm has an obvious effect on improving the “music noise” problem, and also greatly improves speech intelligibility and speech quality.

MEMS gyro scope noise reduction method based on model decomposition multi-scale entropy
LI Jian, WANG Lixin, LI Wenhua
2023, 49(10): 2835-2840. doi: 10.13700/j.bh.1001-5965.2021.0745
Abstract:

An improved MEMS gyroscope noise reduction approach is suggested based on complete ensemble EMD with adaptive noise (CEEMDAN), combined with back-propagation neural network (BPNN) modeling, and Kalman filtering (KF) method in order to effectively suppress the random error of MEMS gyroscope. The original data of the MEMS gyroscope is decomposed into the intrinsic mode function (IMF), and the IMF is classified by a multi-scale entropy (MSE) algorithm. The overlapping noise IMF is then fed back into the BPNN to assist KF, and the filter result and signal-led IMF are reconstructed to realize MEMS gyroscope signal noise reduction. Experiments show that the method has a better noise reduction effect than KF, small wave noise reduction, etc., and improves the accuracy of the MEMS gyroscope.

Nonlinear spatial K-means clustering algorithm for detection of zero-speed interval in inertial pedestrian navigation
MA Yufeng, DAI Shaowu, WANG Rui, DAI Hongde, ZHENG Baidong
2023, 49(10): 2841-2850. doi: 10.13700/j.bh.1001-5965.2021.0764
Abstract:

The accuracy of zero-speed zone recognition in the inertial pedestrian navigation system is directly correlated with the accuracy of pedestrian navigation based on the zero velocity update (ZUPT). This paper designs a zero-speed interval detection algorithm based on the combination of nonlinear space mapping and a K-means clustering algorithm. Firstly, the initial zero speed interval is determined by the classical zero speed detection algorithm generalized likelihood ratio test (GLRT); then select the acceleration data at the junction of the zero-speed interval and the non-zero-speed interval, and use the resultant acceleration amplitude as a variable to map to the designed In the nonlinear space, enlarge the data difference; then use the K-means clustering algorithm to cluster the mapped data, and determine the more accurate zero-speed interval after de-noising processing; finally,verify the effectiveness of nonlinearity spatial K-means clustering zero-speed interval detection algorithm through the inertial pedestrian navigation system experiment. Experiments show that the positioning accuracy of the nonlinear spatial K-means clustering algorithm for zero speed interval detection of inertial pedestrian navigation proposed in this paper is significantly improved compared with the GLRT algorithm and zero speed detection algorithm based on K-means clustering, and is verified by experiments in three motion modes: constant speed walking, variable speed walking and long-distance and long-time walking. In addition, compared with the zero speed detection algorithm based on K-means clustering, the amount of calculation is reduced. The zero speed interval detection algorithm can adapt to different motion states without adjusting the threshold at any time, and can theoretically optimize any traditional zero speed interval detection algorithm, which has good engineering application value.

Incremental computing methods of canonical correlation analysis for compositional data streams
KONG Boao, LU Shan, WANG Huiwen
2023, 49(10): 2851-2858. doi: 10.13700/j.bh.1001-5965.2021.0765
Abstract:

The approach of connecting linear correlations between several sets of multidimensional compositional variables known as canonical correlation analysis (CCA) for compositional data streams is widely applicable to the study of economics, administration, geology, and chemistry. In the context of massive data, it is of great significance to study how to perform CCA for compositional data streams. Propose an incremental modeling method for the CCA on compositional data streams, which provides accurate results based on the decomposition of the covariance matrix. Furthermore, two incremental modeling methods for compositional data streams are also derived. The first is the sequential block algorithm, which conducts CCA in the order of data stream blocks. The second is the parallel block algorithm, which can improve the calculating efficiency. The proposed methods do indeed outperform non-incremental ones in terms of running time while maintaining the accuracy of canonical correlation computing, according to extensive simulation studies on compositional data with various sample sizes and probability distributions.

Continuous-discrete maximum correntropy CKF algorithm based on variational Bayes
HU Haoran, CHEN Shuxin, WU Hao, HE Renke
2023, 49(10): 2859-2866. doi: 10.13700/j.bh.1001-5965.2021.0769
Abstract:

To address the problems of unknown covariance of measurement noise and non-Gaussian mutation measurement noise in bearings-only target tracking, a square-root continuous-discrete variational Bayesian maximum correntropy cubature Kalman filter (SRCD-VBMCCKF) algorithm is proposed. Firstly, the target tracking model is established as a continuous state space-discrete measurement space model, which improves the accuracy of target tracking; secondly, the unknown time-varying measurement noise is estimated by the variational Bayes criterion, which improves the adaptability of the algorithm; finally, considering the non-Gaussian mutation noise in the measurement, the robustness factor is constructed by the maximum correntropy criterion, which further enhances the algorithm’s robustness to abnormal measurements. The simulation results show that the proposed algorithm can effectively suppress the unknown time-varying noise and non-Gaussian heavy-tail mutation noise in the measurement. Compared with the traditional filtering algorithm, the proposed algorithm is both adaptive and robust.

Zone loading technology for aircraft load calibration test
HE Fadong, WU Bo, LI Zhirui
2023, 49(10): 2867-2872. doi: 10.13700/j.bh.1001-5965.2021.0742
Abstract:

The consistency of the applied load with or proximity to the actual load on the wing directly affects the load measurement’s accuracy. Due to local strength restrictions, it is challenging to increase the load level during the load calibration test. Additionally, two-way loading cannot be accomplished at the same time, and the accuracy of the torque load measurement is low.This paper carried out the research on the zone loading technology of the load calibration test. Through test parts design and bonding process research, ground verification test, on-board verification test, etc., for the first time, two-way simultaneous loading was realized in the aircraft load calibration test, and the calibration load level was greatly increased. Applied research has been carried out in the calibration test of a certain type of regional aircraft, and good test results have been obtained.