2023 Vol. 49, No. 11

Display Method:
Volume 11 Issue E-journal
Volume 49 Issue112023
iconDownload (43149) 1078 iconPreview
Soil moisture retrieval using CYGNSS/SMAP data fusion semi-empirical model
ZHANG Yun, ZHANG Dandan, MENG Wanting, GU Jun, HAN Yanling, YANG Shuhu
2023, 49(11): 2873-2882. doi: 10.13700/j.bh.1001-5965.2022.0044
Abstract:

Soil moisture retrieval of the satellite-borne GNSS reflected signal (GNSS-R) is more susceptible to the influence of the changing environmental factors on the land. At present, there is little research on error correction and extrapolation performance analysis in the satellite-borne GNSS-R soil moisture retrieval model. The accuracy of the reflectivity of land points is enhanced by correction in this article, which synthesizes a number of error correction models, including the GNSS satellite transmit power deviation, the attenuation of the reflected signal strength by vegetation and surface roughness, and these factors. A semi-empirical retrieval model of CYGNSS/SMAP data fusion of reflectance-soil moisture was established. One-year high-precision extrapolation retrieval is achieved, retrieval bias is −0.0037 cm3/cm3, the root mean square error (RMSE) is 0.0264 cm3/cm3 and the correlation coefficient is 0.963 6. At the same time, a seasonal extrapolation model is proposed to improve the extrapolation accuracy in low water content seasons. The longitude of the experimental area is 90°E−130°E, the latitude is 20°N−38°N, and the CYGNSS/SMAP data from October 2019 to September 2020 are used for training. Push the soil moisture from October 2020 to September 2021. After the reflectivity is corrected by the error model, the semi-empirical model retrieval bias is improved by 6.80%, and and RMSE is improved by 3.30%. Aiming at the problem that the winter and spring soil moisture content low in the experimental area affects the retrieval accuracy, proposes a seasonal training model for extrapolation in the same season,compared with the training model with one-year data volume, the RMSE of winter retrieval can be increased by 21.58%, and the spring can be increased by 21.05%. Comparing the retrieval results from June 1 to 10, 2021 with the soil moisture measured on the ground by CLDAS, the Bias is 0.0058 cm3/cm3 and the RMSE is 0.0854 cm3/cm3, which can maintain good accuracy. This paper’s research results have proved the effectiveness of using the reflectivity-soil moisture semi-empirical model and the reflectivity error correction, which are of significance for the promotion of the commercial application of the on-board GNSS-R soil moisture retrieval.

Statistical performance of surveillance payload of Beihang Aeronautical Satellite-1
LIU Haitao, YANG Ning, LI Dongxia, LI Xueyuan, ZHANG Xuejun, AN Qiang, ZHANG Zhi’en
2023, 49(11): 2883-2889. doi: 10.13700/j.bh.1001-5965.2022.0057
Abstract:

Beihang Aeronautical Satellite-1 is a scientific experiment satellite for wide-area aeronautical surveillance. The surveillance payload’s performance index and statistical methods are first put forward in order to assess the surveillance payload’s performance on Beihang Aeronautical Satellite-1. The radius of surveillance coverage, probability of detection, probability of identification, update interval of position report, and message rate of the surveillance payload are presented using in-orbit test data from Beihang Aeronautical Satellite-1. According to the statistical findings, the surveillance coverage radius is 1710 kilometers, the likelihood of detection is higher than 35%, the likelihood of identification is higher than 68%, and the time between location report updates is less than 8 seconds.

GNSS-MR snow depth inversion method based on variational mode decomposition and moving average
HU Yuan, YUAN Xintai, LIU Wei, JIANG Zhihao, HONG Xuebao
2023, 49(11): 2890-2897. doi: 10.13700/j.bh.1001-5965.2021.0777
Abstract:

To address the problem of poor separation of the signal-to-noise ratio (SNR) sequence trend items and the significant fluctuation of inversion result in the process of retrieving snow depth using global navigation satellite system multipath reflectometry (GNSS-MR), a snow depth inversion method based on variational mode decomposition (VMD) and moving average (MA) was proposed. The VMD algorithm can effectively separate the trend terms of the SNR sequence through adaptive high-pass filtering, and the MA algorithm can smooth the initial inversion results to reduce random fluctuations. The SNR observations of different frequency bands of GLONASS in the first five months of 2021 from the KIRU station in Sweden were selected to conduct the experiments to investigate the feasibility of the new method. The results show that the correlation coefficient between the inversion results based on the VMD algorithm and the in-situ snow depth of the climate station exceeds 0.95, and the root mean square error (RMSE) is at least about 5 cm, which is nearly 40% less than the traditional method. The inversion accuracy after smoothing using the MA method can be further improved. Considering the differences between GNSS stations and climate station, the GPS SNR inversion results are selected as another reference data source. Consistent experimental conclusions were obtained from different reference data sources, which verified the feasibility and effectiveness of the new method.

Adaptive Monte Carlo localization algorithm based on fast affine template matching
ZHANG Shufang, LI Yayang, ZHANG Tao
2023, 49(11): 2898-2905. doi: 10.13700/j.bh.1001-5965.2022.0001
Abstract:

Autonomous positioning is an important task of mobile robots, and the problem of robot kidnapping is a difficult point in positioning technology. The adaptive Monte Carlo localization (AMCL) algorithm based on particle filtering can solve the problem of robot kidnapping, but it needed to put new particles on the global map during the positioning recovery process, resulting in low recovery efficiency. An adaptive Monte Carlo localization technique based on fast affine template matching (AMCL-FM) is proposed through research on the adaptive Monte Carlo localization algorithm and the idea of template matching in image science. The algorithm uses the global cost map and the local cost map to estimate the true position of the robot and then places new particles at the estimated position, which improves the effectiveness of the new particles. This algorithm’s positioning accuracy and positioning recovery effectiveness are both up 61.13% and 69.23% from adaptive Monte Carlo localization algorithm, respectively.

Influence of contrast threshold effect on runway visual range measurement
ZHUANG Zibo, WANG Wenhui, TAI Hongda, WANG Jing
2023, 49(11): 2906-2912. doi: 10.13700/j.bh.1001-5965.2022.0040
Abstract:

The influence of eye contrast threshold is neglected in the traditional calculation of daytime runway visual range (RVR). Therefore, this paper first theoretically analyzes the influence of the human eye contrast threshold on RVR measurement range and accuracy. Then, experiments are designed to measure the contrast thresholds of students majoring in flight, control and applied meteorology, which are closely related to the front line of flight, respectively, to explore the differences of contrast thresholds in different light environments and their influence on RVR. According to the experimental findings, flying cadets have a lower contrast threshold and better visibility than the other two types of testing objects. At the same time, the background brightness will also affect the contrast threshold. The contrast threshold decreases with increasing brightness, which is advantageous for RVR observation. When the RVR is between 400 and 800 meters, which is the important node of aviation operations and will have an impact on flight activities, this mistake is acceptable. However, when the RVR is less than 800 meters in bad visibility, it is beyond the specified range. The deviation caused by the contrast threshold should be corrected to ensure flight safety.

Passive flow control for weapon bay at high Mach number
ZHANG Peihong, CHEN Hongyang, ZHANG Jie, LUO Lei, ZHOU Fangqi, JIA Hongyin
2023, 49(11): 2913-2920. doi: 10.13700/j.bh.1001-5965.2021.0790
Abstract:

The noise generation mechanism of weapon bays at a high Mach number (Ma>2) is different from that of the subsonic, transonic, and supersonic weapon bay flow because of the stronger and more stable shear layer. This discrepancy may also lead to different flow control measures for cavity noise suppression. Using numerical simulations and wind tunnel tests, this study examines the effects of the cylindrical fuselage and Mach number on cavity flow characteristics, and of different passive flow control measures such as leading edge serrations, leading edge columns, leading edge transverse columns and leading edge baffles on the sound pressure level of a weapon bay at a high Mach number. This study provides a reference for the design and research of flow control measures for a high Mach number weapon bay. The results show that the cylindrical fuselage has an impact on the pressure distribution at the cavity bottom, that the unevenness of the pressure distribution increases, and that the pressure peak near the rear wall increases. The passive flow control measures, which are more effective for the subsonic, transonic and supersonic weapon bay flow, are not effective for the high Mach number cavity flow, and even increase the noise level in the weapon bay. Further research is needed to design more effective flow control measures.

Pilots’ mental workload dynamic prediction based on cognitive process
LIU Chengping, XIAO Xu, ZHAO Jingquan
2023, 49(11): 2921-2928. doi: 10.13700/j.bh.1001-5965.2022.0053
Abstract:

Modern military flight systems are highly information-intensive and their tasks are complex and changeable. In order to explore the influence of information processing types and multi-task coordination on pilots’ mental workload, a quantitative prediction model based on the cognitive process was proposed. The ACT-R cognitive module and the mental workload determinants were used to separate the pilot’s mental workload into perceptual workload and cognitive burden. The multi-task resource interference for mental workload was calculated based on multiple resources. 16 subjects were selected to complete the multi-factor mental workload experiment. The results showed that the main effects of flight performance, NASA-TLX, average saccade time and scanning rate were significant (P<0.05). Subjective evaluation, RRCV and HR were significantly positively correlated with the total mental workload. And the average mental workload was significantly positively correlated with flight performance, pupil diameter and average saccade time. In order to anticipate and assess the mental workload of pilots, the prediction model offered a certain application value.

Influence and criterion of buoyancy force on heat transfer of supercritical CO2 in a vertical helical tube
WANG Yanhong, LU Yingnan, LI Hongwei, LI Sufen, DONG Ming
2023, 49(11): 2929-2937. doi: 10.13700/j.bh.1001-5965.2022.0024
Abstract:

Numerical research was done on the heat transmission of supercritical CO2 in a vertical helical tube based on the cooling heat transfer in the aeroengine intercooler. The influence mechanisms of the operating parameters on heat transfer along the flow and circumferential directions were investigated. The distributions of the temperature field and flow field in tube cross-sections were used to describe the circumferential non-uniform heat transmission mechanism generated by the buoyancy force and centrifugal force. The secondary flow velocity and intensity were analyzed. According to the tube structure characteristics, the reasonable buoyancy parameter and buoyancy criteria were proposed, and the new heat transfer correlation was obtained. The results show that the centrifugal force predominates in the tube downstream while the buoyancy force and centrifugal force combine to provide non-uniform heat transfer in the tube upstream. When the buoyancy factor Bu≥1.6×10−5 is satisfied, the buoyancy force plays a leading role in heat transfer. The new heat transfer correlation can better predict the heat transfer in the helical tube.

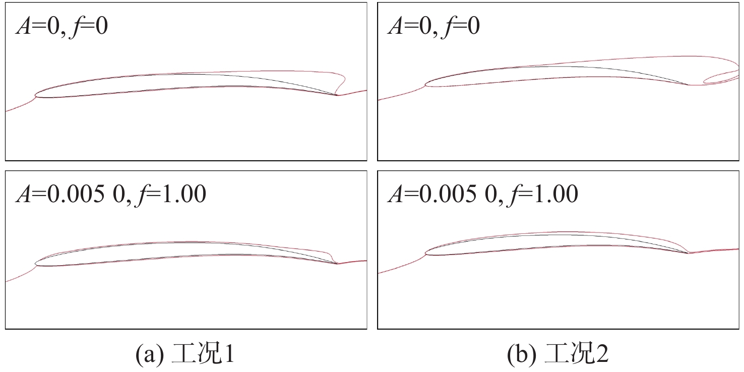
Effect of local oscillation on aerodynamics of thin airfoil in Mars environment
CHEN Zhaolin, LU Zhengxu, XIAO Tianhang, DENG Shuanghou
2023, 49(11): 2938-2950. doi: 10.13700/j.bh.1001-5965.2022.0032
Abstract:

The thin atmosphere of Mars constrains the MAV in the subcritical Reynolds number regime, where the laminar boundary layer separation extremely adversely affects the aerodynamic performance of UAVs. Meanwhile, the low sound velocity of the Martian atmosphere results in a higher Mach number of UAVs, which enhances the compression effect and may generate shock waves. The numerical approach based on the dynamic mesh is used to model the unsteady flow field and examine the flow control effect of the airfoil local oscillation with the atmospheric characteristics of Mars. The NACA5605 thin airfoil is selected, the Reynolds number is 1.5×104, and the Mach number is 0.43 and 0.63. The airfoil local oscillation can greatly reduce the size of the separation zone, increasing lift and decreasing drag, according to the results of the time-averaged flow field and time-averaged aerodynamic coefficient. The unsteady flow field shows that the flow control mechanism is that the vortex motion generated by oscillation restrains the laminar flow separation near the trailing edge of the airfoil. The flow control efficiency under different amplitudes, frequencies, and oscillation locations is studied. Under the optimal parameters, the lift-to-drag ratio is improved up to 24.7% at 0.43 Mach number while 52% at 0.63 Mach number.

Fixed-time distributed convex algorithm over second-order multi-agent systems under bounded disturbances
SHI Xiasheng, LIN Zhiyun
2023, 49(11): 2951-2959. doi: 10.13700/j.bh.1001-5965.2022.0060
Abstract:

In this paper, the convex optimization problem of the distributed second-order multi-agent systems under bounded disturbances has been studied. The distributed optimization problem aims to optimize the global cost function through local information communication. Based on the fixed-time theory, the proposed algorithm converges to the optimal solution within a fixed time. Additionally, the average consensus tracking technique obtains each agent's gradient information at a predetermined period when the second derivative difference of the cost function between surrounding agents is bounded in order to prevent the local information leakage of each agent. Then, an adaptive algorithm is provided to avoid the utilization of global information. Furthermore, the external bounded disturbance is adaptively suppressed by the signal function. Finally, the converge proof and some simulation examples are provided.

Measurement of ejection factor of new resin matrix composites
WANG Liyan, CHEN Weihua, JIANG Yunsong, ZHANG Hanyi, CHEN Zhiming, XU Yun
2023, 49(11): 2960-2967. doi: 10.13700/j.bh.1001-5965.2022.0056
Abstract:

By reasonably designing the comparison model, a new test method for the injection factor of resin matrix composites is proposed. The arc wind tunnel test is carried out for the new resin matrix composites to obtain the wall heat flux density of resin matrix materials with and without pyrolysis gas injection. The ejection factor, which may assess the ejection effect of new resin matrix materials, is generated by examining the ejection effect of resin matrix composites under particular thermal environment circumstances. The results show that: the carbonization rate of quartz phenolic materials is higher than that of quartz hybrid phenolic materials; The ejection factor of quartz phenolic materials is about 0.825. The impact of the ejection effect on the flux of surface heat should be taken into account in practical design. Quartz hybrid phenolic materials have an ejection factor of roughly 1, making it possible to largely overlook the thermal blocking effect brought on by gas pyrolysis.

Design and parameter optimization method of compaction admittance controller for automated fiber placement
YI Minghui, ZHANG Jiarui, ZHANG Wuxiang, CHEN Weiqiang, DING Xilun
2023, 49(11): 2968-2976. doi: 10.13700/j.bh.1001-5965.2021.0774
Abstract:

Compaction pressure is one of the crucial manufacturing process parameters of continuous fiber composite structures fabricated by automated fiber placement. Due to the high rigidity and insufficient position control accuracy of most automated fiber placements, compaction pressure fluctuates drastically which results in poor forming quality. In order to satisfy the compliance control requirements of pressure regulation, the second-order equivalent model between the compaction mechanism and the forming mould was constructed, a pressure controller based on admittance control principle was proposed. Further, the inertia parameter, damping parameter and stiffness parameter of the controller were optimized by using fireworks swarm intelligence algorithm, and the effectiveness of the controller was demonstrated by modeling and simulation, and practical layup experiment.

Characteristic model control of nutation target contact detumbling
LI Chao, HE Yingzi, HU Yong
2023, 49(11): 2977-2988. doi: 10.13700/j.bh.1001-5965.2021.0798
Abstract:

To solve the contact detumbling problem of nutation non-cooperative targets with model uncertainty, a dual-channel adaptive control method based on characteristic model is proposed. The dynamic model of the detumbling system is established considering the geometric relationship during the contact collision and using the linear elastic contact force model. Through the analysis of the characteristics of the target during free motion, a separation detumbling strategy is designed. Furthermore, the characteristic model of the angular velocity is constructed to describe the nutation target detumbling system with the characteristic parameter expressions given. A dual-channel adaptive controller is designed using the characteristic model. The simulation results show that the method effectively overcomes the model uncertainty through online estimation of characteristic parameters, and that the detumbling is fast with small residual angular velocity.

Fading memory variational Bayesian adaptive filter based on variable attenuating factor
JIN Kaidi, CHAI Hongzhou, SU Chuhan, HUI Jun, BAI Tengfei
2023, 49(11): 2989-2999. doi: 10.13700/j.bh.1001-5965.2021.0799
Abstract:

The measurement noise for global navigation satellite system/strapdown inertial navigation system (GNSS/SINS) suffers from abrupt changes due to the easy interference of GNSS signals. In this paper, a novel fading memory variational Bayesian adaptive Kalman filter (VBAKF) with variable attenuating factors is proposed to estimate the abrupt measurement noise for GNSS/SINS system. The Chi-square detection method is reconstructed by initial standard deviation of GNSS noise. The hyperparameter transfer structure of VBAKF is then transformed into the error covariance matrix correction structure, and a novel variable memorial factor function is established to dynamically adjust the attenuating factor in VBAKF. Experimental results show that the proposed algorithm can adaptively estimate the abrupt measurement noise, and that the position accuracy of GNSS/SINS is improved in the presence of abrupt noise.

Research on broadband and high flatness conductive electromagnetic susceptibility injection probe
FU Changshun, YAN Zhaowen, SU Donglin
2023, 49(11): 3000-3009. doi: 10.13700/j.bh.1001-5965.2022.0015
Abstract:

The development trend of small volume, high density, and high clock frequency of integrated circuits and electronic equipment leads to serious electromagnetic compatibility problems, especially electromagnetic susceptibility problems. The electromagnetic susceptibility level of integrated circuits and electronic equipment is very important for their optimal design, and broadband pulse injection probes are widely used in the conducted electromagnetic susceptibility test of integrated circuits and electronic equipment. The project design of broadband pulse injection probes with broadband and high flatness is put into effect by examining the operating principle of broadband pulse injection probes and the variables affecting working bandwidth and flatness on the basis of he conducted electromagnetic susceptibility test requirements of integrated circuits and electronic equipment. A broadband pulse injection probe with a broad frequency band and high flatness is produced using the techniques of multi-wire parallel winding, matching design of magnetic core and shell, and impedance matching in high-frequency band.The test results and practical application results show that the designed broadband pulse injection probe achieves the performance index of working frequency covering 9 kHz-1 GHz and flatness less than 5 dB, and can also meet the needs of conducting electromagnetic susceptibility tests.

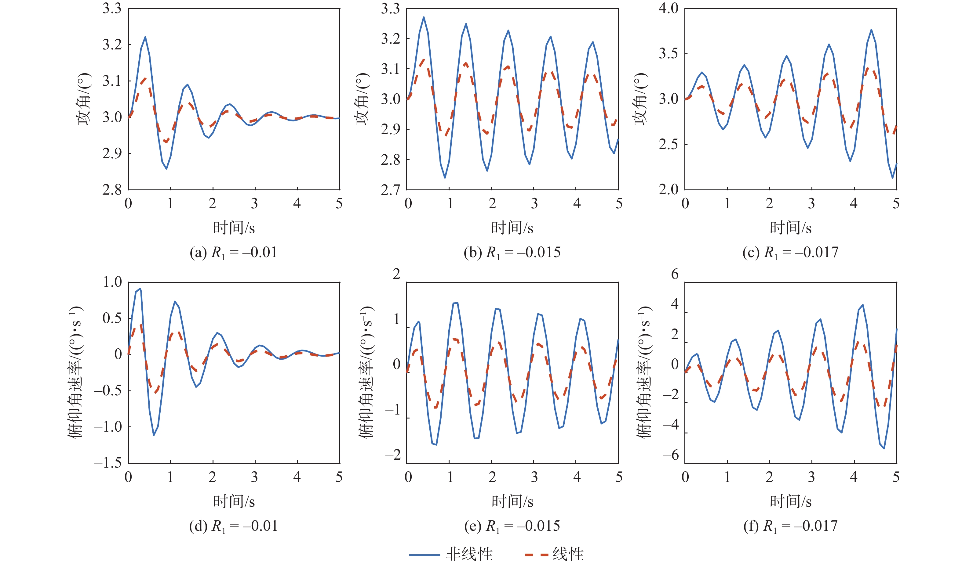
Study on lateral-directional stability of a practical high lift-to-drag ratio hypersonic vehicle with momentum lift augmentation
LIU Shenshen, LUO Lei, HAN Qinghua, TANG Wei, GUI Yewei, JIA Hongyin
2023, 49(11): 3010-3021. doi: 10.13700/j.bh.1001-5965.2022.0035
Abstract:

A new aerodynamic configuration concept for a hypersonic vehicle with a high lift-to-drag ratio is proposed to satisfy the constantly increasing practicability multi-constraints of high volumetric efficiency, control and stability, and acceptable thermal protection. The design principles of this practical configuration is inspired by the wave-rider design idea and momentum principle which incorporates inverted dihedral with an aft-sweeping wing, caret upper surface, and con-cavity lower surface are elaborated. A trailing edge flap and a body-fitted expansion rudder were used in place of the standard control surface's leading edge to prevent excessive heat flow during the prolonged hypersonic flight. The aerodynamic characteristics of this new configuration were obtained and discussed by applying numerical simulation with Navier-Stokes equations and wind tunnel test. The results show that the delta wing with a caret upper surface and concavity bottom surface can generate highly compressed air beneath the vehicle and reduce the loss of lifting pressure. The maximum lift-to-drag ratio achieves nearly 4.48 at Ma=10 and 40Km altitude and maintains well at a wide range of angles of attack. At the same time, the effects and feasibility of three different optimization schemes are discussed based on the numerical simulation method, aiming at the common lateral and directional stability problem of the proposed configuration, and the wind tunnel test is used to verify the lateral and directional stability control effect of the scheme with two V winglets.The results show that the control scheme with two V winglets is the better scheme to realize the lateral and directional stability.

Man-machine cooperative control of helicopter and flight experimental validation
JIN Zibo, LI Daochun, SUN Yi, ZHANG Kai, XIANG Jinwu
2023, 49(11): 3022-3030. doi: 10.13700/j.bh.1001-5965.2022.0038
Abstract:

The man-machine cooperation system can make full use of the advantages of human intelligence and the high precision and efficiency of robot operation. The substantial control burden placed on pilots results from their requirement to analyze a huge quantity of information in real time and provide precise control while operating the aircraft. A cooperative robot pilot was proposed based on a typical helicopter flight platform. The robot pilot connects the cyclic control stick to control the pitch motion and roll motion of the helicopter while the human pilot manipulates the pedals and collective to control the yaw motion and helicopter height. The cooperative robot pilot, which may swiftly raise the automation level of the current helicopter and increase the pilot’s viability in an emergency, introduces a novel approach to man-machine cooperative flight control without altering the original aircraft. The control system of the cooperative robot pilot was studied and the flight simulator for man-machine cooperative piloting was established. The feasibility of the cooperative piloting method was preliminarily verified through the pilot-in-loop flight simulations. Based on the flight simulation verification, a prototype of the cooperative robot pilot was developed and installed in the SVH-4 helicopter to complete the flight experiment verification.

Molecular dynamics study on dry friction damper with temperature influence
XU Hongbin, FAN Jiang, NI Ming, LI Xingxing, JING Fulei
2023, 49(11): 3031-3038. doi: 10.13700/j.bh.1001-5965.2022.0045
Abstract:

The prediction of friction factors based on multi-scale methods has become a research hotspot. The influence of temperature is the main issue for mechanical systems that operate at high temperatures, such as aero-engines. In this paper, we propose a novel method for predicting friction factors based on molecular modeling and the contact force under the influence of different temperatures. Considering that the increase in temperature enhances the adhesion of the micro convex body, a real area calculation method different from Hertz contact theory is proposed. The correctness of the proposed method is verified by comparing it with the experiment. The results show that the increase in temperature leads to the enhancement of adhesion of the micro convex body at the rough face. Real contact area is bigger than what the Hz contact theory predicts when adhesion is high due to the substantial plastic deformation of the micro convex body. On the other hand, it also leads to the attenuation of the mechanical properties of materials. With the increase in temperature, the tangential and normal contact forces decrease. Based on the multi-scale method, we provide a feasible research scheme for the prediction of friction factors of a high-temperature machine.

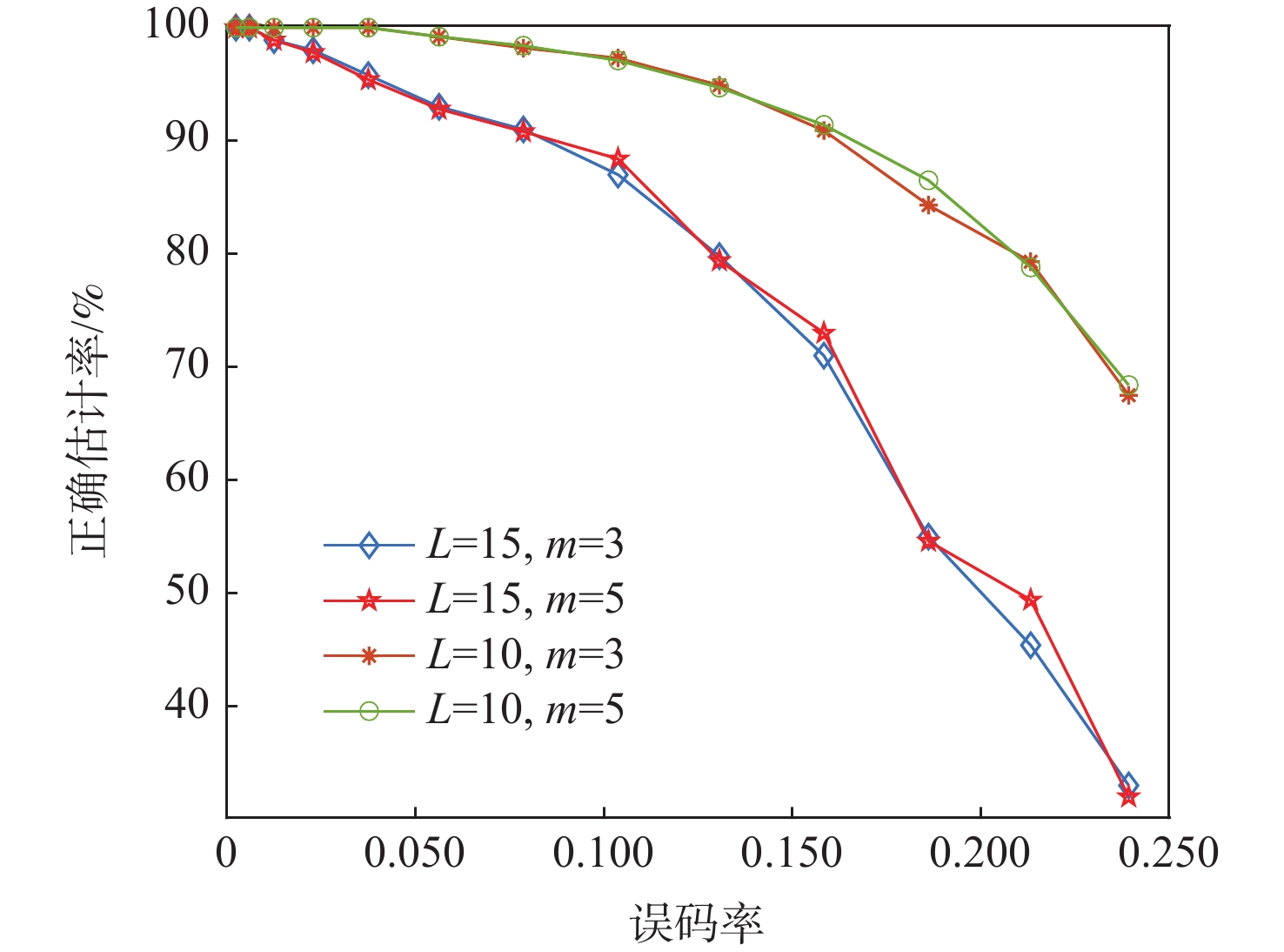
Estimation of initial state of scrambler based on piecewise solution of error equation
TAN Jiyuan, ZHANG Limin, ZHONG Zhaogen
2023, 49(11): 3039-3046. doi: 10.13700/j.bh.1001-5965.2022.0046
Abstract:

A method of initial state estimation of scrambling code based on solving the error equation is provided in order to address the issue of a low correct estimation rate of the initial state of scrambling code under a low signal-to-noise ratio. According to the initial state recurrence relation, the received soft decision sequence is used to establish the error-containing equation, and the initial state estimation problem is transformed into the solution of the error-containing equation system. The average check coincidence degree is proposed to measure the possibility of the establishment of the error-containing equation system, and the initial state estimation is completed by traversing the set of initial states. A piecewise solution equation method for finding the calibration equation is proposed, which greatly reduces the number of initial states that need to be traversed under high-order numbers. The experimental results show that the proposed algorithm can reach more than 90% of the correct estimation rate of the scrambled code initial state with a signal-to-noise ratio of 0 dB, which is about 1-2 dB performance improvement compared with the traditional fast correlation attack algorithm for convolutional codes.

Rapid evaluation method for aerodynamic characteristics of distributed electric propulsion aircraft concept scheme
CHENG Zhiyong, YANG Youxu, ZHANG Xingcui, YU Lingfu, YE Bo
2023, 49(11): 3047-3058. doi: 10.13700/j.bh.1001-5965.2021.0771
Abstract:

Distributed electric propulsion (DEP) aircraft makes full use of the aerodynamic/propulsion coupling effect to improve the aerodynamic efficiency of the aircraft, but the increase in the amount of power leads to strong interference between the propeller slipstream and the wing surface flow field, the complexity of aerodynamic analysis and design, and the rising costs of calculations. To improve the efficiency of aerodynamic design in the early design stage of DEP aircraft and reduce the development cost, a rapid evalution method of aerodynamic characteristics is proposed based on linear non-viscous vortex lattice method and actuator disk theory (VLM-ADT), VLM-unsteady VLM (VLM-UVLM) and Modified-VLM with viscosity correction. The aerodynamic characteristics of single wing, single propeller/wing coupling, X-57 wing (cruising, high lift state), and distributed propeller/wing coupling configuration were quickly evaluated. Compared with the Reyonlds-averaged Navier-Stokes (RANS) results, the lift coefficient and drag coefficient of single wing and single propeller/wing are in good agreement, and the maximum error does not exceed 8.2%; the pitch moment coefficient is in the same order of magnitude. The lift coefficients of the X-57 wing and the distributed propeller/wing are in good agreement with the RANS results, and the maximum error does not exceed 10%. The total drag coefficient of the X-57 wing and the distributed propeller/wing calculated by the VLM considering the viscosity correction is consistent with the trend of the RANS results. The distributed propeller slipstream increases the dynamic pressure of the wing, changes the local effective angle of attack of the wing, and changes the local lift-drag characteristics of the wing. Proposed method provides an effective method for the rapid evaluation of aerodynamic characteristics and rapid selection of aerodynamic layout schemes for distributed propeller aircraft in the early design stage.

Stack-bucket algorithm for convolutional codes based on dynamic optimization regulation
ZOU Wenliang, JIANG Yuzhong, HUANG Zhi, NIU Zheng, LIU Gang
2023, 49(11): 3059-3065. doi: 10.13700/j.bh.1001-5965.2021.0772
Abstract:

Long constraint length convolutional codes are used in the fields of satellite communication due to their strong anti-interference and difficulty in decipherment. However, there are shortcomings of low space utilization and high decoding complexity in the low signal-to-noise ratio environment. To overcome the above problems, this paper proposed a stack-bucket algorithm (DORSB) based on dynamic optimization regulation. The proposed algorithm uses a new parameter depth factor to assist path access, which can increase the path advantage near the end of the code tree and reduce the decoding complexity. When the stack overflows, the size of the bucket is regulated to reuse the bucket space and reduce the frame error rate, which can effectively improve the space utilization. The simulation results show that when the depth factor increment is appropriate and the frame error rate is 10−5, compared with the standard stack bucket algorithm, the frame error performance of the proposed algorithm is improved by about 0.6 dB, and the time complexity can be improved by 72.63%.

Analysis of radome error on guidance loop stability
XIAO Yao, CHEN Xu, YANG Lingyu, ZHANG Jing
2023, 49(11): 3066-3074. doi: 10.13700/j.bh.1001-5965.2021.0780
Abstract:

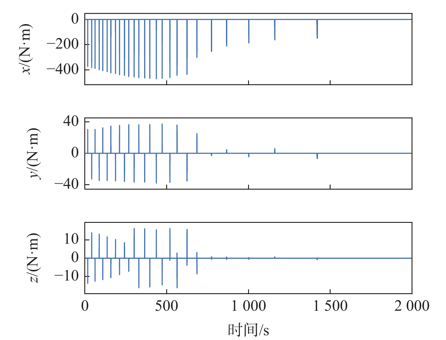
To address the problem that the parasitic loop of the radar homing missile radome affects the stability of the guidance and control system, a three-dimensional nonlinear guidance loop model considering the radome error is established, and an analysis method on the stability of the guidance loop was proposed based on the radome error slope in the form of state equation. The quantitative influence form of the radome error slope on the guidance loop system matrix is derived, and based on the stability criterion of the linear time-invariant system, the stability conditions of the missile guidance loop under the influence of the radome error slope are calculated. Calculation analysis and simulation results show that the positive feedback of the parasitic loop will cause the oscillating divergence of the missile attitude, which will seriously affect the stability of the guidance loop.

Remaining useful life prediction based on multi source information with considering random effects
WANG Fengfei, TANG Shengjin, SUN Xiaoyan, QI Shuai, YU Chuanqiang, SI Xiaosheng
2023, 49(11): 3075-3085. doi: 10.13700/j.bh.1001-5965.2021.0782
Abstract:

In order to reasonably utilize the prior information of congeneric equipment and improve the accuracy of parameters estimation and remaining useful life (RUL) prediction, a RUL prediction method based on multi source information considering the random effects is proposed. A linear Wiener process considering the random effects was employed to model the degradation process of equipment. The expectation maximization (EM) algorithm was used to calculate unknown parameters in model with fusing prior degradation information and prior failure time data information. According to the nature of parameter estimation based on the Wiener process, a method based on multi source information for nonlinear Wiener process considering random effects was proposed. Laser data and fatigue crack data were used for experimental verification. The results show that compared with the method based on historical degradation data or failure time data, the proposed method can effectively improve the accuracy of parameters estimation and RUL estimation.

Multi-UAVs 3D cooperative curve path planning method based on CEA-GA
WEN Chao, DONG Wenhan, XIE Wujie, CAI Ming
2023, 49(11): 3086-3099. doi: 10.13700/j.bh.1001-5965.2021.0787
Abstract:

To address the problems of high computational complexity and poor convergence efficiency of multi-UAVs cooperative path planning, a multi-UAVs 3D cooperative curve path planning method based on chaos elite adaptive genetic algorithm (CEA-GA) is proposed. A multi-UAVs 3D cooperative curve path hierarchical planning model based on single UAV planning layer—path smoothing layer—multiple UAVs cooperative planning layer is established with the idea of hierarchical planning to transform the complex constrained planning problems into the sub-functional optimization solution problems to reduce the computational effort. Considering the performance limitations of genetic algorithm (GA) in solving high-dimensional complex constrained optimization problems, Tent chaotic mapping is used to uniformly initialize the population in order to expand the individual search space and enrich the population diversity. On this basis, the adaptive genetic operators are introduced to balance the global search and local exploitation capability of the algorithm, so as to help individuals jump out of the local optimum. Then, the fitness dynamic update strategy is adopted to further improve the local exploration ability and convergence speed of the algorithm. The elite retention strategy is introduced into the GA to better ensure the global convergence of the improved algorithm. CEA-GA is used to solve the proposed model, and the simulation results show that CEA-GA has strong robustness, good search performance and convergence efficiency, and can plan the cooperative curve path to satisfy the constraints for the swarms, thus verifying the effectiveness of the proposed method and the superiority of CEA-GA.

Active disturbance rejection control of attitude of compound unmanned helicopter
DENG Bohai, XU Jinfa
2023, 49(11): 3100-3107. doi: 10.13700/j.bh.1001-5965.2021.0788
Abstract:

A compound unmanned helicopter is a non-linear and strongly coupled controlled plant with multiple redundant control inputs, and with its response varying with input strategies. The unmodeled internal structure dynamics and unknown external disturbances of the compound unmanned helicopter cause great difficulties in flight control system design. The attitude control law design is crucial for the helicopter to fly stably within the entire flight envelope. Based on a mathematical model for motion characteristics, the control strategies for the helicopter are designed for different flight modes, and the Simulink simulation model of the controlled plant is developed. The active disturbance rejection control (ADRC) of attitude is designed, and the comparison between the attitude ADRC and proportional-integral-derivative (PID) controller is conducted. The control effect of the attitude ADRC is better than that of the attitude PID controller. The simulation demonstrates that the anti-interference and robust performance of the ADRC meet the attitude control requirements for the compound unmanned helicopter, and that the quick and stable flight of the helicopter can be guaranteed for different flight modes.

A mapping leader formation control strategy for multiple mobile robots based on two-stage sliding mode control
WANG Chenyang, YANG Liman, LI Yunhua
2023, 49(11): 3108-3114. doi: 10.13700/j.bh.1001-5965.2021.0792
Abstract:

The formation control for multiple mobile robots under low communication load is investigated. A kinematics model of the nonholonomic constrained wheeled mobile robot is defined by coordinate transformation and the introduction of side slipping increment, which explicitly satisfies the pure rolling condition. By using the leader-follower strategy, system formation is converted into distributed consensus control under the new model through the one-way communication of leader to follower and the plan of a mapping leader. A two-stage exponential reaching sliding mode controller is designed for the angular and linear velocity of the follower to rapidly achieve convergence relative to the leader’s trajectory error, and the stability of the controller is then proved by Lyapunov theory. Numerical simulation studies show that the formation control strategy proposed in this paper can satisfy the task requirements of formation maintenance and formation transformation of multi-mobile robots, verifying the correctness and effectiveness of the theoretical analysis.

Fast algorithm for grain burnback of actually shaped grains of solid motor
LIU Shun, LU Hongyi, ZHANG Weiwei, ZHANG Bin, YANG Yucheng, SANG Doudou
2023, 49(11): 3115-3123. doi: 10.13700/j.bh.1001-5965.2021.0795
Abstract:

A fast minimum distance function method for CT data (CT-FMDF) is proposed to address the artifact noise in CT image data of solid rocket motors, the large combustion surface roughness of actually formed grains, and the difficulty in transition calculation. The non-local means (NLM) filtering algorithm is used to denoise the CT images. Then, the Canny edge detection improved by the Scharr operator is used to extract the initial burning surface of the grains from the de-artifacted image. The maximum between-class variance algorithm (OTSU) separates the grains, establishing a three-dimensional volume data model of grains, and multiple parallel K-dimension trees for the combustion surface data. The minimum distance from the grains to the combustion surface is quickly retrieved. The experimental results show that for different grains structures, the position of a burning surface at any thickness can be achieved and that the algorithm has a shorter running time. For the grains with initial burning surface defects, the effect of the defects on the burning surface during combustion can be calculated based on the actual CT data.

Hot spots areas mining of online ride-hailing based on D-OPTICS algorithm
WANG Luyao, WU Lan, YANG Sheng, ZHU Xingbei
2023, 49(11): 3124-3131. doi: 10.13700/j.bh.1001-5965.2022.0008
Abstract:

Dijkstra ordering points to identify the OPTICS algorithm based on the Dijkstra routing algorithm is proposed to accurately analyze the hot spots areas with high passenger demand for online ride-hailing, which performs a spatial clustering analysis of high passenger demand hot spots areas using vehicle trajectory data. This analysis takes into account the restriction of the road topological structure on the driving distance of vehicles. The Dijkstra algorithm is used to discover the road, and the road network is utilized to extract the passenger spots in the neighborhood for the clustering as well as to produce the road nodes connecting each road segment. Finally, the hot spots areas are mined and analyzed based on the trajectory data of online car-hailing in Chengdu. Compared with the traditional ordering points to identify the OPTICS algorithm, the proposed algorithm takes into account the road space restriction and has higher precision and stability of hot spots areas for carrying passengers, the hot spots areas of carrying passengers are closer to the actual situation.

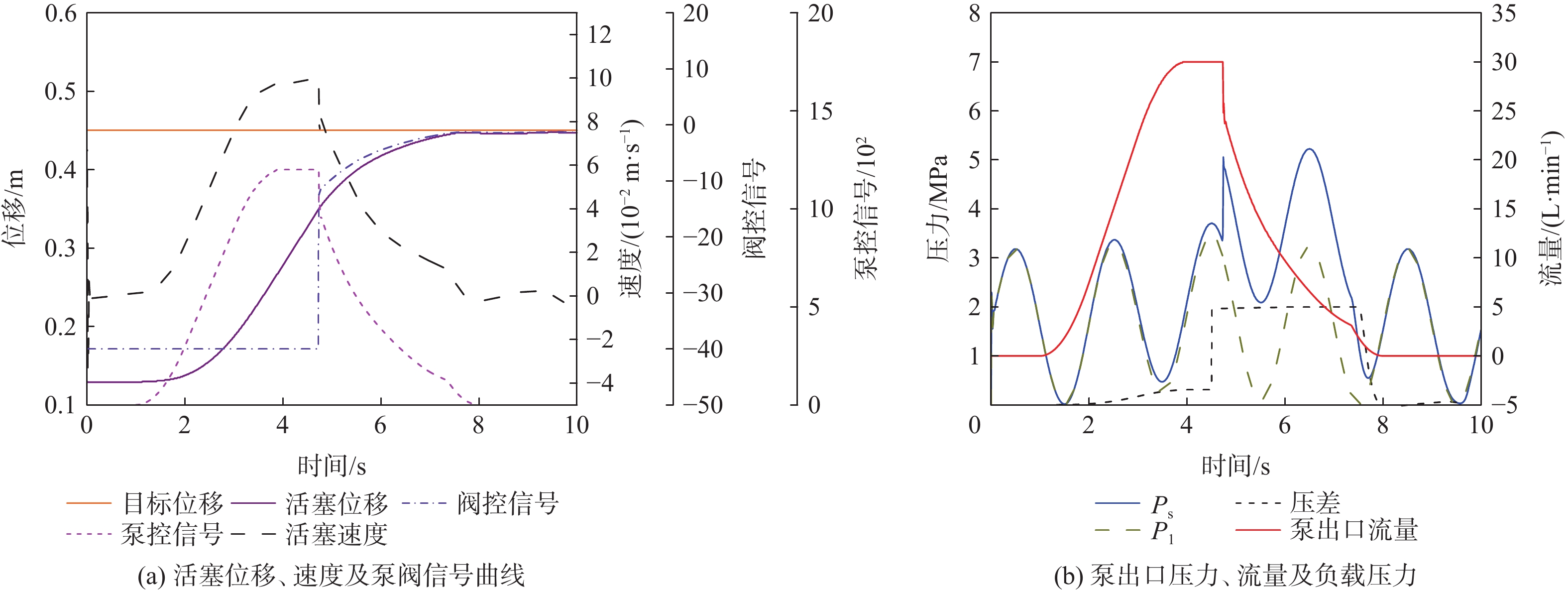
Research on characteristics of variable speed load sensitive inlet and outlet independent control system
LI Zelong, YUE Luhong, YANG Jing
2023, 49(11): 3132-3144. doi: 10.13700/j.bh.1001-5965.2022.0011
Abstract:

An independent import and export control was developed, based on variable speed load sensitivity at mode switching, to address the issues of high efficiency but insufficient control precision of the pump control position system and rapid reaction but significant energy loss of the valve control position system. A control strategy is designed for stagnant load conditions with large energy loss in construction machinery. First, a mathematical model of the variable speed load-sensitive independent position control system for the import and export was established, according to the above control principle. Second, the test platform and AMESim-MATLAB simulation model based on the load sensing system of the loaded cylinder and the position control system of the empty cylinder were established and analyzed. Then, sinusoidal and random signals are added to the built system model to simulate varying loads, and the control and pressure of system position accuracy were analyzed under variable load. Finally, the built system was analyzed and compared with a constant current valve control system, traditional load-sensing valve control system, and traditional pump control system. The results show that the designed variable speed load-sensitive pressure controller has a good control effect on system pressure; the position control performance and energy saving effect of the load-sensitive inlet and outlet independent control system with servo motor-driven double-acting vane pump as the power source are higher than those of traditional pump control and valve control systems, which saves the energy by 10.11% over the traditional pump control system.

Instantaneous torque control of SRM based on improved terminal SMC and SMO
LING Hui, DU Qinjun, PANG Hao, YANG Shuxin, ZHAO Zhengyang, LI Cunhe
2023, 49(11): 3145-3155. doi: 10.13700/j.bh.1001-5965.2022.0021
Abstract:

An instantaneous torque control method for switched reluctance motors (SRM) based on improved terminal sliding mode controller (SMC) and sliding mode observer (SMO) with variable speed reaching law was proposed to address the issues of slow response speed of conventional terminal sliding mode control system of SRM and system chattering of traditional sliding mode observer.Firstly, an improved nonsingular fast terminal sliding mode surface with fast convergence of motor speed error and a variable speed power reaching law with adaptive adjustment of reaching law speed were designed. The continuous nonsingular control law was obtained by using the equivalent control method. The stability and finite-time convergence of the system were proved by the Lyapunov function. Secondly, a sliding mode observer with variable speed reaching law was designed to realize sensorless control of SRM. In order to solve the chattering and convergence speed issues brought on by the fixed switching gain of the conventional sliding mode observer, the hyperbolic tangent function was employed as the switching function and the fast power reaching law was introduced as the reaching law of speed observation.The stability of the observer was proved by the Lyapunov function. Finally, the simulation and experiment verified the effectiveness of the proposed method. The results show that compared with the conventional terminal sliding mode control, the improved terminal sliding mode control system can realize the tracking of the desired speed in 0.07 s, the adjustment time is reduced by 0.04 s, and the speed fluctuation is reduced by 0.5 r/min when the system is stable, which has better response speed and stability. When the load suddenly increases, the system speed can be adjusted to a given value within 0.02 s, and the recovery time is reduced by 0.05 s, which has a better adjustment ability. The sliding mode observer with variable speed reaching law can realize the convergence of speed estimation error within 0.01 s, and the error fluctuation is maintained within 2 r/min, which can realize the accurate estimation of motor speed and rotor position.

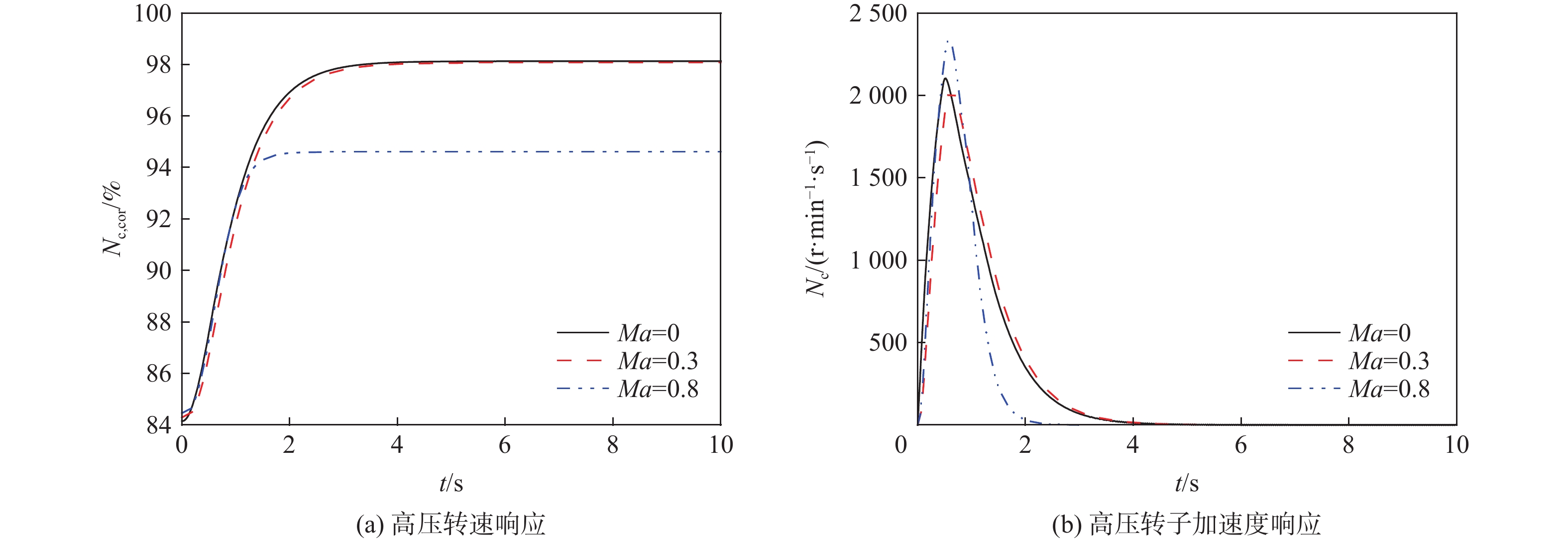
N-dot control method of turbofan engine based on active switching logic
LI Yuchen, LI Qiuhong, ZHANG Xinsheng, PANG Shuwei, ZHANG Yongliang
2023, 49(11): 3156-3166. doi: 10.13700/j.bh.1001-5965.2022.0022
Abstract:

In order to enhance the acceleration ability of turbofan engines, the traditional N-dot control structure is improved, and an active switching control strategy based on tracking error is proposed. When the tracking error is significant, the N-dot control loop is engaged; otherwise, the steady-state control loop is engaged. At the same time, a contour-based N-dot control scheduling method is proposed. The acceleration process is optimized by a differential evolution algorithm with the objective of minimizing the error with the maximum rotor speed. The maximum high-pressure rotor acceleration at different altitudes is used as the N-dot control schedule, and the acceleration controller is designed based on the compact form dynamic linearization based model free adaptive control (CFDL-MFAC) method. The acceleration time of the active switching (MFAC) N-dot control is approximately 0.7 seconds shorter at the design point and approximately 1.2 seconds shorter at the off-design point for a medium-thrust military turbofan engine when compared to the PI control N-dot under the conventional Min-Max selection structure.

Cross-domain person re-identification based on progressive attention and block occlusion
LI Yunlong, CHENG Deqiang, LI Jiahan, HUANG Ji, ZHANG Jianying, MA Haohui
2023, 49(11): 3167-3176. doi: 10.13700/j.bh.1001-5965.2022.0025
Abstract:

A cross-domain person re-identification method based on progressive attention and block occlusion is proposed in order to address the issue of missing feature matching caused by occlusion and neglect of fine-grained discriminative features in cross-domain person re-identification. This method realizes feature matching under spatial misalignment by learning multi-granularity discriminative features of regions where people are not blocked. The progressive attention module gradually divides the features into multiple local blocks, learns the discriminative features of each block in turn, and perceives the foreground information from coarse to fine, which solves the problem that the current network cannot extract multi-level distinguishing features and improves the feature matching ability of the model. In addition, the progressive block occlusion module is well adapted to the gradually stronger learning ability of the model. The robustness of the model proposed in this paper is finally effectively improved in the case of occlusion by effectively generating occlusion data from easy to difficult, effectively extracting the identifying features of non-occlusion areas, and then solving the problem of the model misidentifying occluded samples. The experimental results show that the algorithm has significant advantages compared with the current mainstream algorithms in the two indicators of first hit rate and mean average accuracy. Especially when compared with the QAConv person re-identification algorithm published in CVPR in 2020, the two indicators of this algorithm on the DukeMTMC-reID dataset (MSMT17→DukeMTMC-reID) are 2.3% and 6.2% higher, respectively, and the algorithm in this paper can realize cross-domain person re-identification more effectively. Additionally, the DukeMTMC-reID→Occluded-Duke dataset shows good recognition results for the system in this article, with the two indicators reaching 49.5% and 39.0%, respectively.

Influence of wedge erosion deformation on working characteristics of jet pipe servo valve
MENG Lingkang, ZHU Yuchuan, DING Jianjun, CHENG Wenhao
2023, 49(11): 3177-3187. doi: 10.13700/j.bh.1001-5965.2022.0041
Abstract:

To study the influence of the erosion deformation of the pre-stage wedge on the working characteristics of the jet pipe servo valve, the erosion simulation of the pre-stage is carried out by Fluent simulation software, and the simulation result is compared with the erosion object, which shows that the wedge is the most serious erosion part in the pre-stage. The mathematical model of the pre-stage is constructed in accordance with the structural shape of the pre-stage prior to and following wedge erosion, and is used to examine the impact of the wedge erosion deformation on the pre-stage pressure. The simulation model of jet pipe servo valve is built based on AMESim simulation software, and the influence of wedge erosion deformation on the working characteristics of jet pipe servo valve is further studied. Finally, the correctness of AMESim simulation results is verified by experiments. The outcomes demonstrate that the recovery pressure and differential pressure of the pre-stage can decrease after the erosion deformation of the wedge, which results in an increase or decrease in the step-up time and amplitude-frequency bandwidth of the jet pipe servo valve, respectively. However, the unload flow characteristic and pressure characteristic of the servo valve are essentially unaffected.

Closed-loop cooperative terminal guidance law based on predictor-corrector for hypersonic gliding vehicles
ZHENG Jinku, TANG Shengjing, GUO Jie
2023, 49(11): 3188-3196. doi: 10.13700/j.bh.1001-5965.2022.0043
Abstract:

A closed-loop guidance solution based on a flight time predictor and a flight profile corrector is proposed for the time cooperative problem in the terminal guiding phase of hypersonic glide vehicles with continuous energy decay. Firstly, parameterized proportional guidance flight profile with negative coefficient is designed. The remaining time of the vehicle could be predicted after the aerodynamic uncertainty identification. Secondly, the flight profile parameter is corrected by the numerical algorithm. Then the command could guide a single vehicle to meet time constraints. Thirdly, a closed-loop coordination strategy is designed. The time adjustment capability of the vehicle is analyzed with flight profile coefficient. Multiple vehicles could plan the expected flight time and corresponding flight profile independently for cooperative terminal guidance tasks. The simulation results show that the cooperative guidance law could meet the needs of time cooperative terminal guidance tasks, the position error is less than 5 meters, and the relative time error is less than 1 second.

Influence mechanism of air pressure and heating power on thermal safety of lithium-ion battery
HE Junxian, XIE Song, CHEN Xiantao
2023, 49(11): 3197-3206. doi: 10.13700/j.bh.1001-5965.2022.1017
Abstract:

With the popularization and application of lithium-ion batteries, the thermal safety problem in aviation low-pressure environments have has attracted wide attention. The lithium-ion batteries were induced to thermal runaway under the heating power of 30−100 W at 20−95 kPa. Through the analysis of the thermal runaway phenomenon, temperature and time, the influence mechanism of the heating power on the thermal safety behavior of lithium-ion batteries in aviation low-pressure environments was discussed. The results showed that the reduction of air pressure caused the opening time of the battery safety valve to advance. However, due to the reduction of the convection heat transfer coefficient and characteristic Damkoler number under low-pressure environments, the transition time from the opening of the safety valve to the thermal runaway of the battery was prolonged. The battery’s thermal runaway period was greatly reduced by the increase in heating power, which also made the battery's thermal runaway explosion worse. The heating time was shortened, resulting in less heat transferred to the batteries from the external heat source, and the peak temperature of the battery surface was reduced. Under the combined action of the heating power and air pressure, the thermal runaway time of the battery generally showed a trend of decreasing with the increase of power. However, due to the effect of air pressure, its change law showed and obvious difference. A prediction model of battery thermal runaway time has been built by polynomial fitting, and the forecast accuracy has been regulated within (3±2) s. This was done in order to achieve the prediction of battery thermal runaway time under the combined impact of air pressure and heating power.