2. 中国科学院大学, 北京 100049
2. University of Chinese Academy of Sciences, Beijing 100049, China
FC-AE-1553协议是光纤通道(Fiber Channel,FC)[1]标准中的一种,是一种命令/响应式的协议,具有传输速率高、时延小等优点,同时由于其可通过桥接方式实现对现有航空航天领域常用的MIL-STD-1553B总线协议的平滑过渡,在航天航空等高可靠应用中得到了越来越多的推广和应用[2, 3, 4, 5, 6].FC-AE-1553网络支持的传输速率包括1Gb/s、2Gb/s、4Gb/s及8Gb/s等多种类型,相比MIL-STD-1553B总线的1Mb/s传输速率,提高了3个数量级以上,支持的网络节点数量从32个增加到2的24次方.同时,FC-AE-1553网络具备更好的实时性,在空间有效载荷尤其是光学遥感类载荷的数据传输和运行控制方面,可同时满足高速率和强实时的要求.文献[7, 8]对光纤在高速图像数据传输中的应用进行了研究,并且实现了速率达到Gb/s量级的光纤传输系统,光纤协议在此类对传输速率和电缆网布局布线、重量等方面有严格要求的应用中具有明显优势.
目前,国内外对于FC-AE-1553的研究内容主要集中在对网络拓扑方式的仿真、桥接器的设计实现和基于无源光网络(Passive Optical Network,PON)的协议设计3部分.文献[3, 9]用MIL-STD-1553B总线做对比的方式,从传输速率、终端数、实时性等方面介绍了FC-AE-1553的重要特性,指出了FC-AE-1553广阔的应用前景.文献[10, 11, 12, 13]分析了不同拓扑和不同服务下的网络时延,给出了保证实时性的条件,指出FC-AE-1553或FC网络具有较好的实时性能,但是缺少对具体计算方法的分析,针对工程应用仍需深入.文献[14, 15]从信息格式转换和消息映射关系方面介绍了MIL-STD-1553B桥接器的工作原理和设计方法,验证了FC-AE-1553网络对传统MIL-STD-1553B网络的良好兼容性.文献[16, 17]介绍了基于PON的FC-AE-1553协议的工作原理和实现方法,是近期研究的一个热点.但是,至今未见有针对FC-AE-1553网络传输效率的建模和仿真分析相关研究的文献.然而,传输效率是网络最重要的指标之一,随着FC-AE-1553的研究逐渐从理论研究走向工程应用,传输效率的高低直接影响到通信协议在工程中的设计和应用,进一步影响到工程中科学和应用载荷的效益.
本文首先对基于FC-AE-1553协议的网络消息传输过程进行详细分析,给出了传输帧的格式设计建议,通过分析网络中的各类消息传输时间参数,提出网络交换中通用的时间计算公式.然后,针对无差错传输和有差错传输两种情况,提出通用的网络传输效率计算方法,并进行仿真分析,给出了提高协议传输效率的优化设计建议.最后,以某航天工程任务为背景,研制一套基于FPGA(Field-Programmable Gate Array)和PowerPC的FC-AE-1553节点卡,完成了测试系统的搭建和系统传输性能的实验室验证.
1 FC-AE-1553消息传输过程分析 1.1 FC-AE-1553消息传输定义及格式
FC-AE-1553协议的主要拓扑方式有点对点、仲裁环和交换式3种,网络的主要设备包括网络控制器(Net Controller,NC)、网络终端节点(Net Terminal,NT)和FC交换机等.
FC-AE-1553的消息传输主要包括NC和NT间的消息、NT和NT间的消息两种,每次传输可以包含一次或多次交换(exchange),每次交换可以包含一个或多个序列(sequence)[2],每个序列中可以由一个或多个传输帧(frame)组成[18],根据FC协议要求,传输帧格式中最多可以允许2112B的数据传输,但是由于2112B不是2的整数幂,考虑到减少工程中的算法实现难度,本文建议数据区最大不超过2048B.为此,针对3种类型的传输帧:命令帧、状态帧和数据帧,给出具体的格式如图 1所示.从图 1中可以看出,虽然与FC标准协议相比,只是重新规定了传输帧格式,但是工程的可实现性大大加强.
|  | 
| SOF—帧头(Start of Frame);FC Header—FC头;Data_Field—数据区;CRC—帧校验区;EOF—帧尾(End of Frame). 图 1 FC-AE-1553 3类帧格式(单位:B) Fig. 1 Three kinds of FC-AE-1553 frames (Unit:B) | 
目前已有的研究主要针对FC-AE-1553协议本身进行分析和仿真,而对于传输过程中的距离、处理时间等参数一般认为理想的无穷小或者设定一个固定的参考值.但是,实际工程应用中,消息传输会受到路径长度、节点处理时间、帧格式、误码率等因素的影响,不可避免地存在延时,因此在实际使用中必须详细分析消息的传输时间.图 2为FC-AE-1553消息传输的过程示意图,每个网络节点的数据都分为交换、序列和帧,存在着节点处理延时和消息间隔延时.同时,网络各节点之间存在着传输路径延时和传输过程中经过的处理设备的处理延时.
|  | 
| 图 2 FC-AE-1553消息传输过程示意图 Fig. 2 Schematic diagram of message transmission process of FC-AE-1553 | 
根据对图 2中消息传输过程的分析,可以得到消息传输的时间主要由表 1中的各部分组成.
| 参数 | 含义 | 
| TCF | 命令帧的传输时间 | 
| TDF | 数据帧的传输时间 | 
| TSF | 状态帧的传输时间 | 
| TDS | 数据序列的传输时间,包含多个数据帧 | 
| Tpg | 各类帧间隔传输时间 | 
| Tmg | 消息间隔,指的是序列与序列之间的间隔 | 
| Trep | 消息响应时间,指的是NT终端收完命令帧或 最后 一包数据帧后,到发出状态帧之间的延迟 | 
| Tbit | 单个比特的传输时间 (对于4Gb/s的通信速率,Tbit=250ps) | 
| Nnum_DF | 数据序列中数据帧的个数 | 
| Nnum_DS | 交换中包含序列的个数 | 
一般帧格式中数据用双字表示,本文用sizeof() 函数求出帧的大小.每个双字的大小是32b,如果使用8B/10B编码,则编码后的双字大小为40b.
则可以推导出命令帧的传输时间为

数据序列和数据帧的传输时间为

为了时钟校准与对齐,两帧之间至少要传送6个原语信息,每个原语信息的长度为4B,帧间隔的传输时间为

状态帧的传输时间为

消息响应时间为

根据式(1)~式(6),可以计算出FC-AE-1553的各类消息通信时间如表 2所示.
| 消息类型 | 通信时间 | 
| NC到NT或 NT到NC交换 | T=TCF+Nnum_DS·[Nnum_DF·(TDF+ Tpg)+TSF+Trep+Tmg]+TSF+Tmg | 
| NT到NT交换 | T=2TCF+Nnum_DS·[Nnum_DF·(TDF+ Tpg)+TSF+Trep+Tmg]+2TSF+2Tmg | 
| NC到NT(广播) | T=TCF+Nnum_DS·[Nnum_DF· (TDF+Tpg)+Tmg] | 
| NT到NT(广播) | T=2TCF+Nnum_DS·[Nnum_DF· (TDF+Tpg)+Tmg] | 
| 方式命令 | T=TCF+Trep+TSF+Tmg | 
| 方式命令(广播) | T=TCF+Tmg | 
表 2中的各公式包含了FC-AE-1553网络中所有类型的通信时间,通过对这些时间进行分析计算,可以得出网络较为准确的传输效率.第2节开始以NC与NT间消息传输和NT与NT间消息传输为例推导网络的传输效率.
2 传输效率计算
传输效率是FC-AE-1553网络的重要性能指标,本文中定义为单位时间内成功传送的数据帧净荷长度与总传输数据长度的比值.下面假设网络的利用率为100%,交换之间的时间间隔可忽略,分析FC-AE-1553网络的传输效率.
2.1 无差错情况
在网络误码率为0时,以最常用的数传消息NC→NT与NT→NT为例推导总线使用效率.
数据帧净荷长度由序列中帧数和每帧中的有效数据组成,大小为Nnum_DS·Nnum_DF·TDF.可以得出,NC→NT的传输效率为


2.2 有差错情况
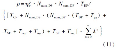
假设网络的误码率为p,在有差错发生时,FC-AE-1553协议要求对整个交换过程中的所有序列和帧进行重传,故得出网络的丢包率λ为


 ,这里假设可接受的丢包率使得λ<1,当n→∞时,可得到
 ,这里假设可接受的丢包率使得λ<1,当n→∞时,可得到 ,代入式(11)可得
,代入式(11)可得


由于传输效率计算公式中的参数种类较多,本文针对其中的关键参数使用MATLAB分别进行仿真,并通过分析得出网络优化设计的建议.
3.1 无差错传输仿真
无差错传输时,假设Tmg和Tpg都达到传输的最小值,仅传输24B.在只有一个传输序列的情况下,仿真的网络传输效率结果如图 3所示.从图 3中可以看出,数据净荷长度越大,每条消息传输的数据帧越多,网络传输效率越高;虽然1μs时的传输效率略高,但不明显;数据序列的多少对网络传输效率几乎没有影响,在一个交换中的传输数据帧数量达到16以后,其通信效率可以达到70%以上,继续增大数据帧的数量,对传输性能的提升有限.从工程实现的角度,一味地增大数据帧的数量只会对硬件设计带来较大压力,并不能对提高传输性能有较大贡献,故单次交换中的数据帧数量设计为不小于16即可.
|  | 
| 图 3 网络传输最大效率(NC→NT) Fig. 3 Maximum efficiency of network transmission (NC→NT) | 
图 4给出了无差错传输时,NT→NT消息的网络传输效率.与NC→NT的消息类似,数据帧净荷长度越大,每条消息传输的数据帧越多,总线的使用效率越高.但是,相对NC→NT的消息传输,同等条件下网络的使用效率略低.
|  | 
| 图 4 网络传输最大效率(NT→NT) Fig. 4 Maximum efficiency of network transmission (NT→NT) | 
有差错传输时,网路使用效率与不同数据帧净荷长度、节点处理时间、一个交换包含的数据序列之间的关系相同,但由于误码的存在会造成整个交换过程中序列和帧的重传,即丢包现象,误码率与数据帧净荷长度、丢包率之间的关系如图 5所示.从图中可以看出,当误码率达到10-8以下时,丢包率变化很小,在可接受范围内.当误码率达到10-6,数据帧净荷长度为2KB时,丢包率超过30%,整个交换过程重传的代价剧增,网络传输效率急剧下降.
|  | 
| 图 5 有差错时网络丢包率(NC→NT) Fig. 5 Network packet loss rate in error (NC→NT) | 
同时,网络传输效率与数据帧净荷长度、丢包率的关系如图 6所示.从图 6可以看出,丢包率在10-2以下时,对传输效率的影响很小.此时,数据帧净荷长度设置为2KB,可获得70%以上的传输效率.按照FC-AE-1553协议的要求,光纤传输的误码率一般优于10-12,故在实际工程中由于误码率引起的丢包率很小,远小于10-2,并可通过差错重传机制解决,对交换过程的影响可忽略.
|  | 
| 图 6 网络传输效率和有差错时丢包率(NC→NT) Fig. 6 Network transmission efficiency and packet loss rate in error (NC→NT) | 
综合考虑工程中数据缓存设置和工程实现的难易程度,通过公式推导、分析和仿真,本文给出一种最佳匹配设计建议,在链路误码率优于10-8情况下,交换的丢包率可接受,此时的数据帧封装中的净荷设置成2048B,单次交换的数据帧数量设置为16个,则协议的传输效率可达到75%以上,已具备工程应用的价值.
4 实验测试结果
本文在仿真分析的基础上,以某航天工程应用任务为背景,研制了基于Xilinx的XC5VFX100T和Freescale的MPC8536E芯片的FC-AE-1553节点卡,用于验证FC-AE-1553网络的传输效率,研制完成的实物如图 7所示.XC5VFX100T是目前成熟稳定的一款FPGA芯片,具有较充分的逻辑资源,可以满足FC-AE-1553协议的设计需求,主要用于实现FC-1层的数据编解码、FC-2层的组帧解帧、交换与序列管理以及超时管理等功能.MPC8536E是一款高性能低功耗的PowerPC处理器,主要用于登陆和FC-AE-1553软件协议栈的实现.在节点卡研制的基础上,本文搭建了FC-AE-1553网络的测试系统,用于评价网络的传输性能.该测试系统包含NC、NT和FC交换机3类设备,其中NC和NT使用相同的FC-AE-1553节点卡硬件,使用不同的配置软件进行功能实现.FC交换机使用博科公司的Brocade300,协议分析仪使用JDSU公司的Xgig-B480FA.各节点与交换机间的光纤传输距离为10m.
|  | 
| 图 7 FC-AE-1553节点卡实物图 Fig. 7 Picture of FC-AE-1553 node card | 
由于XC5VFX100T的BlockRAM资源比较丰富,达到1026KB,故可以在设计中使用较大的数据缓存.为了得到更高的网络传输效率,同时兼顾工程实现的便利,将各类帧中的数据长度设置为512B、1024B和2048B,将单次交换中可传输的数据帧数量分别设置为1帧、2帧、4帧、8帧、16帧和32帧,使用协议分析仪抓取网络通信的信号时序,得到结果如表 3所示.
| 单次交换中的 数据帧数 | 传输效率/% | ||
| 数据长度 512B | 数据长度 1024B | 数据长度 2048B | |
| 1 | 49.8 | 61.4 | 69.5 | 
| 2 | 58.8 | 67.8 | 73.4 | 
| 4 | 64.6 | 71.5 | 75.5 | 
| 8 | 67.9 | 73.5 | 76.6 | 
| 16 | 69.7 | 74.5 | 77.2 | 
| 32 | 70.6 | 75.0 | 77.4 | 
搭建的测试平台的传输误码率优于10-12,实验得到的测试结果和仿真结果类似,误码对网络传输效率的影响可忽略,在传输帧的数据净荷为2048B时,可以获得比512B和1024B更高的传输效率.当单次交换中传输的数据帧数大于16以后,可以得到高于77%的网络传输效率.虽然使用更大的数据帧可以获得更高一些的传输效率,但是,需要设计更大的缓存,在硬件实现上需要考虑额外的RAM芯片实现,同时,为了满足差错重传的要求,硬件设计要使用双缓冲的方式实现.为了减少硬件设计压力,同时获得足够的网络传输带宽,建议单次交换中的数据帧数量设置为不小于16.
5 结 论
1) 本文设计了FC-AE-1553消息传输过程,提出了FC-AE-1553网络在无差错情况下和有差错情况下的传输效率的计算方法,较全面考虑了工程实现,增强了方法的可用性.
2) 本文通过仿真分析,提出一种最佳的设计匹配建议,在传输链路误码率优于10-8情况下,传输的丢包率可被工程接受,此时将数据帧净荷封装设置为2048B,将单次交换的数据帧数量设置为16,协议的传输效率可达到75%以上.
3) 实验结果表明,FC-AE-1553节点卡可以实现较高的传输带宽,当使用的数据帧净荷为2048B,数据帧大小为2048B,帧数量为16时,网络传输效率可达到77.2%.
| [1] | TR-31-2002 Fibre channel-avionics environment (FC-AE)[S].New York:American National Standard Institute,2002. | 
| Click to display the text | |
| [2] | TR-42-2007 Fibre channel-AE-1553[S].New York:American National Standard Institute,2007. | 
| Click to display the text | |
| [3] | 曹素芝,张善从. FC-AE-1553高级特性介绍[J].光通信技术,2010,34(2):49-51. Cao S Z,Zhang S C.Analysis on advanced features of FC-AE-1553[J].Optical Communication Technology,2010,34(2):49-51(in Chinese). | 
| Cited By in Cnki | |
| [4] | Xu Y J, Zhang X L,Xiong H G.Study on the application of fibre channel in future spacecraft avionics system[C]//Proceedings of 1st International Symposium on Systems and Control in Aerospace and Astronautics(ISSCAA).Piscataway,NJ:IEEE Press,2006:189-192. | 
| Click to display the text | |
| [5] | Dong W J, Zhou C M,Zhang J,et al.Application of fibre channel technology to flying control system[C]//Proceedings of the 20122nd International Conference on Instrumentation & Measurement,Computer,Communication and Control(IMCCC).Piscataway,NJ:IEEE Press,2012:1518-1521. | 
| Click to display the text | |
| [6] | Leng Y, Zong Z L,Liu W.Design and implementation of FC-AE-1553 point to point transmission hardware platform[C]//IEEE Circuits and Systems International Conference on Testing and Diagnosis(ICTD).Piscataway,NJ:IEEE Press,2009:4960800. | 
| Click to display the text | |
| [7] | 李进,吕增明, 陶宏江,等.适于高速CCD图像数据光纤传输的纠错技术[J].光学精密工程,2012,20(11):2548-2558. Li J,Lv Z M,Tao H J,et al.Error correction technology for CCD image using high speed optical fiber transmission[J].Optics and Precision Engineering,2012,20(11):2548-2558(in Chinese). | 
| Cited By in Cnki (5) | |
| [8] | 孙科林,周维超, 吴钦章.高速实时光纤图像传输系统的实现[J].光学精密工程,2011,19(9):2228-2235. Sun K L,Zhou W C,Wu Q Z.Realization of high-speed real-time optical fiber image transmission system[J].Optics and Precision Engineering,2011,19(9):2228-2235(in Chinese). | 
| Cited By in Cnki (26) | |
| [9] | 杨现萍,段亚. FC-AE-1553总线数据处理技术研究[J].现代电子技术,2011,34(12):29-32. Yang X P,Duan Y.Investigation of FC-AE-1553 data processing technology[J].Modern Electronics Technique,2011,34(12):29-32(in Chinese). | 
| Cited By in Cnki | |
| [10] | 赵长啸,屠晓杰, 丁凡,等.光纤通道网络实时性能分析[J].北京麻豆精品秘 国产传媒学报,2011,37(10):1202-1206. Zhao C X,Tu X J,Ding F,et al.Real-time performance evaluation in fibre channel networks[J].Journal of Beijing University of Aeronautics and Astronautics,2011,37(10):1202-1206(in Chinese). | 
| Cited By in Cnki (1) | |
| [11] | 丁凡,熊华钢, 宋丽茹.FC-AE-1553网络的建模仿真和研究[J].计算机工程与应用,2008,44(31):20-24. Ding F,Xiong H G,Song L R.Modeling and simulation for FC-AE-1553 network[J].Computer Engineering and Applications,2008,44(31):20-24(in Chinese). | 
| Cited By in Cnki | |
| [12] | 陈勇,林宝军, 张善从.不同拓扑结构FC-AE-1553网络性能研究[J].计算机工程,2011,37(22):79-81. Chen Y,Lin B J,Zhang S C.Research on FC-AE-1553B network performance with different topology structure[J].Computer Engineering,2011,37(22):79-81(in Chinese). | 
| Cited By in Cnki | |
| [13] | 彭力,吕从民, 刘迎春,等.面向空间应用的FC-AE-1553网络拓扑性能研究[J].计算机技术与发展,2013(9):10-14. Peng L,Lv C M,Liu Y C,et al.Topology performance study of FC-AE-1553 network in space application[J].Computer Technology and Development,2013(9):10-14(in Chinese). | 
| Cited By in Cnki | |
| [14] | 张雪,樊晓光, 谭东歌,等.FC-AE-1553与MIL-STD-1553桥设计与实现[J].微计算机信息,2009(22):31-33. Zhang X,Fan X G,Tan D G,et al.Design and implementation of MIL-STD-1553-to-FC bridge[J].Microcomputer Information,2009(22):31-33(in Chinese). | 
| Cited By in Cnki | |
| [15] | 查翔,南建国, 罗海英.FC-AE-1553与MIL-STD-1553协议转换方案的设计[J].计算机工程与设计,2012,33(3):895-900. Zha X,Nan J G,Luo H Y.Design of protocol converting scheme between FC-AE-1553 and MIL-STD-1553[J].Computer Engineering and Design,2012,33(3):895-900(in Chinese). | 
| Cited By in Cnki | |
| [16] | 曹素芝,张善从. 基于无源光网络的高速光纤总线技术研究[J].宇航学报,2011,32(5):1156-1162. Cao S Z,Zhang S C.Research on high-speed fiber-optic bus based on passive optical network[J].Journal of Astronautics,2011,32(5):1156-1162(in Chinese). | 
| Cited By in Cnki (6) | |
| [17] | 周鹏飞,宗竹林, 肖龙.一种PON结构航空总线协议芯片的内存架构[J].微电子学与计算机,2013,30(9):5-8. Zhou P F,Zong Z L,Xiao L.The memory architecture of PON structure avionic bus protocol chip[J].Microelectronics and Computer,2013,30(9):5-8(in Chinese). | 
| Cited By in Cnki (1) | |
| [18] | INCITS 470-2010 Fibre channel framing and signaling-3(FC-FS-3)[S].New York:American National Standard Institute, 2010. | 
| Click to display the text | 





