留言板

尊敬的读者、作者、审稿人, 关于本刊的投稿、审稿、编辑和出版的任何问题, 您可以本页添加留言。我们将尽快给您答复。谢谢您的支持!

姓名
邮箱
手机号码
标题
留言内容
验证码

2023年  第49卷  第11期

显示方式:
2023年, 第49卷, 第11期
icon下载 (43149) 1078 icon预览
CYGNSS/SMAP数据融合半经验模型的土壤湿度反演
张云, 张丹丹, 孟婉婷, 顾军, 韩彦岭, 杨树瑚
2023, 49(11): 2873-2882. doi: 10.13700/j.bh.1001-5965.2022.0044
摘要:

星载GNSS反射信号(GNSS-R)的土壤湿度反演易受陆地多变环境因素影响,目前,对于星载GNSS-R土壤湿度反演中误差分析及反演模型外推性能分析较少。综合多种误差修正模型,包括GNSS卫星发射功率误差、植被和地表粗糙度对反射信号强度的衰减,通过修正提高陆地点反射率的准确性,建立了反射率-土壤湿度的CYGNSS/SMAP数据融合的反演半经验模型。实现了一年高精度外推反演,反演偏差为−0.0037 cm3/cm3,均方根误差(RMSE)为0.0264 cm3/cm3,相关系数为0.9636。提出了分季节的外推模型,提高了低含水量季节的外推精度。实验区域的经度为90°E~130°E,纬度为20°N~38°N,利用2019年10月至2020年9月的CYGNSS/SMAP数据进行训练,外推2020年10月至2021年9月的土壤湿度。经误差模型修正反射率后,模型的反演偏差提升6.80%,均方根误差提升3.30%。针对实验区域内冬、春季土壤含水量较低时反演精度差的问题,提出了同季节外推的分季节训练模型,相对一年数据量的训练模型,冬季反演的均方根误差提升21.58%,春季提升21.05%。将2021年6月1—10日的反演结果与CLDAS地面实测土壤湿度进行对比,反演偏差为0.0058 cm3/cm3,均方根误差为0.0854 cm3/cm3,具有较好的准确性。研究证明了使用反射率误差修正模型及反射率-土壤湿度半经验模型反演土壤湿度的有效性,对推广星载GNSS-R土壤湿度反演业务化应用具有积极意义。

“北航空事卫星一号”监视载荷的统计性能
刘海涛, 杨宁, 李冬霞, 李雪缘, 张学军, 安强, 张芷恩
2023, 49(11): 2883-2889. doi: 10.13700/j.bh.1001-5965.2022.0057
摘要:

“北航空事卫星一号”是广域航空器监视科学试验卫星。为了评估“北航空事卫星一号”监视载荷的性能,提出了ADS-B系统监视载荷的性能指标及统计方法,并利用“北航空事卫星一号”在轨观测数据,统计给出了“北航空事卫星一号”监视载荷的性能指标,包括监视覆盖半径、检测概率、识别概率、位置报告更新间隔及载荷消息速率。统计结果表明:“北航空事卫星一号”具备了在全球范围内对运输航空及通用航空器监视跟踪的能力;监视覆盖半径达1710 km,检测概率大于35%,识别概率大于68%,位置报告更新间隔小于8 s。

基于VMD-MA的GNSS-MR雪深反演方法
胡媛, 袁鑫泰, 刘卫, 江志豪, 洪学宝
2023, 49(11): 2890-2897. doi: 10.13700/j.bh.1001-5965.2021.0777
摘要:

针对利用全球卫星导航系统多径反射(GNSS-MR)技术反演雪深过程中信噪比(SNR)序列趋势项分离不佳和反演结果波动较大的问题,提出一种基于变分模态分解(VMD)和移动平均(MA)的雪深反演方法。VMD算法通过自适应高通滤波有效分离SNR序列的趋势项,MA算法对初始反演结果进行平滑处理从而减少随机波动。选用瑞典KIRU站2021年前5个月GLONASS不同频段的SNR观测值开展实验,研究所提方法的可行性。结果表明:基于VMD算法的反演结果与气象站原位雪深相关系数超过0.95,均方根误差(RMSE)最低约5 cm,较传统算法减少近40%;经MA算法平滑处理后,反演精度进一步提高。考虑到GNSS站和气象站之间的差异性,选取GPS SNR反演结果作为参考数据源,不同参考数据源取得了一致的实验结论,验证了所提方法的可行性和有效性。

基于快速仿射模板匹配的AMCL算法
张淑芳, 李亚阳, 张涛
2023, 49(11): 2898-2905. doi: 10.13700/j.bh.1001-5965.2022.0001
摘要:

自主定位是移动机器人的重要任务,机器人绑架问题是定位技术中的难点。基于粒子滤波的自适应蒙特卡罗定位(AMCL)算法能够解决机器人绑架问题,但其在定位恢复过程中需要在全局地图中放入新粒子,恢复效率低。通过对自适应蒙特卡罗定位算法的研究,结合图像学中模板匹配思想,提出了一种基于快速仿射模板匹配的自适应蒙特卡罗定位(AMCL-FM)算法。该算法利用全局代价地图与局部代价地图估计出机器人的真实位置,并在估计出的位置放置新的粒子,提高定位恢复能力。与传统的自适应蒙特卡罗定位算法相比,所提算法定位精度提升了61.13%,定位恢复效率提升了69.23%。

对比阈值效应对跑道视程测量的影响
庄子波, 王文惠, 台宏达, 王晶
2023, 49(11): 2906-2912. doi: 10.13700/j.bh.1001-5965.2022.0040
摘要:

针对传统的日间跑道视程(RVR)计算过程中忽略人眼对比阈值的影响问题,理论分析人眼对比阈值的大小及偏差对RVR测量范围和精度的影响,分别测量与飞行一线密切相关的飞行、管制、应用气象3类专业学员的对比阈值,探究不同光环境下对比阈值的差异性对RVR测量的精度及对飞行运行中可接受的误差范围的影响。实验结果表明:相较于管制、应用气象学员2类实验对象,飞行学员的对比阈值更小,具有更好的能见度水平。背景亮度会影响对比阈值,亮度越大,对比阈值越小,对RVR观测有利,但是背景亮度增大或者添加眩光都会使实验对象之间的对比阈值差异增大,引起更大的RVR误差。该误差在大气状况良好时是可以接受的,但是在RVR小于800 m的低能见度状况下超出了规定范围,尤其是在RVR为400 m或800 m这种航空运行的关键节点,会对飞行活动产生影响,应考虑将对比阈值引起的偏差进行修正,以保证低能见度条件下的飞行安全和运行效率。

高马赫数内埋武器舱被动流动控制措施
张培红, 陈洪杨, 张杰, 罗磊, 周方奇, 贾洪印
2023, 49(11): 2913-2920. doi: 10.13700/j.bh.1001-5965.2021.0790
摘要:

高马赫数(Ma>2)武器舱剪切层更强、更稳定,其噪声产生机制与通常的亚、跨、超声速武器舱流动不同,导致用来抑制空腔噪声的流动控制措施也不同。分别采用数值模拟和风洞试验2种手段,研究了圆柱形机身和马赫数对空腔流动特性的影响,以及前缘锯齿、前缘立柱、前缘横柱、前缘挡板等不同被动流动控制措施对高马赫数武器舱声压级特性的影响,为高马赫数武器舱的流动控制措施设计和研究提供参考。研究表明:圆柱形机身对空腔底部的压力分布会产生影响,压力分布的不均匀性增大,后壁附近的压力峰值增大;对通常的亚、跨、超声速武器舱流动较为有效的被动流动控制措施,对高马赫数空腔流动效果不明显,甚至会加大武器舱内的噪声等级,需要开展更为深入的研究,以设计更为有效的流动控制措施。

基于认知过程的飞行员脑力负荷动态预测
刘承平, 肖旭, 赵竞全
2023, 49(11): 2921-2928. doi: 10.13700/j.bh.1001-5965.2022.0053
摘要:

现代军用飞机座舱驾驶系统信息高度密集、任务复杂多变。为探讨信息加工类型与多任务协同对飞行员脑力负荷的影响,依据ACT-R认知模块与脑力负荷决定性因素的关联性,将飞行员的脑力负荷划分为感知负荷与认知负荷,并基于四维多资源干扰理论,考虑多任务协同作用时的资源干扰对脑力负荷的影响,提出了基于认知过程的飞行员脑力负荷动态预测模型。为校验所提模型,选取16名被试完成4种模拟飞行任务的脑力负荷评价实验,结果显示:不同飞行任务在飞行绩效、NASA-TLX主观评价、平均扫视时间与扫视频率下的主效应显著(P<0.05),总脑力负荷预测值与NASA-TLX主观评价、扫视频率和心率呈显著正相关,平均脑力负荷预测值与飞行绩效、瞳孔直径和平均扫视时间呈显著正相关。所提模型对飞行员脑力负荷的动态预测与评价具有应用价值。

浮升力对竖直螺旋管中超临界CO2换热的影响及判别准则
王彦红, 陆英楠, 李洪伟, 李素芬, 东明
2023, 49(11): 2929-2937. doi: 10.13700/j.bh.1001-5965.2022.0024
摘要:

基于航空发动机间冷器的冷却换热问题,进行竖直螺旋管内超临界压力CO2换热数值研究。探究运行参数对沿流向和周向换热的影响机制。通过管截面温度场和流场分布阐述了浮升力和离心力引起的周向非均匀换热机制,评估二次流速度和强度。根据管道结构特性提出新的浮升力参数和浮升力影响判别准则,建立新的换热关联式。结果表明:管上游非均匀换热源于浮升力与离心力综合作用,管下游非均匀换热由离心力主导。当满足浮升力因子Bu≥1.6×10−5时,浮升力在换热中起主导作用。新换热关联式可以较好地适用于螺旋管内换热预测。

局部振动对火星环境下薄翼型气动性能的影响
陈肇麟, 陆政旭, 肖天航, 邓双厚
2023, 49(11): 2938-2950. doi: 10.13700/j.bh.1001-5965.2022.0032
摘要:

火星的稀薄大气环境迫使无人机在亚临界雷诺数范围工作,低雷诺数层流分离问题给无人机气动性能带来极其不利的影响。同时,火星大气的声速较低,使无人机运行的马赫数更高,压缩效应增强并可能产生激波。为研究火星环境下翼型局部振动的流动控制作用,采用基于动网格的数值方法对非定常流场进行模拟。选取NACA5605低雷诺数薄翼型,雷诺数为1.5×104,马赫数为0.43和0.63。时均流场和时均气动力系数结果显示:翼型局部振动能够明显减少时均分离区的大小,起到增升减阻的作用。非定常流场表明流动控制机理在于振动产生的涡流运动抑制了翼型尾缘附近的层流分离。研究了不同振幅、频率和振动位置下的流动控制效果。最佳参数下,马赫数为0.43时升阻比最多提高24.7%,马赫数为0.63时升阻比最多提高52%。

基于固定时间的二阶智能体分布式优化算法
时侠圣, 林志赟
2023, 49(11): 2951-2959. doi: 10.13700/j.bh.1001-5965.2022.0060
摘要:

对有界扰动下二阶多智能系统的分布式凸优化问题进行了研究。分布式优化问题旨在通过智能体间信息交互实现全局成本函数一致最优。基于固定时间理论,提出一种在固定时间内收敛到最优解的算法。为防止智能体泄露局部成本函数的梯度信息,当邻居成本函数二阶导差值有界时,通过平均一致性在固定时间内利用跟踪技术实现平均梯度信息获取。设计一种自适应算法以避免上述全局信息的假设。进一步地,引入符号函数项实现算法对智能体外部有界扰动的自适应抑制。最后给出收敛性证明和仿真案例。

新型树脂基复合材料引射因子测试
王丽燕, 陈伟华, 蒋云淞, 张晗翌, 陈智铭, 徐芸
2023, 49(11): 2960-2967. doi: 10.13700/j.bh.1001-5965.2022.0056
摘要:

通过合理设计对比模型,提出一种新型树脂基复合材料引射因子测试方法,针对新型树脂基复合材料开展电弧风洞试验,获得树脂基材料有热解气体引射和无热解气体引射时壁面热流密度,研究树脂基材料在特定热环境条件下的引射效应,获取能够评价新型树脂基材料引射效应的引射因子。结果表明:试验状态下,石英酚醛复合材料炭化速度大于石英杂化酚醛复合材料;石英酚醛复合材料引射因子约为0.825,在实际设计中此类材料需要考虑引射效应对表面热流的影响;石英杂化酚醛复合材料引射因子约为1,热解气体引射产生的热阻塞效应基本可以忽略。

自动铺丝压实力导纳控制器设计与参数优化方法
衣明辉, 张家瑞, 张武翔, 陈维强, 丁希仑
2023, 49(11): 2968-2976. doi: 10.13700/j.bh.1001-5965.2021.0774
摘要:

铺放压实力是连续纤维复合材料结构自动铺放成型的关键工艺参数之一。由于多数铺丝设备刚性高且位控精度不足,往往容易导致压实力波动较大,严重影响成型质量。因此,面向纤维预浸料自动铺放成型过程中压实力的柔顺控制要求,构建铺丝设备压实机构与成型模具间的二阶等效模型,设计一种基于导纳控制原理的铺放压实力控制器,采用烟花群体智能算法对控制器的惯性参数、阻尼参数及刚度参数进行优化求解,并通过建模仿真与铺放试验验证铺放压实力导纳控制器的有效性。

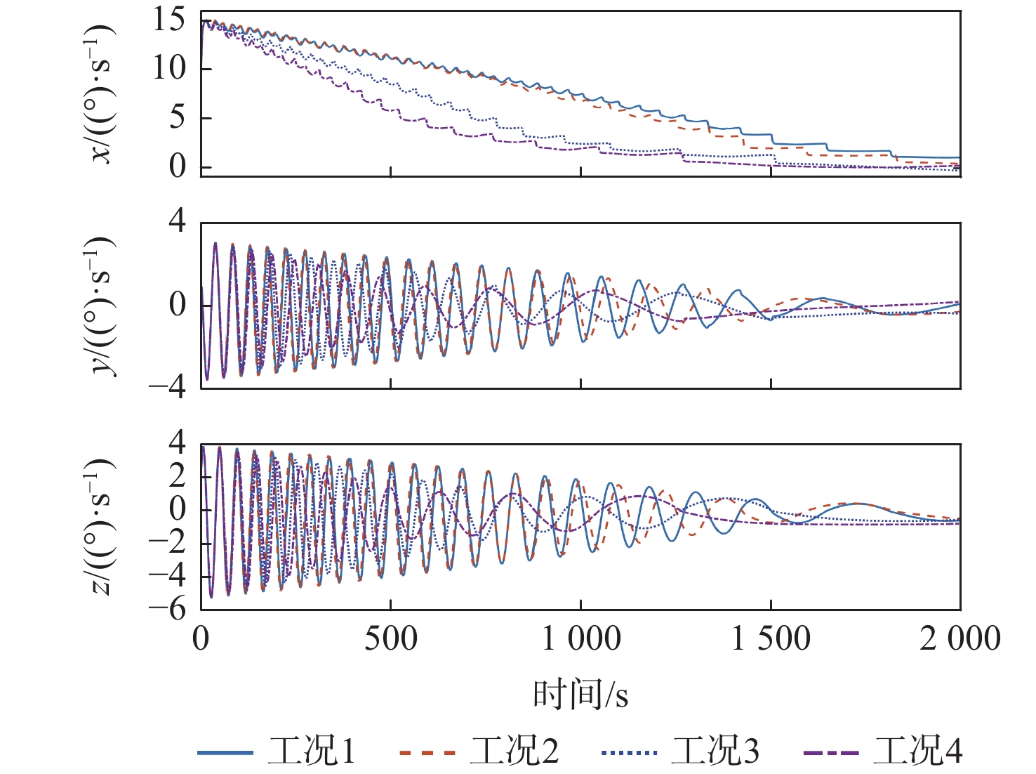
章动目标接触消旋的特征模型控制
李超, 何英姿, 胡勇
2023, 49(11): 2977-2988. doi: 10.13700/j.bh.1001-5965.2021.0798
摘要:

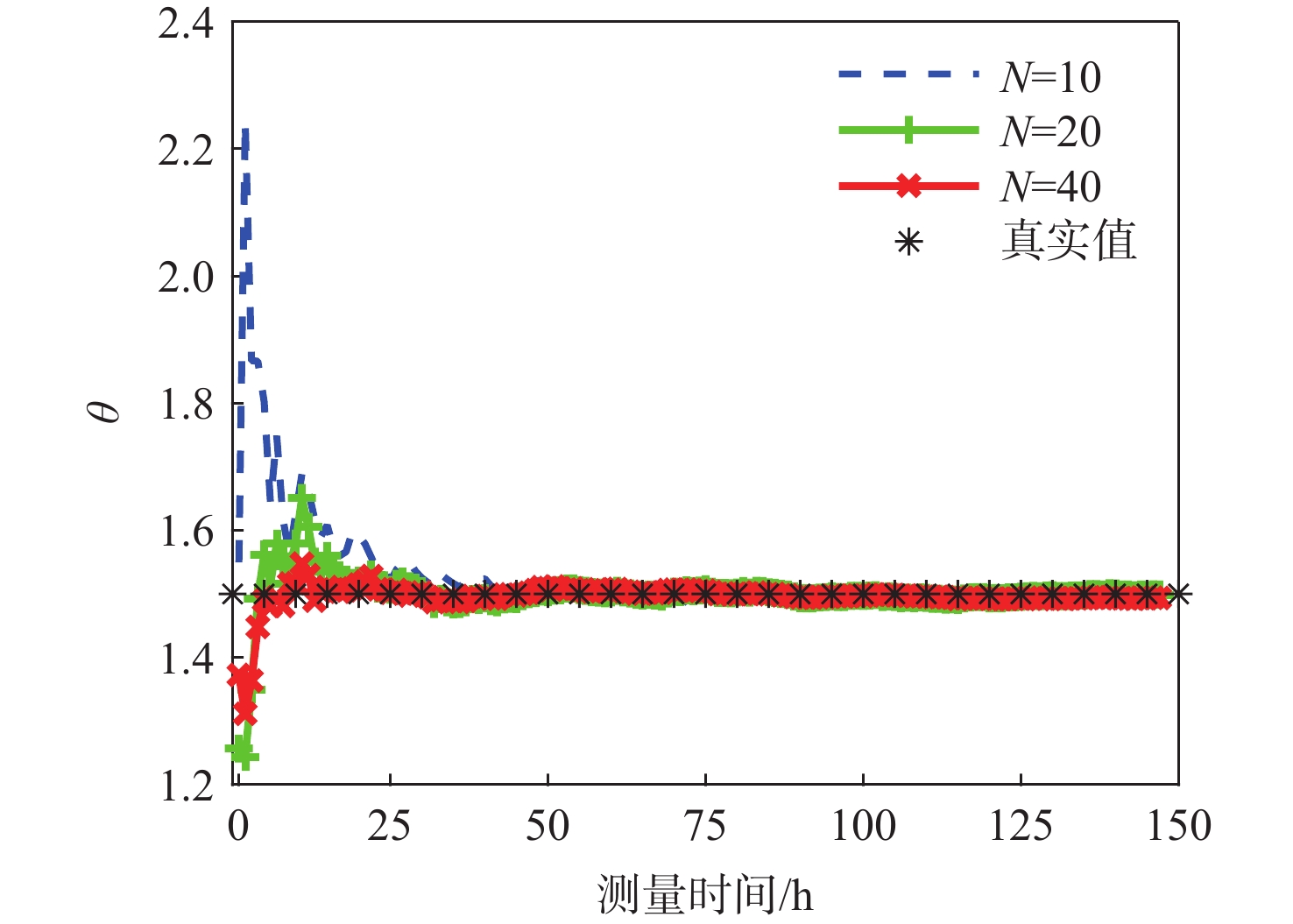
针对含有模型不确定性的章动非合作目标接触消旋问题,提出一种基于特征模型的双通道自适应控制方法。利用接触碰撞时的几何关系和线弹性接触力模型建立消旋系统动力学模型;分析目标自由运动特性,设计分离式消旋策略;构建描述章动目标消旋系统三轴角速度特性的特征模型,计算特征参数表达式;设计基于特征模型的双通道自适应控制器。仿真实验结果表明:所提方法通过在线估计特征参数,有效克服了消旋系统不确定性因素的影响,消旋后剩余角速度小且消旋速度快。

基于可变遗忘因子的渐消记忆变分贝叶斯自适应滤波算法
靳凯迪, 柴洪洲, 宿楚涵, 惠俊, 白腾飞
2023, 49(11): 2989-2999. doi: 10.13700/j.bh.1001-5965.2021.0799
摘要:

针对全球卫星导航系统/捷联惯性导航系统(GNSS/SINS)组合导航中GNSS信号易受干扰,造成量测噪声突变的问题,提出一种基于可变遗忘因子的渐消记忆变分贝叶斯自适应Kalman滤波(VBAKF)算法。针对自适应滤波中突变噪声难以准确探测,构建基于初值的噪声突变检验准则;为解决自适应滤波估计突变噪声的拖尾现象,将变分贝叶斯自适应滤波的超参数传递结构转化为协方差阵修正结构,通过构造可变遗忘因子函数动态调节自适应滤波中的遗忘因子。仿真和实测数据表明:所提算法可在GNSS/SINS噪声突变时快速估计量测噪声,提高组合导航精度。

宽频带高平坦度传导电磁敏感性注入探头研究
付长顺, 阎照文, 苏东林
2023, 49(11): 3000-3009. doi: 10.13700/j.bh.1001-5965.2022.0015
摘要:

集成电路和电子设备的小体积、高密度和高时钟频率的发展趋势,导致严重的电磁兼容问题,特别是电磁敏感性问题。集成电路和电子设备的电磁敏感性水平对其优化设计至关重要,而宽带脉冲注入探头广泛用于集成电路和电子设备的传导电磁敏感性测试。根据集成电路和电子设备的传导电磁敏感性测试需求,通过分析宽带脉冲注入探头的工作原理、影响工作带宽及平坦度的因素,进行宽频带高平坦度的宽带脉冲注入探头的方案设计,通过多线并绕、磁芯与外壳匹配设计、高频段阻抗匹配等方法,研制出宽频带高平坦度的宽带脉冲注入探头。测试结果和实际应用结果表明:所研制的宽带脉冲注入探头实现了工作频率覆盖9 kHz~1 GHz、平坦度小于5 dB的性能指标,可以满足开展传导电磁敏感性测试的需求。

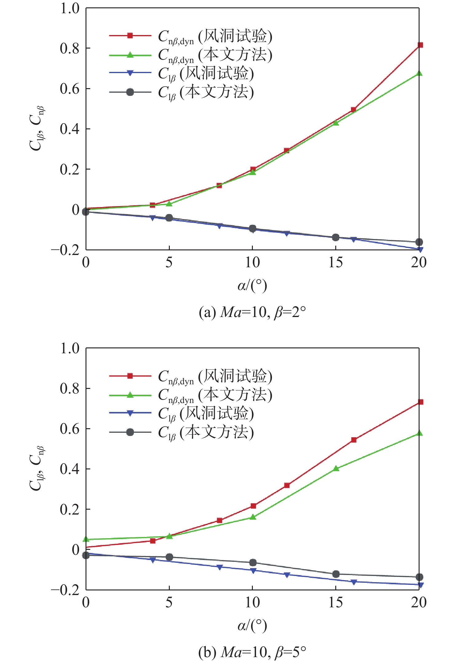
动量增升高升阻比飞行器横航向稳定性研究
刘深深, 罗磊, 韩青华, 唐伟, 桂业伟, 贾洪印
2023, 49(11): 3010-3021. doi: 10.13700/j.bh.1001-5965.2022.0035
摘要:

考虑高超声速飞行器装填、防热及操稳等多约束条件下的实用化设计需求,提出一种新型下反式高升阻比滑翔飞行器气动布局。借鉴乘波体飞行器的高升力设计方法及动量增升原理,该新型飞行器采用下反式后掠翼构型,上表面为光滑倒圆“Λ”形设计,下表面为内凹的装填空间,为尽可能避免长时间超远距离高超声速飞行带来的防热负担,采用后缘体襟翼及体侧扩张方向舵面设计。采用数值计算方法对所提布局思路进行验证分析,计算结果表明:在飞行高度为40 km,Ma=10的条件下升阻比可以达到4.48左右,在一定迎角范围内均具备很高的气动效率,验证了所提布局的有效性。同时重点针对所提布局共性的横航向稳定性问题基于数值模拟方法探讨了3种不同优化改进方案的效果及可行性,并采用风洞试验对两侧翼梢V尾的控制方案进行横航向稳定性控制效果的试验验证,结果表明:采用两侧翼梢V尾的控制方案是实现横航向稳定性控制的较优方案。

直升机人机协同控制方法研究与飞行验证
金子博, 李道春, 孙毅, 张凯, 向锦武
2023, 49(11): 3022-3030. doi: 10.13700/j.bh.1001-5965.2022.0038
摘要:

人机协同系统可以充分发挥人类智慧的优越性和机器人作业的高精度与高效率,被广泛应用于决策指挥、工业控制和医疗手术等领域。飞行员驾驶飞行器时需要实时处理大量信息并给出精准操控,操纵负担大。基于典型单旋翼直升机的操控特点,设计一种直升机协同驾驶机器人系统,驾驶机器人连接直升机周期变距杆控制直升机的俯仰运动和滚转运动,飞行员通过总距杆和脚蹬控制直升机的航向运动和升降运动。协同驾驶机器人可以在不改装原有直升机的基础上实现一种新型的人机协同飞行控制,快速提升现有直升机的自动化水平和飞行员在应急情况下的生存能力。研究驾驶机器人控制系统模型,建立适用于直升机人机协同控制的飞行模拟平台,通过飞行员在环飞行仿真初步验证了人机协同控制方法的可行性。在飞行仿真验证的基础上研制了驾驶机器人样机,并将样机搭载在SVH-4直升机上完成飞行实验验证。

考虑温度影响的干摩擦接触分子动力学研究
许洪斌, 樊江, 倪铭, 李星星, 荆甫雷
2023, 49(11): 3031-3038. doi: 10.13700/j.bh.1001-5965.2022.0045
摘要:

基于多尺度方法对干摩擦行为进行预测已成为当前研究热点。对于航空发动机等高温机械系统,温度对干摩擦行为影响至关重要。针对高温影响下微动界面摩擦行为开展分子动力学建模与分析,研究不同温度下微凸体的切向碰撞过程;考虑温度的升高使摩擦界面微凸体黏着作用增强,提出不同于赫兹接触理论预测的真实面积计算方法;基于所建的分子动力学模型和G-W接触模型,研究不同温度下接触面的摩擦系数,与实验测量的摩擦系数结果吻合,验证所提方法的正确性。对于在高温环境下接触、摩擦及微动等界面力学问题的研究提供了可借鉴的方法,同时为高温旋转机械动力学多尺度方法提供了可参考的解决手段。

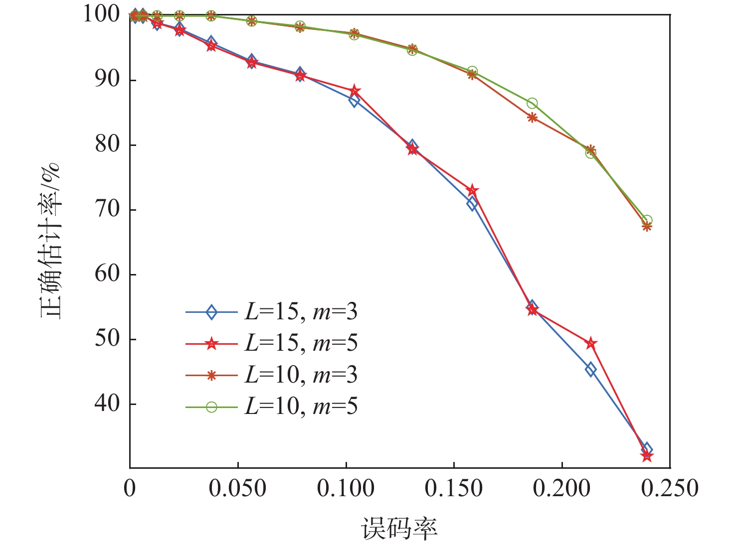
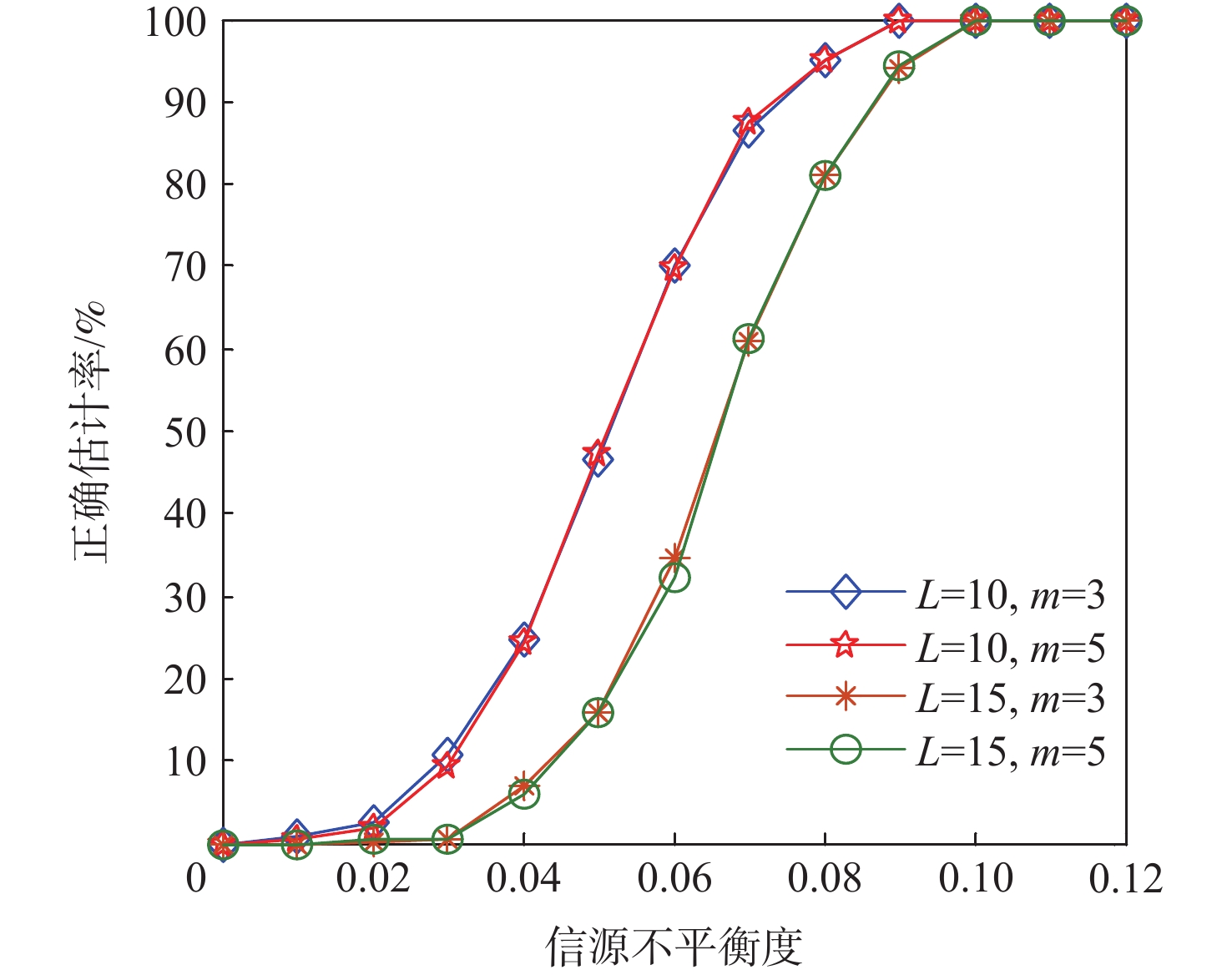
基于分段求解含错方程的扰码初态估计
谭继远, 张立民, 钟兆根
2023, 49(11): 3039-3046. doi: 10.13700/j.bh.1001-5965.2022.0046
摘要:

针对低信噪比下扰码初态正确估计率低的问题,提出一种基于求解含错方程的扰码初态估计算法。根据初态递推关系,利用接收的软判决序列建立含错方程,将初态估计问题转化为含错方程组的求解;采用平均校验符合度来衡量含错方程组成立的可能性大小,通过遍历初态集合完成初态估计;通过分段寻优求解的方法来确定校验方程,该方法极大降低了高阶数下需要遍历的初态数。实验结果表明:所提算法在信噪比为0 dB的情况下,扰码初态正确估计率能达90%以上,相比于传统的卷积码快速相关攻击算法约有1~2 dB的性能提升。

分布式电推进飞机概念方案气动特性快速评估方法
成志勇, 杨佑绪, 张兴翠, 余灵富, 叶博
2023, 49(11): 3047-3058. doi: 10.13700/j.bh.1001-5965.2021.0771
摘要:

分布式电推进(DEP)飞机充分利用气动/推进耦合效应提高飞机的气动效率,但动力数量增加导致螺旋桨滑流与翼面流场干扰强烈,气动分析和设计的复杂度及计算成本上升。为提高DEP飞机早期设计阶段气动设计效率,降低研制成本,采用线性无黏的涡格法-激励盘理论(VLM-ADT)、涡格法-非定常涡格法(VLM-UVLM)及加入黏性修正的VLM(Modified-VLM)提出气动特性快速评估方法。对单机翼、单螺旋桨/机翼耦合、X-57机翼(巡航、高升力状态)及分布式螺旋桨/机翼耦合构型的气动特性进行快速评估。与基于雷诺平均Navier-Stokes(RANS)方程求解器的结果对比,单机翼和单螺旋桨/机翼升力系数和阻力系数一致性良好,误差最大不超过8.2%;俯仰力矩系数在同一数量级。X-57机翼和分布式螺旋桨/机翼的升力系数与RANS方程结果吻合度较高,误差最大不超过10%。考虑黏性修正的VLM所计算的X-57机翼和分布式螺旋桨/机翼的总阻力系数与RANS方程结果趋势一致。分布式螺旋桨滑流增加机翼的动压,使机翼局部有效迎角发生改变,改变了机翼当地升阻特性。所提方法为分布式螺旋桨飞机在早期设计阶段气动特性快速评估和气动布局方案快速选型提供了一种兼顾计算精度和效率的有效方法。

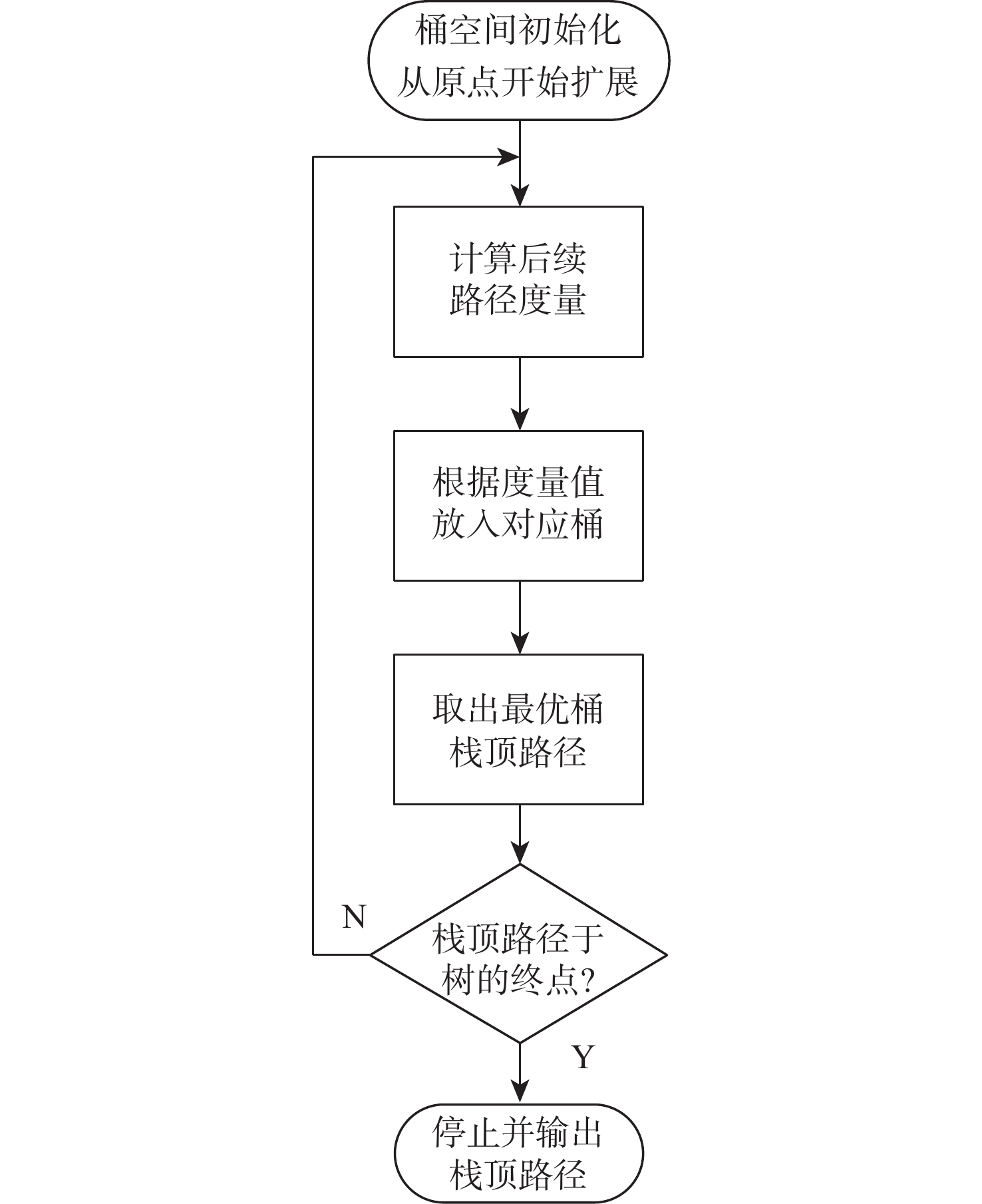
基于动态寻优调节的卷积码堆栈-桶算法
邹文良, 蒋宇中, 黄智, 牛政, 刘刚
2023, 49(11): 3059-3065. doi: 10.13700/j.bh.1001-5965.2021.0772
摘要:

大约束长度卷积码具有抗干扰性强,难以破译等优点,被应用于卫星通信等领域。但低信噪比环境下,存在空间利用率低和译码复杂度高的缺点。针对此问题,提出一种基于动态寻优调节的卷积码堆栈-桶(DORSB)算法。所提算法采用新参数深度因子辅助路径存取,能够增大接近码树终点的路径优势,降低译码复杂度;并在堆栈溢出时,对桶的尺寸进行调节,对桶空间进行复用的同时降低误帧率,可有效提升空间利用率。仿真结果表明:在深度因子增量适当且误帧率为10−5的情况下,相比于标准堆栈-桶算法,所提算法误帧性能提高了约0.6 dB,并且时间复杂度最多能改善72.63%。

天线罩误差对制导回路稳定性影响分析
肖瑶, 陈旭, 杨凌宇, 张晶
2023, 49(11): 3066-3074. doi: 10.13700/j.bh.1001-5965.2021.0780
摘要:

针对雷达寻的导弹天线罩寄生回路影响制导控制系统稳定性的问题,建立考虑天线罩误差的三维非线性制导回路模型,提出一种基于状态方程形式的天线罩误差斜率对制导回路稳定性的影响分析方法。推导获得了天线罩误差斜率对制导回路系统矩阵影响的定量形式,并基于线性时不变系统的稳定性判据,计算给出天线罩误差斜率影响下的导弹制导回路稳定条件。计算分析和仿真结果表明:寄生回路正反馈时会引起导弹姿态的振荡发散问题,严重影响制导回路稳定性。

考虑随机效应的多源信息融合剩余寿命预测
王凤飞, 唐圣金, 孙晓艳, 祁帅, 于传强, 司小胜
2023, 49(11): 3075-3085. doi: 10.13700/j.bh.1001-5965.2021.0782
摘要:

为了合理利用同类设备的先验信息,提高参数估计和剩余使用寿命(RUL)预测精度,提出一种基于多源信息融合并考虑随机效应的RUL预测方法。利用考虑随机效应的线性Wiener过程对设备的退化过程进行建模;利用期望最大化(EM)算法,融合先验退化信息和先验失效寿命数据信息,计算模型中的未知参数;根据Wiener过程参数估计的性质,提出一种基于多源信息融合并考虑随机效应的非线性Wiener过程参数估计方法;利用激光器数据和疲劳裂纹数据进行实验验证。实验结果表明:与基于历史退化数据或失效寿命数据的方法相比,所提方法能有效提高参数估计和RUL预测的精度。

基于CEA-GA的多无人机三维协同曲线航迹规划方法
文超, 董文瀚, 解武杰, 蔡鸣
2023, 49(11): 3086-3099. doi: 10.13700/j.bh.1001-5965.2021.0787
摘要:

针对多无人机协同航迹规划求解计算复杂度高,收敛效率差等问题,提出一种基于混沌精英适应遗传算法(CEA-GA)的多无人机三维协同曲线航迹规划方法。利用层级规划思想,建立基于单机规划层-航迹平滑层-多机协同规划层的多无人机三维协同曲线航迹层级规划模型,将复杂约束规划问题分解为子函数优化求解问题,减小计算量;考虑到遗传算法(GA)求解高维复杂约束优化问题存在的性能局限,采用Tent混沌映射均匀初始化种群,以扩大个体搜索空间,丰富种群多样性,在此基础上,通过引入自适应遗传算子平衡算法的全局搜索与局部开发能力,帮助个体跳出局部最优,并采用适应度动态更新策略进一步提高算法的局部探索能力和收敛速度。将精英保留策略引入GA以更好地保证改进算法的全局收敛性。将CEA-GA应用于模型求解,仿真实验结果表明:CEA-GA具有较强的鲁棒性、较好的寻优性能和收敛效率,且能够为集群规划满足约束条件的协同曲线航迹,从而验证了所提方法的有效性和CEA-GA的优越性。

复合式无人直升机姿态自抗扰控制
邓柏海, 徐锦法
2023, 49(11): 3100-3107. doi: 10.13700/j.bh.1001-5965.2021.0788
摘要:

复合式无人直升机涉及多个冗余操纵输入,输入策略不同飞行器输出响应也就不同,该系统则是一个非线性强耦合的被控对象。因系统内部高阶动力学难以建模、外部扰动不明确,给飞行控制系统设计验证带来极大困难。为使复合式无人直升机在整个飞行包线内稳定飞行,姿态控制律设计至关重要。在建立复合式无人直升机运动特性数学模型基础上,设计不同飞行模式操纵策略,构建被控对象Simulink仿真模型。运用自抗扰控制(ADRC)技术设计姿态ADRC器,再以对比方法验证姿态ADRC的控制效果好于姿态比例积分微分PID控制器。仿真结果表明:姿态ADRC的抗干扰性和鲁棒性能满足复合式无人直升机姿态控制要求,确保无人直升机在不同飞行模式下快速稳定飞行。

基于两级滑模控制的多移动机器人映射领航编队控制策略
王晨阳, 杨丽曼, 李运华
2023, 49(11): 3108-3114. doi: 10.13700/j.bh.1001-5965.2021.0792
摘要:

针对低通信负载下的多移动机器人编队控制进行研究。通过坐标变换和引入侧滑增量定义了非完整约束轮式移动机器人的运动学模型,显式满足纯滚动条件。提出领航编队控制策略,通过领航者对跟随者的单向通信和映射领航者规划,将系统编队问题转换为新模型下的分布式一致性控制问题。针对跟随者的转速与线速度设计了2级指数趋近滑模控制器,实现相对于领航者轨迹误差的快速收敛,并通过Lyapunov理论对控制器进行稳定性分析。数值仿真表明:所提策略可以满足多移动机器人队形保持和队形变换的任务要求,验证了理论分析的正确性和有效性。

固体发动机实际成型药柱燃面退移快速算法
刘舜, 卢洪义, 张维维, 章斌, 杨禹成, 桑豆豆
2023, 49(11): 3115-3123. doi: 10.13700/j.bh.1001-5965.2021.0795
摘要:

针对固体发动机电子计算机断层扫描(CT)图像数据具有伪影噪声的问题,和实际成型药柱燃面粗糙度大、退移计算难度大的问题,提出一种CT数据的快速最小距离函数(CT-FMDF)法。固体火箭发动机CT图像中存在伪影噪声,采用非均值滤波(NLM)算法对CT图像进行去噪处理,采用Scharr算子对去伪影后的图像进行Canny边缘检测,提取装药燃面。最大类间方差(OTSU)算法将装药分离,并建立三维装药体数据模型,对燃面数据建立多个并行K-d树,快速检索出装药到燃面的最小距离。实验结果证明:对于不同的装药结构,可以完成任意燃去厚度时的燃面位置,且CT-FMDF法运行时间更短。基于CT实测数据,对于带有初始燃面缺陷的装药,可计算出燃烧时缺陷对燃面的影响。

基于D-OPTICS算法的网约车载客热点区域挖掘
王璐瑶, 邬岚, 杨晟, 朱兴贝
2023, 49(11): 3124-3131. doi: 10.13700/j.bh.1001-5965.2022.0008
摘要:

为准确分析网约车载客高需求热点区域,考虑载客热点聚类中车辆行驶距离的约束,采用结合Dijkstra寻路算法的OPTICS算法,提出寻路密度OPTICS(D-OPTICS)算法。D-OPTICS算法利用车辆轨迹数据进行空间聚类研究分析载客热点区域。通过道路网络拓扑结构提取各路段节点,采用Dijkstra算法进行寻路并以路段为单位提取邻域范围内载客点进行聚类。将成都市网约车轨迹数据进行热点区域的挖掘和分析。与传统OPTICS算法相比,所提算法考虑了道路距离的约束,提高了载客热点聚类稳定性和精度,获取的载客热点区域更贴合实际情况。

变转速负载敏感进出口独立控制系统特性研究
李泽龙, 岳路宏, 杨敬
2023, 49(11): 3132-3144. doi: 10.13700/j.bh.1001-5965.2022.0011
摘要:

针对泵控位置系统效率高但控制精度不足、阀控位置系统响应快但能耗损失较大的问题,提出了基于模式切换下变转速负载敏感进出口独立的控制系统,设计了针对工程机械中能耗损失大的阻滞型负载工况的控制策略。根据所提控制系统原理,建立变转速负载敏感进出口独立控制系统的数学模型;分别搭建基于加载油缸的变转速负载敏感泵控系统和空载油缸的进出口独立阀控系统的试验平台与AMESim-MATLAB仿真模型并进行分析研究;将所建系统模型中添加正弦和随机信号来模拟变化的负载,分析系统在应对变化的外负载时,位置与压力的控制效果。将所建系统与恒流阀控系统、传统负载敏感阀控系统、传统泵控系统三者进行比较分析,结果表明:所设计变转速负载敏感压力控制器对系统压力的控制效果良好;以伺服电机驱动双作用叶片泵作为动力源的负载敏感进出口独立控制系统的位置控制性能和节能效果高于传统泵控和阀控系统,比传统泵控系统节能10.12%。

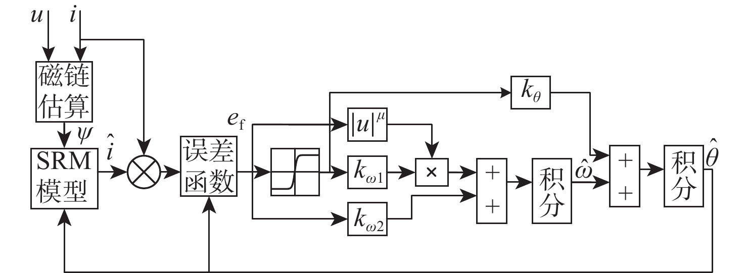
基于改进终端SMC和SMO的SRM瞬时转矩控制
凌辉, 杜钦君, 庞浩, 杨姝欣, 赵正阳, 李存贺
2023, 49(11): 3145-3155. doi: 10.13700/j.bh.1001-5965.2022.0021
摘要:

针对开关磁阻电机(SRM)常规终端滑模控制器(SMC)响应速度慢和传统滑模观测器(SMO)存在的抖振问题,提出一种基于改进终端SMC和变速趋近律SMO的SRM瞬时转矩控制(DITC)方法。设计了电机速度误差可快速收敛的改进非奇异快速终端滑模面和可自适应调整趋近律速度的变速幂次趋近律,利用等效控制法,得出了连续非奇异控制律。通过Lyapunov函数证明了该系统的稳定性和有限时间收敛性。设计了变速趋近律SMO以实现SRM无位置传感器控制。采用双曲正切函数作为切换函数,并引入快速幂次趋近律作为SMO速度观测的趋近律,克服了传统SMO固定开关增益带来的抖振和收敛速度问题。通过Lyapunov函数证明了SMO运行的稳定性。仿真和实验验证了所提方法的有效性。结果表明:与常规终端SMC相比,改进终端SMC能够在0.07 s内实现对期望转速的跟踪,调节时间减少了0.04 s,并且系统稳定时转速波动降低了0.5 r/min,具有更好的响应速度和稳定性。在负载突增时,系统转速可在0.02 s内调节至给定值,恢复时间减少了0.05 s,具有更好的调节性能。变速趋近律SMO能够在0.01 s内实现转速估计误差的收敛,且误差波动维持在2 r/min以内,可实现电机转速和转子位置的准确估计。

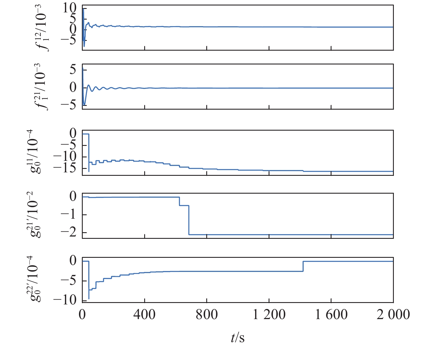
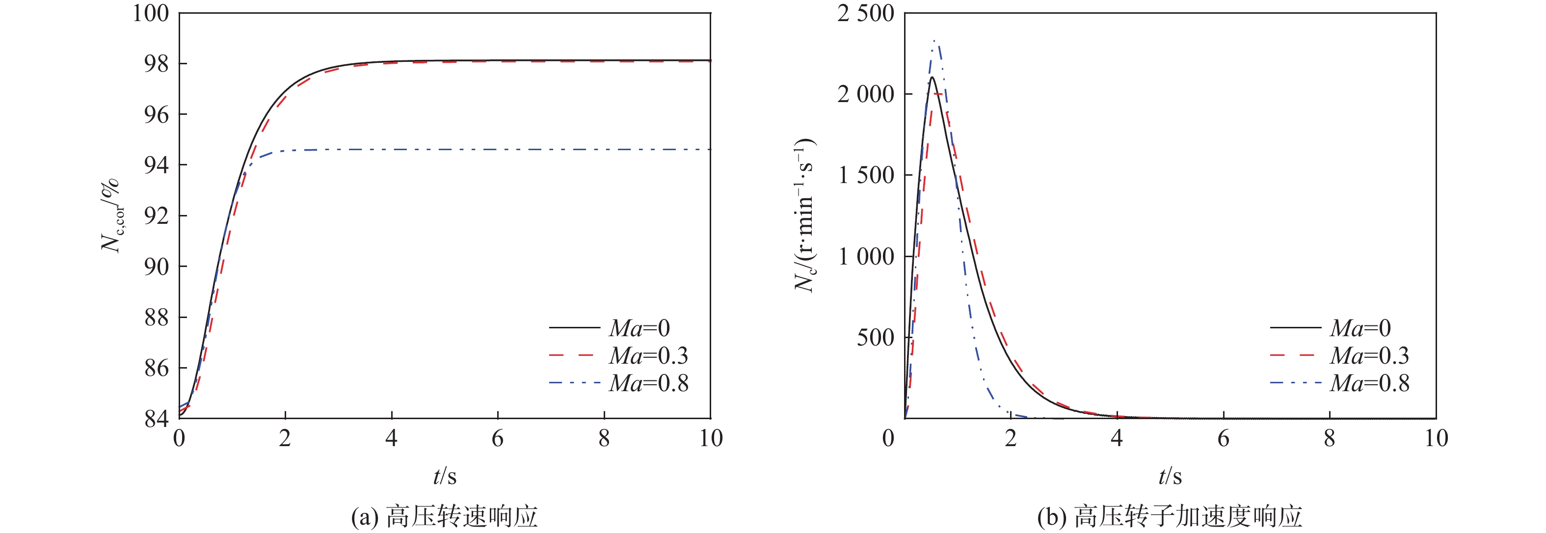
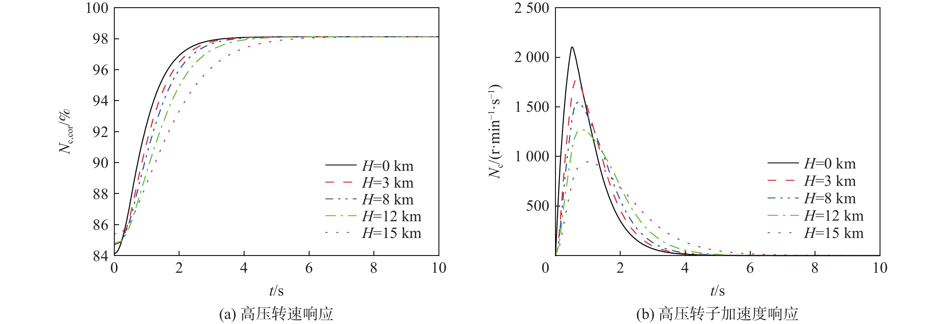
基于主动切换逻辑的涡扇发动机N-dot控制方法
李宇琛, 李秋红, 张新晟, 庞淑伟, 张永亮
2023, 49(11): 3156-3166. doi: 10.13700/j.bh.1001-5965.2022.0022
摘要:

为提升涡扇发动机的加速性能,对传统的转子加速度N-dot控制结构进行了改进,提出了一种基于跟踪误差的主动切换控制策略,在跟踪误差较大时,执行N-dot控制回路,否则执行稳态控制回路。同时提出了基于等高度线的N-dot控制计划制定方法,采用差分进化算法对加速过程进行优化,最大限度地减小与最大转速之间的误差。以优化出的不同高度下最大高压转子加速度作为N-dot控制计划,并采用紧格式动态线性化无模型自适应控制(CFDL-MFAC)算法设计N-dot控制器。与常规Min-Max选择结构下的PID控制N-dot相比,主动切换MFAC的N-dot控制在某中等推力军用涡扇发动机设计点上加速时间减小了0.7 s,在非设计点上加速减少了约1.2 s。

基于渐进式注意力和分块遮挡的跨域行人重识别
李云龙, 程德强, 李佳函, 黄绩, 张剑英, 马浩辉
2023, 49(11): 3167-3176. doi: 10.13700/j.bh.1001-5965.2022.0025
摘要:

针对跨域行人重识别中遮挡造成特征匹配缺失及细粒度辨识性特征被忽略的问题,提出了基于渐进式注意力和分块遮挡的跨域行人重识别方法。该方法通过学习行人未遮挡区域的多粒度辨别性特征,实现空间不对齐下的特征匹配。渐进式注意力模块将特征逐步分割为多个局部块,依次学习每块的辨别性特征,由粗到细地感知前景信息,从而解决目前网络不能提取多层次辨识性特征的问题,增强了特征的匹配能力;渐进式分块遮挡模块很好地适应模型逐步变强的学习能力特性,通过由易到难地生成遮挡数据,有效提取了未遮挡区域的辨识性特征,进而解决模型错误识别遮挡样本的问题,使得所提模型在遮挡情况下的鲁棒性得到有效提高。实验结果表明:所提方法在首位命中率和平均精确度2个指标上与当前主流方法相比具有显著的优越性;与2020年CVPR会议中QAConv行人重识别方法相比,在DukeMTMC-reID数据集(MSMT17→DukeMTMC-reID)上的2个指标分别高出2.3%和6.2%,能够更加有效地实现跨域行人重识别,在Occluded-Duke数据集(DukeMTMC-reID→Occluded-Duke)上的2个指标分别达到49.5%和39.0%,在遮挡数据集上有着很好的识别效果。

劈尖冲蚀变形对射流管伺服阀工作特性的影响
孟令康, 朱玉川, 丁建军, 程文豪
2023, 49(11): 3177-3187. doi: 10.13700/j.bh.1001-5965.2022.0041
摘要:

为研究射流管伺服阀前置级劈尖的冲蚀变形对伺服阀工作性能的影响,采用Fluent仿真软件,对射流管伺服阀的前置级进行冲蚀仿真,并将仿真结果与冲蚀实物进行对比分析,发现劈尖是前置级冲蚀最为严重的部位;根据劈尖冲蚀前后的前置级结构形状,构建前置级的数学模型,分析了劈尖冲蚀变形对前置级压力的影响。利用AMESim仿真软件,搭建射流管伺服阀的整阀仿真模型,研究了劈尖冲蚀变形对整阀工作性能的影响;通过实验验证了AMESim仿真结果的正确性。研究结果表明,劈尖冲蚀变形后,射流管伺服阀前置级的恢复压力和负载压差减小,导致整阀的阶跃上升时间延长,幅频带宽减小,但整阀的空载流量特性和压力特性几乎不受影响。

高超声速滑翔飞行器预测校正闭环协同末制导方法
郑金库, 唐胜景, 郭杰
2023, 49(11): 3188-3196. doi: 10.13700/j.bh.1001-5965.2022.0043
摘要:

针对能量持续衰减的高超声速滑翔飞行器末制导段时间协同问题,提出一种预测飞行时间并校正飞行剖面的协同制导方法。设计了一种带有负比例导引系数的参数化飞行剖面,在辨识气动参数后快速预测剩余飞行时间;通过数值算法修正飞行剖面参数,并输出制导指令,满足单飞行器时间约束制导要求;设计闭环协同策略,在分析飞行器时间调整能力后,各飞行器协调期望飞行时间,再自主规划飞行剖面以同时攻击目标。仿真结果表明:预测校正闭环协同制导方法可以满足时间协同末制导任务需求,落点误差小于5 m,相对时间误差小于1 s。

气压及加热功率对锂离子电池热安全的影响机制
何俊贤, 谢松, 陈现涛
2023, 49(11): 3197-3206. doi: 10.13700/j.bh.1001-5965.2022.1017
摘要:

随着锂离子电池的普及应用,其在航空低气压环境下的热安全问题受到广泛关注。对此,在20~95 kPa的气压环境下,以30~100 W的加热功率诱导电池热失控,通过电池热失控现象、温度及时间的分析,研究航空低气压环境下加热功率对锂离子电池热安全行为的影响机制。研究表明:气压的降低导致电池安全阀打开时间提前,但由于低气压环境下对流换热系数和特征达姆科勒数的减小,电池从安全阀开启到热失控的过渡时间延长;而加热功率的提高显著缩短了电池的热失控时间,加剧了电池热失控燃爆,同时也缩短了电池的加热时间,导致外部热源传递给电池的热量减少,热失控过程中电池表面峰值温度降低;在二者的综合作用下,电池的热失控时间总体呈现出随功率增加而减小的趋势,但气压的作用导致其变化规律呈现出明显差异。为实现气压及加热功率综合影响下电池热失控时间的预测,通过多项式拟合,构建电池热失控时间预测模型,预测精度控制在(3±2) s。

常见问答