留言板

尊敬的读者、作者、审稿人, 关于本刊的投稿、审稿、编辑和出版的任何问题, 您可以本页添加留言。我们将尽快给您答复。谢谢您的支持!

姓名
邮箱
手机号码
标题
留言内容
验证码

2023年  第49卷  第12期

显示方式:
2023年, 第49卷, 第12期
icon下载 (27257) 1036 icon预览
多层黏接结构的阵列超声检测评价方法
周正干, 王俊, 李洋, 王飞, 危荃
2023, 49(12): 3207-3214. doi: 10.13700/j.bh.1001-5965.2022.0084
摘要:

在金属与橡胶等非金属材料的多层黏接结构的超声检测中,介质间声阻抗差异和超声衰减显著,致使脱黏缺陷检测信噪比低,缺陷识别困难。为了提高多层黏接结构中脱黏缺陷的检出能力,提出了基于线性阵列超声换能器的超声检测评价方法。分析了声波在黏接界面的传播特性,得出声波在多介质层系的反射系数频谱关系;基于多层黏接结构的三维CAD检测模型,建立多层结构的阵列超声声束路径通用计算方法,依据多层介质的刚度矩阵传递模型,构建数值仿真分析模型,实现阵列超声聚焦方案和检测工艺的设计;分析了不同黏接状态下界面回波信号的幅度谱,提出采用幅度谱特征进行C扫描成像的方法。实验结果表明:所提阵列超声检测评价方法可有效提升多层黏接结构的检测效率,提高检测信噪比,降低脱黏缺陷C扫描成像表征的复杂度。

考虑样本不平衡的X光安检图像违禁品分类方法
冯霞, 魏新坤, 刘才华, 赫鑫宇
2023, 49(12): 3215-3221. doi: 10.13700/j.bh.1001-5965.2022.0095
摘要:

X光安检图像违禁品分类被广泛应用于协助维护航空和运输安全。针对X光安检图像中违禁品尺度不一、存在困难样本及旅客行李安检固有的正负样本不均衡等问题,提出一种端到端的考虑样本不平衡的X光安检图像违禁品分类方法。采用多尺度特征提取网络捕获尺度不一的多类型违禁品特征,通过特征融合模块提升模型对图像边缘和纹理特征的表达能力,基于代价敏感思想设计损失函数,解决数据集不平衡问题,并提高困难样本分类精准度。在公开数据集SIXray上构建的子集实验结果表明:所提方法相较于端到端分类模型,平均AP指标值提升了4.5%,特别是对剪刀等难分类样本,AP指标值都有显著的提升效果。

基于滚动时域控制的多路径进场航班排序优化
乐美龙, 吴宪晟, 胡钰明
2023, 49(12): 3222-3229. doi: 10.13700/j.bh.1001-5965.2022.0120
摘要:

进场航班排序优化是提高进场航班着落效率、减少航班延误的有效方法。基于此,以最大化着落效率为目标,结合多跑道、多航路选择,考虑实际航路点限制,提出了多路径多跑道一体化进场航班排序优化混合整数规划模型。为解决大规模航班排序计算的实时性问题,提出了多航路点滚动时域控制算法。以广州白云国际机场终端区为实例进行验证,采用实际进场航班数据开展计算实验,在尾流安全间隔上,采用RECAT-CN运行标准,计算结果表明:小规模航班架次时(23架),所提模型最大降落时间比先到先服务方法提前55 s,比未优化时提前271 s;大规模航班架次时(104架),仅靠求解器在3600 s内未找到可行解,所提算法在128.65 s找到解。所提模型和算法有效,可应用于实际航班排序优化。

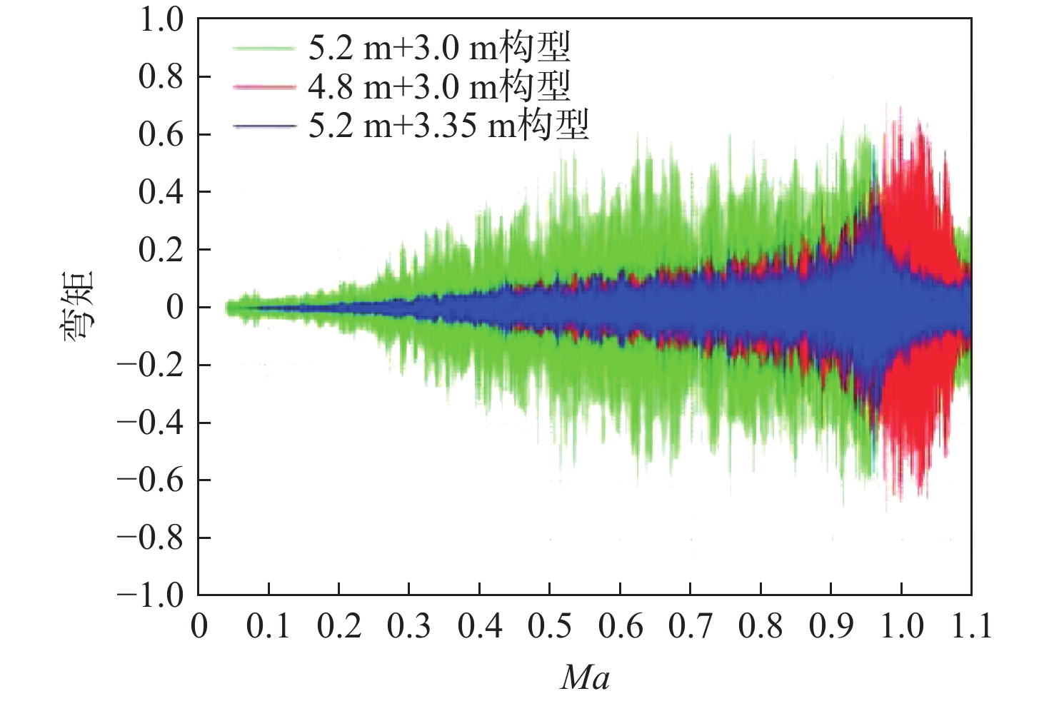
大直径整流罩运载火箭选型抖振试验研究
王国辉, 闫指江, 季辰, 唐伟, 魏远明
2023, 49(12): 3230-3236. doi: 10.13700/j.bh.1001-5965.2022.0106
摘要:

运载火箭在研制初期会根据卫星的包络需求提出整流罩的包络尺寸,进而提出火箭的初步构型设计。为了预示火箭设计构型的抖振风险,需针对火箭具体的外形尺寸、箭体频率、刚度数据开展跨声速抖振试验研究的相关工作。采用全弹性模型的抖振试验技术,以某型火箭3种5 m级直径整流罩构型为研究目标,通过开展2个方向的抖振试验,采用特征系统实现算法,评估3种火箭构型的抖振风险。研究结果表明:5.2 m直径整流罩+3.35 m直径三级构型一阶弹性模型对来流的响应时间短、响应幅值低,一阶和二阶弹性模型的气动阻尼值均大于零,可作为中国未来中型运载火箭大直径整流罩构型的外形设计方案。

基于雷达数据挖掘的空域扇区规划方法
曹兴武, 姚頔, 孙樊荣, 闫鑫淼
2023, 49(12): 3237-3244. doi: 10.13700/j.bh.1001-5965.2022.0573
摘要:

随着民航的快速发展,机场空域越发拥挤,迫切需要提高空域扇区规划的科学性。为解决传统方法指标单一、依赖人为经验因素的问题,提出了一种基于空中交通管制的雷达原始数据,采用轨迹信息数据挖掘算法确定空域扇区的方法。根据自回归模型和拉格朗日线性插值法处理航迹数据,建立特征点筛选模型,提取航向、速度、高度航迹特征点集,利用EM聚类得到特征点区域中心,基于特征点区域中心的分布建立拓扑关系,并建立最小成本函数的谱聚类算法优化模型,提出管制空域扇区方案。通过仿真验证了所提方案的可行性。

仅测角定轨问题迭代格式的推导与应用
孙玉泉, 强浩然, 东楷涵, 郑红
2023, 49(12): 3245-3252. doi: 10.13700/j.bh.1001-5965.2022.0062
摘要:

针对由仅测角信息确定卫星轨道的问题,建模为求解相应适应度函数零点的一类方法,分析了求解该问题的高斯-牛顿迭代法中涉及的观测时间步长、动力学方程求解步长和迭代格式步长三者之间的区别与联系。针对一般精定轨方法由于适应度函数高度非线性而难以构造有效迭代格式的问题,提出了初定轨与精定轨方法结合的定轨方法,并在理论上分析了该方法的可行性。通过数值实验验证了所提求解方法的准确性、有效性和高效性。

基于多特征融合与RF的球磨机滚动轴承故障诊断
王进花, 周德义, 曹洁, 李亚洁
2023, 49(12): 3253-3264. doi: 10.13700/j.bh.1001-5965.2022.0069
摘要:

由于冶金工业工况复杂,很难从单一信号中获取高质量的故障特征,诊断效果不佳。针对直接使用电流和振动信号进行融合,不能体现2类信号在不同频段上的优势和彼此之间的互补信息,而影响诊断性能的问题,提出一种基于振动和电流信号的多特征互补融合故障诊断方法。将振动信号和电流信号的高频系数特征通过最大绝对值规则融合,形成体现高频段特征的互补特征;将振动信号和电流信号的低频系数特征通过稀疏表示(SR )融合,形成体现低频段特征的互补特征。通过定义由多特征组成的特征矩阵融合全频段特征,增强全局特征表征能力。采用递归特征消除法消除融合后的冗余特征,提高分类精度,结合随机森林( RF )对轴承故障状态进行分类。实验结果表明:所提方法相比基于振动信号和基于电流信号的诊断结果更加准确。

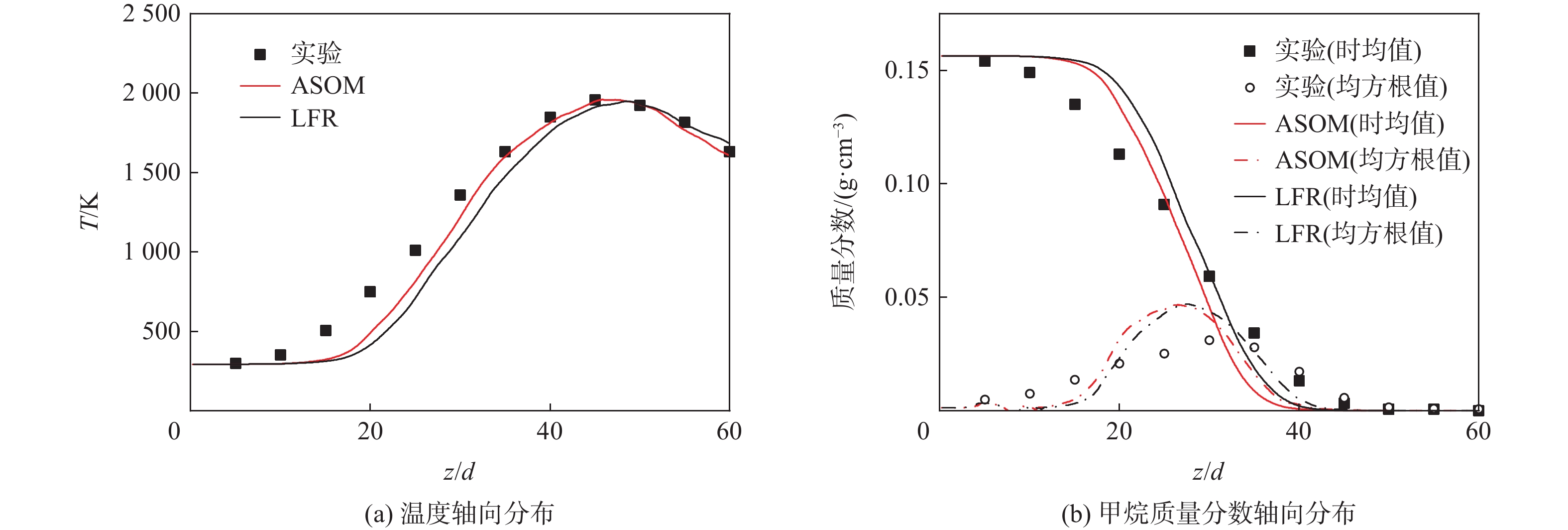
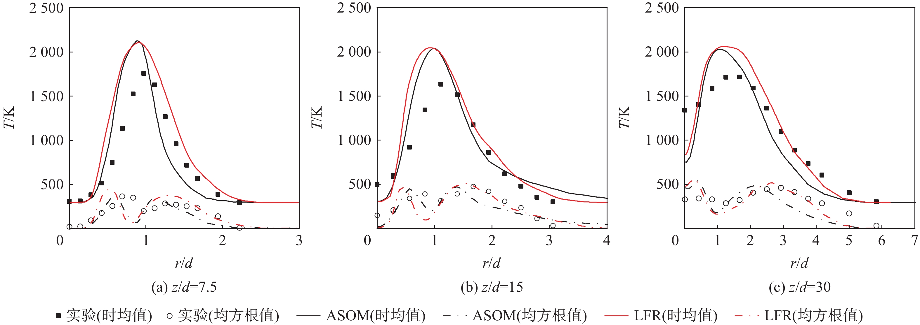
TPDF-ASOM复合湍流燃烧模型及其检验
王方, 杨子峥, 韩宇轩, 金捷
2023, 49(12): 3265-3282. doi: 10.13700/j.bh.1001-5965.2022.0073
摘要:

先进航空发动机燃烧室设计要求对湍流火焰精确控制,现有模拟方法需提高精度和效率。输运概率密度函数(TPDF)湍流燃烧模型精度高,代数二阶矩(ASOM)湍流燃烧模型计算成本低,类比离散涡模拟思想,基于Da数将湍流燃烧场区分“高精度”和“低成本”2个区域,在输运方程框架下采用随机场TPDF(高精度)和ASOM(低成本)方法重构TPDF-ASOM复合湍流燃烧模型,以提高模拟的整体精度和效率。在大涡模拟(LES)-TPDF程序平台创建ASOM并进一步实现TPDF-ASOM复合湍流燃烧模型,用Flame D实验数据检验所建模型和方法。结果表明:所建模型的预测结果与实验值接近,而且能够兼顾精度和计算效率。

基于改进ADRC的四旋翼姿态控制器设计
鄢化彪, 徐炜宾, 黄绿娥
2023, 49(12): 3283-3292. doi: 10.13700/j.bh.1001-5965.2022.0129
摘要:

针对四旋翼无人机姿态自抗扰控制(ADRC)系统应对复杂干扰时,基于传统fal函数设计的扩张状态观测器(ESO)抗扰动能力不足、易产生抖振的问题,提出一种改进型ADRC并用于四旋翼姿态控制。基于正弦函数构建一种新型光滑非线性xfal函数以改进ESO,利用Lyapunov函数对改进ESO的稳定性进行证明。通过仿真平台,与其他ADRC进行比较。实验结果表明:改进型ADRC和标准ADRC相比,当四旋翼无人机不受干扰时,在其抖振区间内,俯仰角均方误差降低了约38.7%;当四旋翼无人机分别受到连续干扰、突发干扰、复杂干扰时,在各自计算区间内,俯仰角均方误差分别降低了约78.4%、80.2%、83.3%。因此,改进型ADRC在有效减小抖振的同时,还具备优良的抗干扰能力。

大口径空间光学遥感器辐射散热器的设计及应用
阳明, 王磊, 于峰, 罗世魁, 宋欣阳, 赵振明
2023, 49(12): 3293-3302. doi: 10.13700/j.bh.1001-5965.2022.0116
摘要:

为满足大口径空间光学遥感器高效率、低密度散热的需求,提出一种基于高导热石墨膜的空间辐射散热器。对高导热石墨膜的基础物理性能、结构成分、力学性能、热性能、空间环境适应性等进行较全面的测试分析。将高导热石墨膜与热管、蜂窝板等结合起来解决高导热石墨膜应用中常见的厚度方向导热系数低、力学强度低、硬度低、厚度薄、单块尺寸小的难题。对散热器和2种传统空间辐射散热器进行对比仿真分析,仿真分析结果表明:同等散热能力下,高导热石墨辐射散热器的质量仅为传统铝合金板散热器的约1/3,仅为传统铝蜂窝板辐射散热器的约1/2。通过热平衡实验和在轨飞行应用对散热器的散热性能进行验证,验证结果表明:仿真值与在轨值具有良好的一致性,散热器具有优异的力、热性能及显著的减重优势,可广泛应用于各种航天器的散热及均温。

连续变推力离子推力器双荷离子特性分析与诊断
胡竟, 耿海, 王东升, 郭德洲, 赵勇, 杨福全
2023, 49(12): 3303-3310. doi: 10.13700/j.bh.1001-5965.2022.0078
摘要:

离子推力器束流离子中的双荷离子在制约栅极组件工作寿命的同时也影响到推力器实际推力的大小,其在总束流中的占比直接决定了推力器寿命、推力等关键性能指标的符合性。为准确、快速研判10 cm氙离子推力器在宽范围推力调节过程中的双荷离子占比,利用放电室经验模型,分析了推力器变推力调节过程中双荷离子的变化特性及其影响因素,结合实际工作参数计算得到了不同推力工况点下双荷离子的理论占比。在此基础上,采用E×B探针诊断系统测试获得了相应推力工况点下双荷离子的实验占比,并将理论计算结果与实验测试结果进行了对比。研究结果表明:离子推力器放电室内双荷离子的占比是关于推力器工质利用率等性能参数及原初电子与麦氏电子间的密度比、电子温度等相关等离子体参数的函数;在变推力调节过程中,随着放电室内阳极功率的增加,束流中的双荷离子比例不断上升,且其引出束流中双荷离子比例分布呈现出强烈的非线性分布,整体表现为伴随增长的趋势。研究为离子推力器在轨控制策略的优化设计及性能评估提供了技术支持。

面向柔性扑翼翼面形状和运动参数的优化设计
吴越, 谢长川, 杨超
2023, 49(12): 3311-3320. doi: 10.13700/j.bh.1001-5965.2022.0146
摘要:

扑翼机具备仿鸟类的外形,能够隐蔽执行侦查监视任务,合理设计翼面形状和运动过程能够提升扑翼飞行气动效应。当前针对扑翼翼面设计问题,缺乏考虑流固耦合效应的优化设计研究,还未在设计阶段考虑改变柔性翼面形状对扑翼气动特性的影响,且现有研究只涉及对翼面形状或扑翼运动的单因素分析讨论,缺乏综合2种设计因素的优化设计。针对定速前飞的柔性扑翼翼面进行气动特性优化设计,采用Newmark-β方法求解结构响应,并与现成软件求解器的计算结果进行对比,验证结构动力学计算方法的准确性,用非定常涡格法(UVLM)计算扑翼气动力,搭建了高效的流固耦合计算框架。由于扑翼复杂设计空间具有多个局部最优点,采用与并行计算结合的细分矩形(DIRECT)全局优化算法,提高计算效率,对柔性扑翼翼面的形状和运动参数进行迭代优化,确定最大化推进效率的设计参数,并与刚性模型优化结果进行对比。结果表明:柔性扑翼翼面形状和运动优化设计能够获得更高的推进效率,与只采用形状优化相比最优推进效率提高了5.6%,比刚性模型优化结果提高了27.0%。

基于持续-保持机制的多智能体系统跟踪控制
陈彤彤, 王付永, 夏承遗, 陈增强
2023, 49(12): 3321-3327. doi: 10.13700/j.bh.1001-5965.2022.0065
摘要:

考虑到实际应用中,由于外部干扰或通信能力有限,连续通信有时无法保证,研究了间歇通信下二阶多智能体的跟踪控制问题。在持续性通信无法保证的场景下,为了提升间歇通信下系统的收敛性能,引入非周期性的持续-保持控制机制,设计了一种面向二阶多智能体系统的一致性跟踪控制协议。基于矩阵论和图论知识,并结合双线性变换证明了非周期性间歇通信结构下系统可以实现一致性跟踪,进而得到了针对无向拓扑网络的一致性跟踪条件。仿真实验验证了理论结果的正确性。

基于变尺度混沌算法的曲面品质优化
徐翔宇, 闫光荣, 雷毅
2023, 49(12): 3328-3334. doi: 10.13700/j.bh.1001-5965.2022.0070
摘要:

曲面品质优化是曲面重构中的常见问题,在航空航天和汽车等高端产品设计中,如果要求重构的曲面间具有高阶连续性,往往需要进行大量的优化工作。为了便捷地得到光滑的高品质曲面,提出一种基于变尺度混沌算法的曲面品质优化方法。引入可调参数,在与邻接面NURBS曲面片一阶连续条件下,可以灵活调整多个参数值对目标面进行变形操作;建立变尺度混沌优化的数学模型,计算出可调参数组的最优解,得到相对原曲面变形量最小的高品质曲面。通过案例分析验证了所提方法的鲁棒性和实用性。对优化后的曲面进行光影分析,结果表明:所提方法可以在保证曲面品质的同时,提高曲面重构的效率。

14 nm pFinFET器件抗单粒子辐射的加固方法
史柱, 王斌, 杨博, 赵雁鹏, 惠思源, 刘文平
2023, 49(12): 3335-3342. doi: 10.13700/j.bh.1001-5965.2022.0071
摘要:

为探究先进互补金属氧化物半导体(CMOS)工艺在空间应用中的可靠性问题,研究14 nm工艺下P型沟道鳍式场效应晶体管(pFinFET)器件中的抗单粒子瞬态(SET)加固策略。通过在器件中插入平行于鳍方向的重掺杂N型沟槽(Ntie)和P型沟槽(Ptie)来减缓SET的影响。三维TCAD仿真结果表明:加固之后器件的抗SET特性和沟槽本身的偏置条件相关。当重掺杂沟槽处于零偏状态时,抗辐射加固的性能最好,SET脉冲宽度降低程度可达40%左右;然而,当处于反偏状态时,由于特殊的电荷收集过程的存在,使得SET脉冲幅度反而会明显增大,脉冲宽度减小程度并不明显。此外,还研究沟槽面积、间距及掺杂浓度对pFinFET中的SET脉冲宽度的影响,得到提高抗SET效果的加固方法。

面向联结翼总体设计的气动弹性优化
李旭阳, 万志强, 王晓喆, 黎珂宇, 杨超
2023, 49(12): 3343-3354. doi: 10.13700/j.bh.1001-5965.2022.0074
摘要:

由于前翼和后翼的连接关系,联结翼飞行器气动和结构特性与常规布局飞行器有所不同,相互连接的机翼形成一个复杂的过约束系统,布局参数繁多,多学科设计空间增加,分析困难。为分析不同布局参数对联结翼整体性能的影响,基于工程梁理论,对不同前后翼连接位置、前/后掠角、上/下反角、端板高度、根梢比等参数的联结翼开展气动弹性优化研究,以最小结构质量为目标,在静气动弹性与颤振等条件约束下,通过遗传算法对联结翼梁架结构翼盒剖面参数展开设计,并采用高精度计算流体力学/计算固体力学(CFD/CSD)耦合方法分析优化后的模型升阻特性。通过气动弹性优化,分别得到最佳结构性能和最佳气动性能的联结翼布局参数,结果表明:这种针对联结翼每个重要参数的最优解集可发现联结翼设计的规律,并为设计提供支撑。

基于SST全湍流伴随的尾桨翼型优化方法
孙钰锟, 王珑, 王同光, 马帅, 钱耀如
2023, 49(12): 3355-3364. doi: 10.13700/j.bh.1001-5965.2022.0086
摘要:

为解决当前翼型优化中广泛使用的冻结湍流黏性假设存在的固有缺陷和基于Spalart-Allmaras(S-A)全湍流伴随中湍流模型对气动力计算精度较差的问题,提出一套新的翼型优化方法,其耦合了全湍流连续伴随求解、剪切应力传递(SST)湍流模型封闭的雷诺平均Navier-Stokes (RANS) 方程、自由变形参数化方法和动网格变形技术。基于所提方法,在气动力系数相较于S-A模型有更高捕捉精度的基础上,对NPL9615翼型以最大升阻比为优化目标,并与冻结湍流黏性假设方法对比。结果表明:所提方法将原有翼型的升阻比提高了16.39%,而冻结湍流黏性假设方法获得最终翼型的升阻比仅提高了原有翼型的9.84%,说明所提方法在最优外形的获取上要领先于冻结湍流黏性假设,并且当翼型周围的湍流动能显著提高时,其优势愈发扩大。

基于多智能体强化学习的无人艇集群集结方法
夏家伟, 刘志坤, 朱旭芳, 刘忠
2023, 49(12): 3365-3376. doi: 10.13700/j.bh.1001-5965.2022.0088
摘要:

为解决数量不定的同构水面无人艇(USV)集群以期望队形协同集结的问题,提出一种基于多智能体强化学习(MARL)的分布式集群集结控制方法。针对USV通信感知能力约束,建立集群的动态交互图,通过引入二维网格状态特征编码的方法,构建维度不变的智能体观测空间;采用集中式训练和分布式执行的多智能体近端策略优化(MAPPO)强化学习架构,分别设计策略网络和价值网络的状态空间和动作空间,定义收益函数;构建编队集结仿真环境,经过训练,所提方法能有效收敛。仿真结果表明:所提方法在不同期望队形、不同集群数量和部分智能体失效等场景中,均能成功实现快速集结,其灵活性和鲁棒性得到验证。

含区间分布参数的尾喷管调节机构可靠性分析
张政, 王攀, 周瀚渊
2023, 49(12): 3377-3385. doi: 10.13700/j.bh.1001-5965.2022.0089
摘要:

为提高尾喷管调节机构的可靠性分析效率,提出一种结合拒绝采样和主动学习Kriging代理模型的分析方法。在ADAMS中建立了某发动机尾喷管调节机构虚拟样机仿真模型,通过运动学分析对所建模型进行验证;考虑其输入变量含区间分布参数的情形,建立基于调节机构定位精度的极限状态函数;引入主动学习Kriging代理模型,在分布参数随机变化的情况下,通过拒绝采样方法来捕捉样本空间的变化,从而构建适用于整个样本空间内的Kriging代理模型。通过数值算例验证所提方法的可行性,并采用所提方法对调节机构失效概率的上下限进行了计算分析,为提高区间分布参数下的可靠性分析效率提供了一种新的思路。

SpaceWire多优先级分层调度交叉开关研究与设计
柳萌, 安军社
2023, 49(12): 3386-3396. doi: 10.13700/j.bh.1001-5965.2022.0101
摘要:

SpaceWire(SpW)路由是SpW网络的关键设备之一,采用纵横式交叉开关(crossbar switch)结构,由于SpW网络数据分组最大长度不固定,经典的滑动迭代轮询匹配(iSlip)调度算法并不适用。研究二维行波进位交换结构,提出一种多优先级分层调度的crossbar switch实现结构,为不同业务流量类型赋予不同优先级可以提高网络服务质量(QoS),采用基于仲裁反馈轮询(FBP)算法,在群组路由时具有良好输出公平性。通过向环型行波进位(CRCS)仲裁结构中插入寄存器分割组合逻辑组成流水结构降低组合延迟,提高最高系统频率,解决路由端口数量扩展的问题。使用可编程逻辑语言实现优先级数量和端口数量可配置的crossbar,CRCS结构具有资源占用少、仲裁速度快和易于扩展的特点。以4×4规模的crossbar switch为例,采用二维CRCS结构相比于线性扩展结构,仲裁逻辑单元数量节省67.3%,仲裁延迟降低约60%,在Xilinx V7系列现场可编程门阵列(FPGA)进行逻辑综合,行列各插入2级寄存器,即可满足最大规模下的SpW路由应用需求。

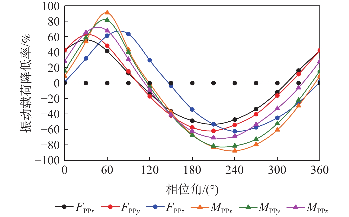
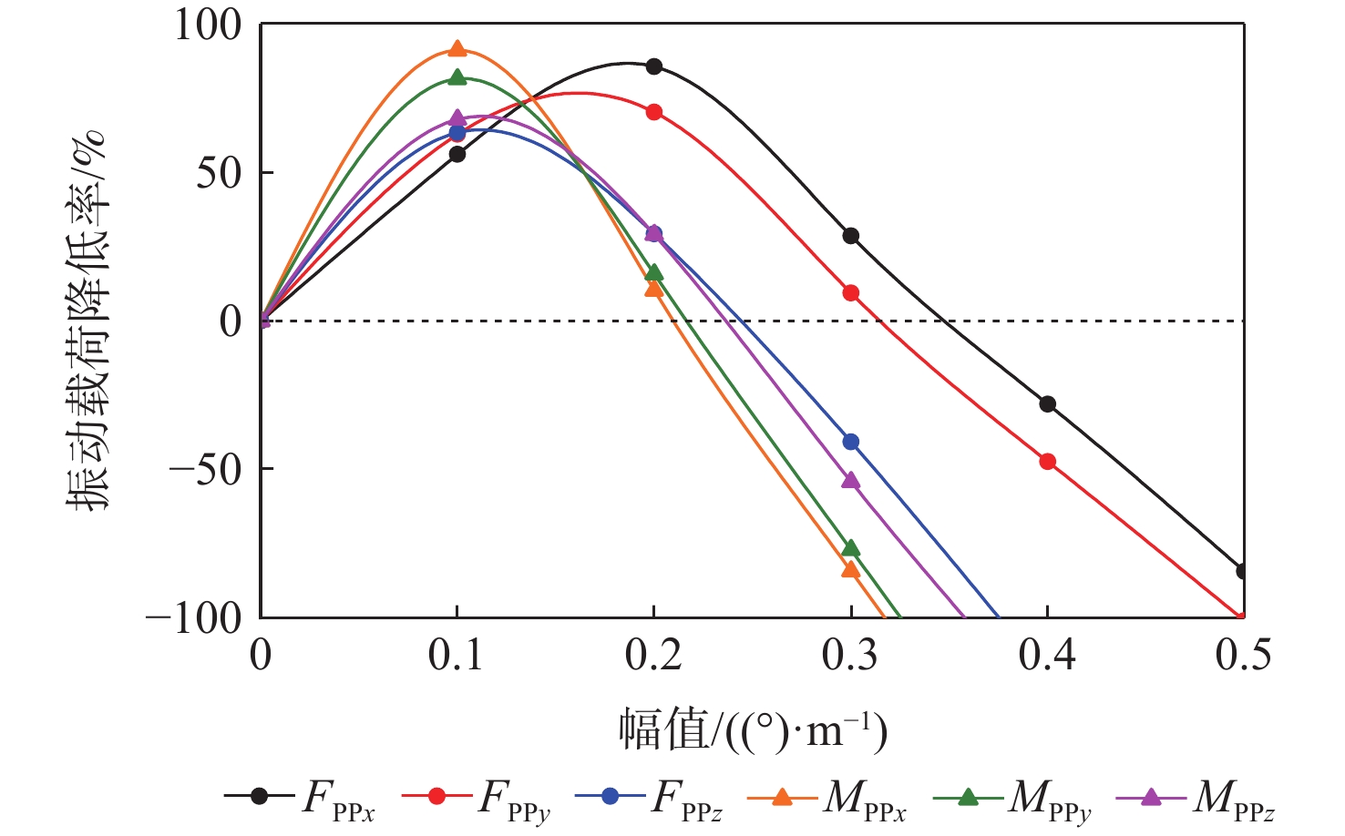
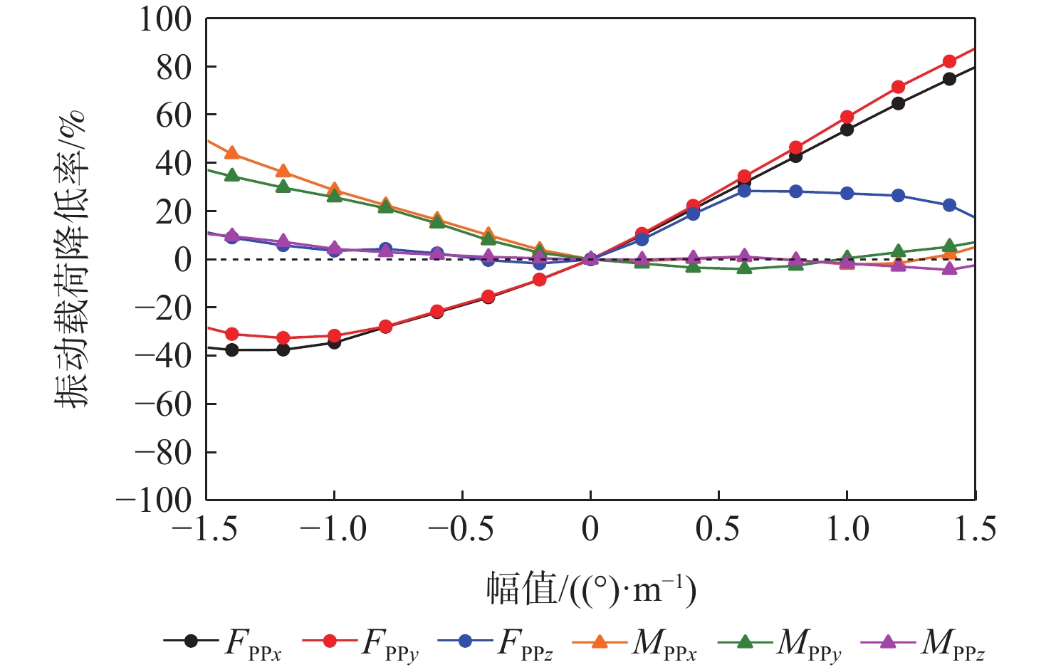
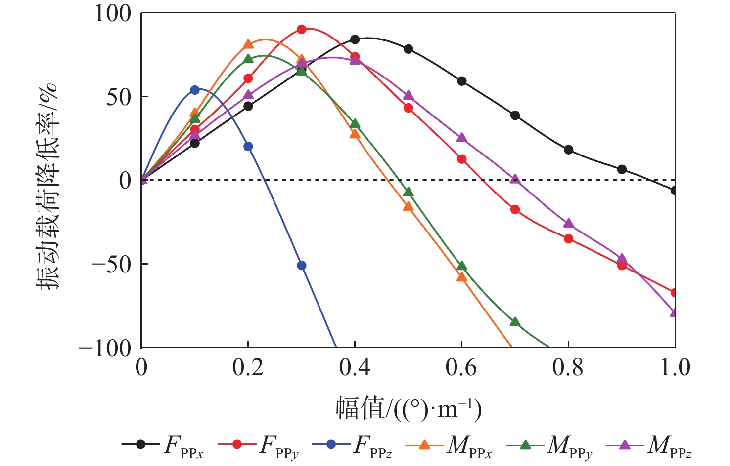
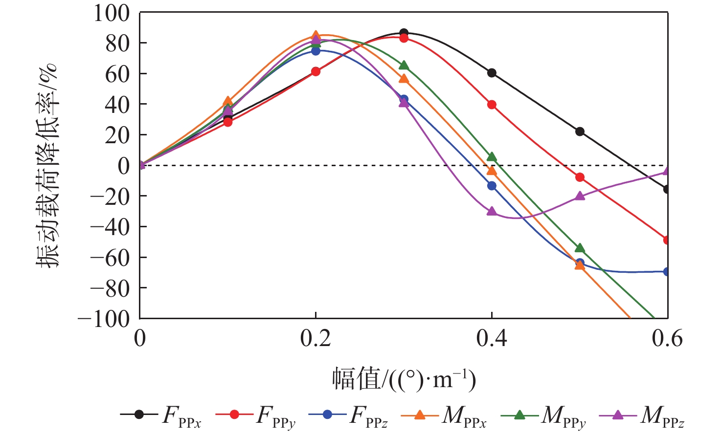
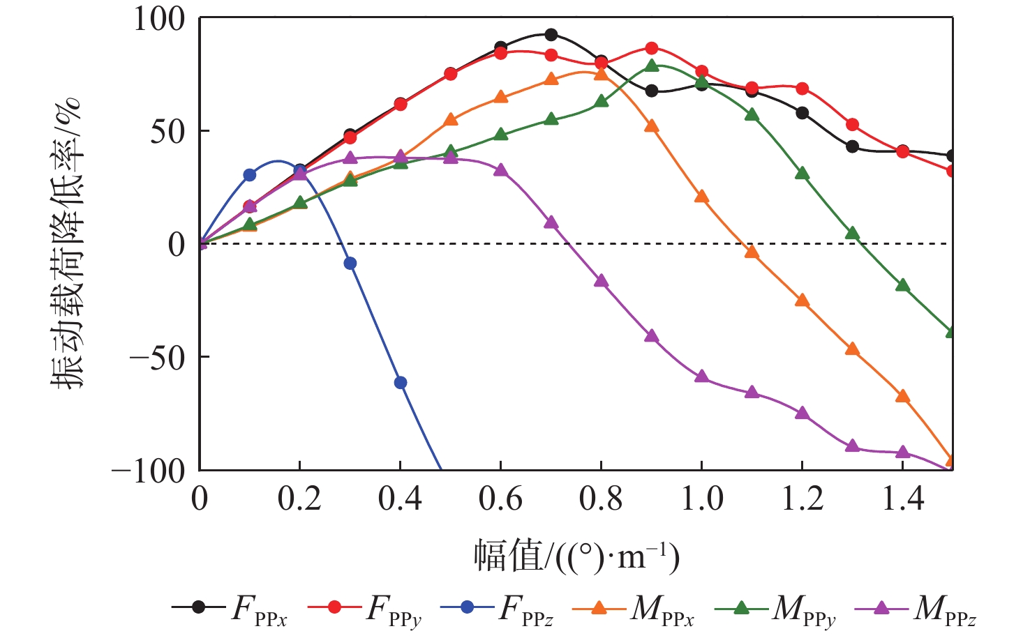
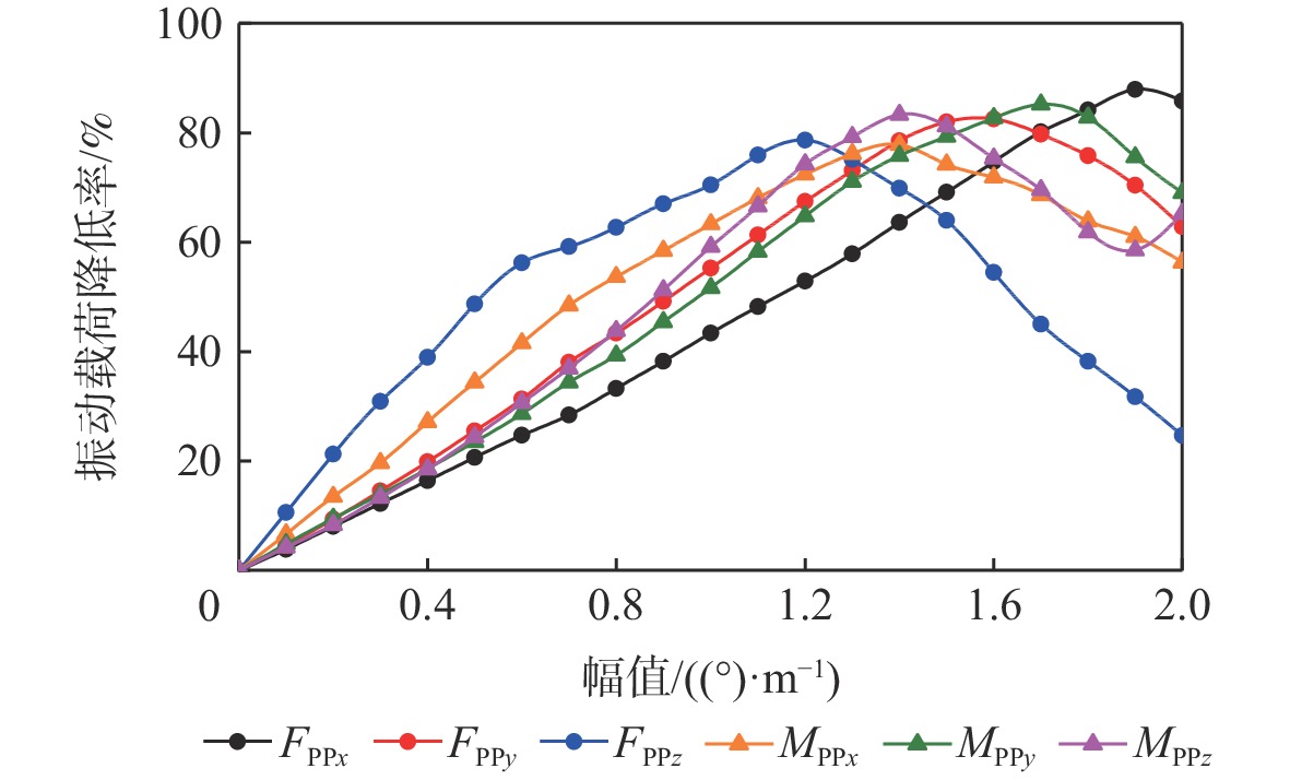
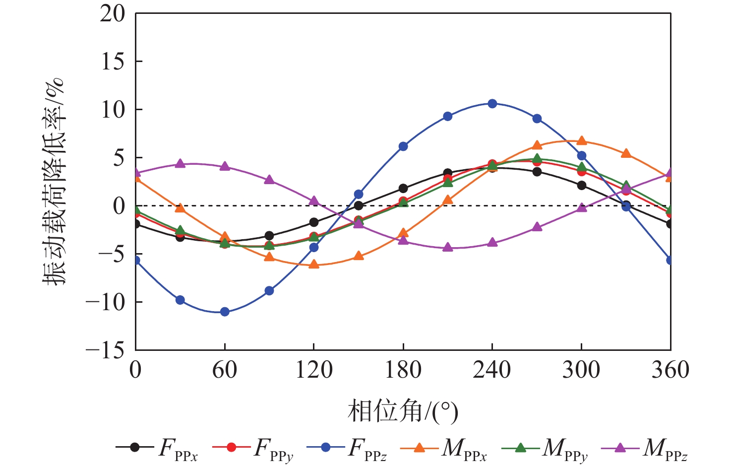
主动扭转旋翼振动载荷减缓控制优化
张啸迟, 万志强, 严德
2023, 49(12): 3397-3408. doi: 10.13700/j.bh.1001-5965.2022.0105
摘要:

为降低旋翼前飞状态的桨毂振动载荷水平,应用主动扭转旋翼技术,开展最优控制方案研究。建立基于中等变形梁理论的旋翼气动弹性动力学模型,以预测稳态飞行的桨毂振动载荷。使用UH-60A直升机旋翼算例验证所建模型准确性并作为研究基准。通过谐波相位及幅值变参分析,研究单谐波扭转控制对振动载荷的影响。构建基于遗传算法的主动扭转旋翼控制参数优化框架,开展展向一致多谐波扭转控制参数优化与分段多谐波扭转控制方案优化。结果表明:优化的多谐波扭转控制相比单谐波主动扭转控制可起到更好的桨毂振动载荷减缓效果。而以桨叶中点为分段点的最优2段扭转控制方案,通过对内外段桨叶施加不同的扭转控制规律,进一步降低了六方向的振动载荷水平。

半监督局部特征保留图卷积高光谱图像分类
丁遥, 张志利, 赵晓枫, 阳能军, 蔡尉尉, 蔡伟
2023, 49(12): 3409-3418. doi: 10.13700/j.bh.1001-5965.2022.0109
摘要:

图卷积网络(GCN)应用于高光谱图像(HSI)分类是现在研究的热点和前沿。但是现有的图卷积网络算法依然面临着计算量大、过度平滑和特征自适应选择的问题。面对这些问题提出超像素分割算法减少网络节点数量,在保留节点光谱特征的同时降低运算量;采用DenseNet结构保留卷积过程特征,解决图卷积过度平滑问题;最后提出一种半监督局部特征保留稠密连接上下文感知的图卷积网络算法,利用层注意力机制针对分类目标进行特征自适应选择。所提算法实现了端到端的半监督分类,在3个真实数据集上,与最新的分类算法对比实验结果表明:所提算法在各项指标上都有较好的表现,提高了HSI的分类正确率。

基于二维连通图的无人机快速三维路径规划
潘登, 郑建华, 高东
2023, 49(12): 3419-3431. doi: 10.13700/j.bh.1001-5965.2022.0147
摘要:

针对复杂真实环境下无人机三维路径规划解算速度慢的问题,提出一种基于二维连通图的快速三维路径规划方法。首先解析真实地理环境的地形特征和建筑要素,构建基于数字高程模型(DEM)的多层次等效三维数字地图;在此基础上,经过无人机可行空域到二维连通图的转化、连通图中的路径规划及路径的三维化与优化,快速获得一条可执行的三维路径。针对连通图中的全局路径规划,设计了一种基于步长地图的变步长稀疏A*算法,在保证路径质量的同时有效降低路径搜索的时间;针对连通图中的局部路径规划,提出一种基于障碍预测的随机路标图(PRM)实时路径重规划算法,以满足无人机的实时性避障需求。分别在山地环境和城市环境中进行仿真飞行,结果表明:所提方法能够有效降低三维路径规划的解算难度,在短时间内完成复杂环境下不同尺度和需求的路径规划,全局路径规划算法同比三维A*算法和基于二维连通图的二维A*算法搜索时间分别降低了99%和95%,局部路径重规划算法能够在1 s的单次采样周期内完成路径重规划,实时躲避未知障碍物,保证飞行过程的安全。

基于单胞代理模型的热弹性点阵结构优化方法
路红波, 蔡玉洁, 李书
2023, 49(12): 3432-3444. doi: 10.13700/j.bh.1001-5965.2022.0155
摘要:

三维点阵材料是一种具有多尺度特性的新型轻质多功能材料,其有千变万化的微结构和高孔隙率,通过设计其细观尺度特征可以获得优良的宏观性能。为了发挥材料与结构的最大设计潜力,提出一种热弹性点阵结构优化方法。在材料细观研究尺度上,实现了三维点阵材料等效热弹性性能预测,利用周期性边界条件下的代表体元法进行数值求解,利用径向基函数代理模型构建细观结构和宏观材料性能的数学关系,并进行了预测误差验证,证明了所提方法具有良好的精确度。在结构宏观研究尺度上,建立了以等效材料填充的结构优化模型,考虑了热力载荷作用,以单胞等效性能代理模型作为材料插值模型,提出最小应变能热弹性点阵结构优化数学模型。在典型三维算例中得到了细观结构变密度分布的优化结果,结构热刚度在一定体积约束下显著提高,证明了所提方法的有效性。

卷积自编码器在非定常可压缩流动降阶模型中的适用性
肖若冶, 于剑, 马正宵
2023, 49(12): 3445-3455. doi: 10.13700/j.bh.1001-5965.2022.0085
摘要:

为有效降低使用计算流体力学(CFD)方法的设计成本和周期,降阶模型(ROM)得到广泛关注。对于复杂的可压缩流动,使用本征正交分解(POD)等线性方法进行流场降维,需要大量模态才能保证流场重建的精度,采用非线性降维方法能够有效减少所需模态数。卷积自编码器(CAE)是一种由编码器和解码器组成的神经网络,能够实现数据降维和重构,可看作是POD方法的非线性拓展。采用CAE进行流场数据的非线性降维,同时使用长短期记忆(LSTM)神经网络进行流场状态的时间演化。对于不可压缩问题,使用自编码器和LSTM结合进行流场重构的方法已有较多研究,选择一维Sod激波管、Shu-Osher问题、二维黎曼问题和开尔文-亥姆霍兹不稳定性算例,测试该ROM对非定常可压缩流动的有效性,同时基于POD方法,在不同模态数下构造Sod激波管和黎曼问题的ROM作为对比。结果表明:对于非定常可压缩流动,CAE-LSTM方法能够在使用较少自由变量数的前提下获得较高的重构和预测精度。

离心雾化过程中转盘的耦合传热数值研究
彭磊, 李龙, 赵伟
2023, 49(12): 3456-3466. doi: 10.13700/j.bh.1001-5965.2022.0152
摘要:

转盘离心雾化是一种制备球形金属粉末的重要方法,在高熔点金属粉末制备中,需要对转盘结构本身和下端的驱动电机进行热防护。采用数值模拟的方法,研究熔融铝液的转盘离心雾化流场模型的耦合传热问题,给出不同材料、不同转盘结构条件下的转盘温度场分布。为提高冷却效率,发展带有肋片的新型转盘热防护结构,分析肋片结构的散热机理,对比不同肋片位置、肋片厚度和肋片直径的热防护效果。研究结果表明:大热容和低导热系数的金属材料转盘的底端温度更低;肋片和转盘之间形成的环形氮气流场是提高转轴散热能力的主要原因;肋片位置越低,直径越大,厚度越厚,转轴底端温度越低,冷却效果越好。

基于机器学习的锂离子电池健康状态分类与预测
高昊天, 陈云霞
2023, 49(12): 3467-3475. doi: 10.13700/j.bh.1001-5965.2022.0154
摘要:

对锂离子电池进行准确的健康状态(SOH)预测是电池应用中的一项关键技术。由于锂离子电池内部复杂的电化学反应体系,多样的失效机理及生产差异,锂离子电池的退化往往呈现出较大的分散性,为锂离子电池SOH的准确预测造成了较大的困难。为此,提出一种基于机器学习的锂离子电池SOH分类与预测方法,基于精度约束,利用双子群优化算法确定训练集数据合适的类别个数及类别范围;基于Softmax分类模型根据锂离子电池早期退化数据进行SOH分类,使得退化趋势较为接近的电池被分为一类;对每一类电池分别利用神经网络构建其SOH预测模型,从而减小锂离子电池数据的大分散性的影响,提升锂离子电池的SOH预测精度。所提方法相比传统方法预测误差降低了34%以上,验证了所提方法的有效性和优越性。

高速无人机地面变速滑跑转弯方向稳定性研究
孔德旭, 尹乔之, 宋佳翼, 魏小辉
2023, 49(12): 3476-3488. doi: 10.13700/j.bh.1001-5965.2022.0159
摘要:

高速起降无人机地面滑跑过程中受到轮胎力、气动力、舵面力等多个非线性因素的影响,容易发生转弯失控,在地面打转甚至冲出跑道等严重事故。目前利用分岔理论分析飞机地面滑跑非线性转弯系统稳定性时,都是基于匀速滑跑的平衡态系统,无法分析加减速对非线性非自治飞机地面滑跑系统稳定性的影响。对此,提出利用达朗贝尔原理将非线性动态系统转化为等效非线性平衡态系统进行分岔特性研究。在MATLAB/Simulink中建立无人机非线性地面变速滑跑动力学模型,并基于达朗贝尔原理在系统模型中引入惯性力,将系统转化为等效平衡态系统,进而利用数值延拓法对系统全局稳定性及分岔特性进行求解,分析了无人机变速滑跑过程中加速度对无人机转弯方向稳定性的影响,并对系统出现的鞍结分岔现象、Hopf分岔现象进行分析。通过对3种典型工况下无人机的运动状态和受力进行分析,揭示了无人机地面变速滑跑转弯时发生方向失稳的本质与机理。同时,在加速度单参数分岔分析的基础上,采用开折方法,将前轮转角作为附加参数引入无人机地面滑跑动力学模型,进行双参数分岔分析,讨论了双参数组合对无人机地面滑跑方向稳定性的影响规律,并就双参数分岔过程中新出现的BT分岔、GH分岔和ZH分岔现象进行了讨论。

弱信息交互条件下的无人机集群决策方法
王子泉, 李杰, 李娟, 刘畅
2023, 49(12): 3489-3499. doi: 10.13700/j.bh.1001-5965.2022.0066
摘要:

随着无人系统与智能技术的发展,作为无人系统的典型应用之一的无人机集群,在民用与军事领域的应用前景越来越广阔,当集群规模较大时,传统的组网通信方式会受到带宽、干扰等限制,极大影响无人机集群的协同作战效能。基于此,提出一种弱信息交互条件下的无人机集群决策模型(WIIUSM),不依赖无人机之间的双向数据交互,仅依靠单向视觉感知的方式实现期望的集群行为。建立了弱信息交互的无人机集群模型,采用改进后的遗传算法(IGA)作为优化方法对决策模型进行优化。以区域搜索任务为例进行仿真测试,将所提方法与基于顶层规划的蛇形方法进行对比,证明了所提方法在搜索效率层面的有效性;测试了不同比例无人机失效条件下搜索效率的下降程度,与蛇形方法进行对比,证明所提方法具有一定的鲁棒性。

基于组合赋权的对地攻击无人机自主能力云模型评价
严惊涛, 刘树光
2023, 49(12): 3500-3510. doi: 10.13700/j.bh.1001-5965.2022.0072
摘要:

针对对地攻击无人机自主能力量化评价的不确定性问题,提出基于组合赋权的云模型评价方法。基于认知控制结构,从感知探测、规划决策、作战执行、安全管理和学习进化5个方面构建自主能力评价指标体系。运用基于博弈论的组合赋权方法,结合改进层次分析法和改进熵权法确定组合权重,克服了单一赋权方法确定指标权重的片面性。考虑自主能力评价过程的模糊性和随机性,提出一种对地攻击无人机自主能力云模型评价方法,采用浮动云算法实现评价指标云的有效综合。对3种对地攻击无人机进行仿真验证,结果表明:所提方法综合考虑评价对象的主客观因素,消除了单一赋权方法的局限性,权重分配科学合理。自主能力云模型量化评价能够有效区分不同类型对地攻击无人机自主能力等级的差异性,评价结果准确可信。

基于随机遮挡和多粒度特征融合的行人重识别
张楠, 程德强, 寇旗旗, 马浩辉, 钱建生
2023, 49(12): 3511-3519. doi: 10.13700/j.bh.1001-5965.2022.0091
摘要:

针对行人重识别中存在遮挡及行人判别特征层次单调的问题,在IBN-Net50-a网络的基础上,提出了一种结合随机遮挡和多粒度特征融合的网络模型。通过对输入图像进行随机遮挡处理,模拟行人被遮挡的真实情景,以增强应对遮挡的鲁棒性;将网络分为全局分支、局部粗粒度互融分支和局部细粒度互融分支,提取全局显著性特征,同时补充局部多粒度深层特征,丰富行人判别特征的层次性;进一步挖掘局部多粒度特征间的相关性进行深度融合;联合标签平滑交叉熵损失和三元组损失训练网络。在3个标准公共数据集和1个遮挡数据集上,将所提方法与先进的行人重识别方法进行比较,实验结果表明:在Market1501、DukeMTMC-reID、CUHK03标准公共数据集上,所提方法的Rank-1分别达到了95.2%、89.2%、80.1%,在遮挡数据集Occluded-Duke上,所提方法的Rank-1和mAP分别达到了60.6%和51.6%,均优于对比方法,证实了方法的有效性。

基于耗氧惰化技术的飞机燃油箱热模型
刘冠男, 王立群, 王悦, 许扬, 王洋洋, 冯诗愚, 范菊莉
2023, 49(12): 3520-3527. doi: 10.13700/j.bh.1001-5965.2022.0097
摘要:

温度是燃油箱耗氧惰化系统适航符合性验证过程中重要指标。基于MATLAB Simulink软件,建立了飞机燃油箱耗氧型惰化系统油箱部件的传质传热模型,并验证其可靠性。在此基础上,分析了惰化系统抽气流量和出口温度对飞机燃油箱气相空间节点温度和燃油节点温度的影响。结果表明:所建立的飞机燃油箱传质传热模型具有较高的可靠性;随着惰化系统抽气流量的增加和惰化系统出口温度的升高,气相空间节点温度随之升高但对燃油节点温度影响不明显。

基于并行遗传算法的高轨卫星导航选星方法
石涛, 庄学彬, 林子健, 曾小慧
2023, 49(12): 3528-3536. doi: 10.13700/j.bh.1001-5965.2022.0118
摘要:

高轨航天器自主导航能力在北斗三号卫星导航系统建成后得到了增强,但是也带来了部分时刻可见星数量冗余的问题。为降低运算量以保证服务的实时性,提出一种利用多种群并行遗传算法 (PGA) 进行快速选择当前最优可见星组合的方法。该方法将加权精度因子 (WDOP) 作为适应度评判标准,利用粗粒度式并行划分成的多个子种群进行搜索加速,并通过变异因子差异化设置与子种群间的信息交流来提高搜索能力。对多个典型高轨环境下7颗及以上选星任务的仿真测试表明,基于PGA的选星方法解相比遍历法所求最优解绝对误差平均值小于0.1,相对误差最大不超过1%。仿真结果表明,在典型高轨环境F1接收机利用四系统组合导航时,所提方法可以有效地快速、准确完成指定卫星数的选星任务。

二维类间边界Fisher分析的多元时间序列降维
胡钢, 李正欣, 张凤鸣, 赵永梅, 武江南
2023, 49(12): 3537-3546. doi: 10.13700/j.bh.1001-5965.2022.0128
摘要:

针对传统边界Fisher分析及相关方法用于多元时间序列降维的局限性,提出一种基于二维类间边界Fisher分析的多元时间序列降维方法。针对边界Fisher分析进行模型改进,在本征图和惩罚图的基础上引入类间惩罚图,用来描述各个类中心之间的距离,并对目标函数进行改进,提出类间边界Fisher分析模型;对所提模型进行二维化拓展,提出基于二维类间边界Fisher分析的降维模型,使其能够直接处理二维矩阵数据,有效保留结构信息;通过计算协方差矩阵将多元时间序列集转化为等长特征集,利用降维模型将等长特征集投影到低维空间,达到数据降维和特征表示的目的。实验结果表明:所提方法能够有效对多元时间序列进行降维,达到良好的分类效果。

模糊特征目标的相对熵识别法
张虎彪, 王星, 徐宇恒, 吴笑天, 胡文辉
2023, 49(12): 3547-3558. doi: 10.13700/j.bh.1001-5965.2020.0237
摘要:

针对模糊特征的目标识别问题,提出了一种结合模糊建模和改进CRITIC方法的相对熵识别方法。计算多个时刻观测值的统计特征,通过模糊建模将观测值转化为模糊数;基于模糊数距离测度,定义并计算目标特征值和观测值之间的相似度;对CRITIC方法进行改进,提出一种目标特征客观权重的求解方法;根据相似度和特征权重,使用相对熵排序法得到识别结果。仿真结果显示:模糊特征能够更好地体现识别中的不确定性,所提方法对模糊特征的目标识别率高,实时性和鲁棒性好,具有一定的应用价值。

常见问答