文章快速检索  
  高级检索
红外窗口材料的热辐射特性测量方法
王亚辉1,2,3, 王强1, 张伯川2,3, 徐力2,3    
1. 北京麻豆精品秘 国产传媒 能源与动力工程学院, 北京 100191;
2. 北京航天自动控制研究所, 北京 100854;
3. 宇航智能控制技术国家级重点实验室, 北京 100854
摘要:飞行器在大气层内高超声速飞行时,高温窗口迅速成为气动热辐射效应的主要因素,气动热辐射效应会降低甚至破坏红外(IR)探测系统的性能.通过分析红外探测窗口热辐射传输特性,提出一种红外窗口材料的热辐射特性测量方法,并测量了应用于中波红外(MWIR)探测系统的某蓝宝石红外窗口材料在高温状态下的透过率和自身辐射等热辐射数据.结果表明:在100~350℃范围内,0.1mm厚蓝宝石材料薄层在中波红外3.7~4.8μm波段的热辐射特性与温度近似呈3次方关系,温度越高,蓝宝石透过率越小,自身辐射越大.强烈的自身辐射极易导致红外探测器局部饱和现象,对探测系统造成的影响比透过率引起的信噪比(SNR)下降要大得多.
关键词热辐射特性     红外(IR)窗口     透过率     自身辐射     蓝宝石    
Measurement method for thermal radiation characteristics of IR window materials
WANG Yahui1,2,3, WANG Qiang1 , ZHANG Bochuan2,3, XU Li2,3     
1. School of Energy and Power Engineering, Beijing University of Aeronautics and Astronautics, Beijing 100191, China;
2. Beijing Aerospace Automatic Control Institute, Beijing 100854, China;
3. National Key Laboratory of Science and Technology on Aerospace Intelligent Control, Beijing 100854, China
Abstract:When a hypersonic vehicle is flying in the atmosphere, serious aero-thermo-radiation effects can reduce or even destroy the performance of infrared (IR) detection, and high-temperature IR window becomes the main factor of the effects due to the aerodynamic heating. Based on thermal radiation transfer model for IR window, a method was proposed to measure thermal radiation characteristics of IR window materials. And thermal radiation characteristics of a sapphire IR window material applied to mid-wave infrared (MWIR) detection system were measured. The results indicate that thermal radiation characteristics of the sapphire IR window material with thickness of 0.1mm, in the wavelength region 3.7-4.8μm, have an approximate cubic relationship with temperature, changing from 100℃ to 350℃. With the rise of temperature, the transmittance decreases, while the self-radiation increases. The intensive self-radiation can make detector into saturation state easily, of which the influence on the MWIR detection system is bigger than that of transmittance which decreases detecting signal to noise ratio (SNR).
Key words: thermal radiation characteristics     infrared (IR) windows     transmittance     self-radiation     sapphire    


飞行器在大气层内超声速飞行时,红外(Infrared,IR)探测系统面临复杂的气动光学效应,使红外探测系统的性能下降[1, 2].高温绕流气体流场强烈的气动加热使红外窗口的温度迅速上升,高温红外窗口和高温气体产生强烈的气动热辐射,不仅使目标探测信噪比降低,还形成强烈的背景辐射,极易导致红外探测器饱和而不能分辨来自目标的红外辐射信号,使红外探测系统失效[3, 4].文献[5]指出高温红外窗口的热辐射迅速上升并超越气体,成为气动热辐射的主要因素.文献[6, 7, 8]指出,红外窗口温度越高,自身辐射越强,对目标衰减越强.国内外对红外窗口材料的报道多集中在强度、硬度﹑熔点、折射率、热导率和耐腐蚀等物理化学性能,而透过率、衰减系数等热辐射传输特性的报道较少[9, 10],高温状态的数据更少,影响甚至制约了高温红外窗口的气动热辐射效应研究的发展,阻碍了红外探测系统在高超声速飞行器领域的应用.

为此,基于介质辐射传输模型,本文分析了红外窗口的透过率和自身辐射等热辐射特性,提出一种高温状态下红外窗口材料的热辐射特性测量方法,并对某中波红外探测系统的蓝宝石红外窗口材料的热辐射特性进行了测量研究,为评估高温蓝宝石红外窗口对探测系统性能的影响提供关键数据支持,促进高超声速飞行红外探测系统的设计与优化.

1 红外窗口材料的热辐射特性

辐射传输方程描述了目标辐射能量透过红外窗口的传递过程,是沿辐射传输方向的能量守恒方程[11, 12, 13].积分形式辐射传输方程表示为

式中:s为传播距离;s*为传播距离上的任意一点;λ为波长;ke,λ为衰减系数;ωλ为反照率;Sλ为源函数;Lλ(0)为到达红外窗口外表面的目标红外辐射Lobj.忽略红外散射因素,Sλ是辐射源函数,式(1)右边第2项为窗口自身辐射Lwin,那么探测器获得的透过窗口的总辐射Ltot是红外窗口内表面的辐射亮度Lλ(s),即
式中:τwin=exp(-ke,λs)为红外窗口的透过率.

假设红外探测窗口温度T分布均匀,沿辐射传输方向(即厚度方向)将红外探测窗口等分为n层,那么每一层厚度为Δ的红外窗口材料的辐射特性透过率τT,winΔ和自身辐射LT,winΔ是一致的,根据式(2)可得,透过第1层的总辐射为

透过第1~2层的总辐射为
透过第1~n层的总辐射为

假设温度T的红外探测窗口的透过率和自身辐射分别是τT,winLT,win,透过整个红外窗口的总辐射为

所以,
那么,

厚度为Δ且温度为T的红外窗口材料的透过率τT,winΔ和自身辐射LT,winΔ分别为

根据式(2),如果满足

那么增加一层厚度,透过红外窗口的总辐射将不再增加.取
式中:LTm为在红外窗口后面可探测到的最大红外辐射能量值.

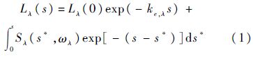
2 红外窗口材料热辐射特性测量 2.1 红外窗口材料热辐射特性测量平台

图 1是本文设计的一种红外窗口材料热辐射特性测量平台,主要是由试验支撑平台、红外探测器、红外窗口保温装置、模拟黑体、数据记录仪和试验平台状态控制器等组成,其中试验支撑平台提供其他试验设备组件的安装.配套设备还有精密温控高温加热炉.

图 1 红外窗口材料热辐射特性测量平台 Fig. 1 Measurement platform of thermal radiation characteristics of IR window material

红外窗口保温装置,为红外窗口提供完善的保温功能,确保试验数据采集期间红外窗口温度维持在指定的温度范围内.红外窗口保温装置采用箱体结构,壁面采用绝热材料,内表面铺设高反射率金属薄膜,从导热、对流、辐射3个方面减少红外窗口的热量损失[14],减缓温度下降速度,保证红外窗口的温度分布在每一次测量中的一致性,提高热辐射特性测量精度.

模拟黑体,用于模拟目标的红外辐射,采用以色列CI公司的SR-800型高精度扩展面源黑体,发射率为0.97±0.02,温度范围为0~175℃,温度均匀性为±0.15℃.

红外探测器采用FLIR公司SC7300M型中波热像仪,NETD<20 mK,320像素×256像素,帧频235 Hz,视场角11°×8.8°,响应光谱为3.7~4.8 μm.对于热像仪测量的亮度温度T,热像仪获取的红外辐射LT,test

式中:Eb(λ,T)为黑体的普朗克函数.

高温加热炉采用德国爱安姆IRM公司的FB600型高温加热炉,智能控制升温或降温速度、时间和保温,温度控制稳定精度为±1℃.

2.2 红外窗口热辐射特性测量方法

设定黑体温度为Tb,用红外探测器获取黑体的红外辐射Lobj.将红外窗口放置于高温加热炉内加热至指定温度Twin,待窗口温度分布均匀后,取出红外窗口并直接放置于保温装置内,然后将保温装置放于红外探测器和模拟黑体之间.用红外探测器获取透过窗口的红外辐射响应值Ltot.保持红外窗口温度处于相同状态,获取多组黑体温度Tb状态下的红外辐射LobjLtot,根据式(2)线性关系,利用最小二乘法拟合出温度T均匀分布的红外窗口的透过率τT,win和自身辐射LT,win.

根据红外探测窗口厚度控制等分个数n,就可根据式(10)和式(11)获得单位厚度Δ的红外窗口材料的透过率τT,winΔ和自身辐射IT,winΔ等热辐射特性数据.

2.3 红外窗口热辐射特性测量误差分析

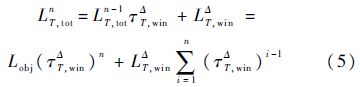
式(2)描述了理想状态的目标红外辐射在红外窗口材料中的传播.在试验测量中,试验件内外两个壁面的空气侧和窗口侧均存在反射,目标辐射和红外窗口辐射在晶体内部存在多次折返,同时还存在一定的环境辐射等干扰因素,如图 2所示.

图 2 红外窗口中的热辐射传输 Fig. 2 Thermal radiation transfer of IR window

试验测量中,红外探测器获取的红外辐射可表述为

式中:FτFL分别为红外窗口透过率和自身辐射的修正系数,用于描述红外窗口壁面窗口侧和空气侧反射引起的测量偏差;Genv为经过反射、折射、透射等过程以杂散光形式进入红外探测器的环境辐射.试验中,环境辐射来自保温装置内表面的金属薄膜,发射率低,约为0.03,同时保温装置初始温度为室温(小于30℃),内部放置试验件的时间较短(小于3 s),内壁面与试验的热交换较弱,温度上升较慢.同时红外窗口试验件壁面的镜面反射显著,黑体辐射面的反射率低.考虑视线、视场等原因,保温装置内壁面等环境辐射引入的误差可忽略不计.

考虑红外辐射在红外窗口内部多次折返的反射和衰减等因素,透过率和自身辐射的修正系数为

式中:rwininrwinout分别为试验件壁面窗口侧和空气侧的反射率,与晶体折射率有关.根据式(10)和式(11),等分n层后,厚度为Δ的红外窗口材料薄层的透过率的修正系数FτΔ和自身辐射的修正系数FLΔ分别为

高温加热炉的温控精度和热像仪测温精度也引入一定仪器误差,试验操作红外窗口的温度下降或不一致也带来一些误差.

3 蓝宝石窗口材料热辐射特性测量

基于红外窗口材料热辐射特性测量平台,对厚度为5 mm蓝宝石窗口材料平板试验件进行测量.将试验件分别加热到100~350℃共6个温度,保证探测窗口温度分布均匀.由-20℃到175℃逐步升高黑体温度,测量黑体红外辐射及其透过高温探测窗口的黑体红外辐射,基于式(2)线性拟合出蓝宝石平板试验件高温状态的透过率和自身辐射的热辐射特性,如表 1所示.

表 1 蓝宝石平板窗口的热辐射特性(5 mm厚) Table 1 Thermal radiation characteristics of sapphire flat window (thichkness of 5 mm)
Twin/℃τT,winLT,win/(W·m-2·sr-1)
实验数据Fτ实验数据FL
1000.999 20.929 90.198 70.999 9
1500.996 20.929 90.840 20.999 7
2000.987 10.929 82.168 60.999 1
2500.972 50.929 75.435 10.998 1
3000.943 60.929 511.089 00.996 1
3500.901 50.929 220.799 00.993 2

蓝宝石红外窗口的透过率随温度的升高而下降,温度越高,下降幅度越大,而窗口热辐射随温度的升高而增强,温度越高,增强幅度越大.红外窗口温度由100℃升至350℃,窗口透过率衰减约9.8%,但是自身辐射增强却在100倍以上.

试验中,试验件两侧壁面均镀增透膜,外部空气侧的反射率rwinout<0.01,蓝宝石试验件在中波4 μm的折射率约为1.68[9].根据反射率理论计算方法,并考虑多次反射因素,蓝宝石红外窗口内部窗口侧的反射率rwinin=0.064 6.由式(16)和式(17)可得,温度状态测量点试验结果的修正系数,如表 1所示.表 1中各温度测量状态的蓝宝石红外窗口透过率偏移系数|1-Fτ|≤0.070 8,而自身辐射的偏移系数|1-FL|≤0.006 8.试验件反射因素引入对透过率测量影响较大.

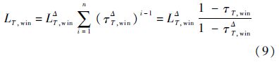
沿厚度方向将蓝宝石平板试验件等分成n=50层,单层厚度Δ=0.1 mm.根据式(10)和式(11)计算蓝宝石材料薄层的透过率τT,winΔ和自身辐射LT,winΔ.图 3给出了τT,winΔLT,winΔ随温度的变化.结合式(18)和式(19),厚度Δ=0.1 mm蓝宝石薄层的透过率偏移系数|1-FτΔ|≤0.001 5,自身辐射的偏移系数|1-FLΔ|≤0.036 0.将试验件等分多层后,单层的透过率偏移系数呈指数下降,而自身辐射偏移系数反而变大.

图 3 蓝宝石薄层材料的热辐射特性(Δ=0.1 mm) Fig. 3 Thermal radiation characteristics of sapphire thin layer material (Δ=0.1 mm)

图 3可知,随温度的升高,Δ=0.1 mm的蓝宝石材料薄层的透过率迅速下降,而自身辐射则随温度迅速增强.高温状态下,蓝宝石红外探测窗口材料的透过率和自身辐射对随温度剧烈变化,低温或常温热辐射传输属性不能反映高温状态,使用常温热辐射特性试验数据研究高温红外窗口的热辐射效应,必然带来错误的结论.经多项式拟合分析,Δ=0.1 mm的蓝宝石红外窗口材料薄层在3.7~4.8 μm波段的透过率和自身辐射与温度之间均近似呈现3次方关系,即

式中:pτwinipLwini为关系系数,其值如表 2所示.

表 2 蓝宝石薄层材料热辐射特性拟合参数 Table 2 Fitting parameters of thermal radiation characteristics of sapphire thin layer material
ipτwinipLwini
01.00-2.99
1-1.28×10-4 6.46×10-2
2 1.11×10-6-4.62×10-4
3-4.55×10-9 1.35×10-6

Δ=0.1 mm为厚度单位,根据式(13)计算透过蓝宝石薄层可探测的最大中波红外热辐射LTm,如表 3所示.LTm在200℃附近出现最小值,约为168 W·m-2·sr-1.

表 3 蓝宝石薄层后可探测的最大热辐射 Table 3 Maximum thermal radiation detected behind sapphire thin layer material
Twin/℃LTm/(W·m-2·sr-1)
100248.375
150221.105
200168.108
250197.640
300196.613
350211.157

自然环境中,只有太阳、运载器尾流等少数目标的中波红外辐射强于LTm=168 W·m-2·sr-1.由式(12)可知,随窗口厚度增加而增加,窗口后面可探测到的红外辐射能量值持续增加.式(8)指出窗口透过率和窗口厚度呈指数下降关系,而式(9)指出自身辐射随厚度增加而增加,增加幅度呈指数下降.所以,实际应用中,红外窗口越厚,到达探测器的红外辐射能量中,目标红外辐射的比例越小,不仅探测信噪比下降,还存在探测器饱和的风险.

4 结 论

经过红外窗口热辐射特性分析,提出了一种高温红外窗口材料的热辐射特性测量方法,并对应用于中波红外探测系统的某蓝宝石红外窗口材料进行测量.

1) 该测量方法可准确给出红外窗口材料的透过率和自身辐射等热辐射特性,试验误差主要来源于被测试验件壁面空气侧和窗口侧的反射率.

2) 在100~350℃范围内,0.1 mm厚蓝宝石红外窗口材料薄层在中波(3.7~4.8 μm)波段的热辐射特性随温度剧烈变化,随温度上升,透过率迅速下降,而自身辐射迅速增强.透过率和自身辐射与温度之间均近似呈现3次方关系.使用常温热辐射特性试验数据研究高温红外窗口的热辐射效应,必然带来错误的结论.

3) 在对地探测应用中,除了强辐射/散射目标,随红外窗口厚度增加,透过蓝宝石窗口探测到的红外辐射能量值总是增加,同时透过率持续下降,透过窗口的目标红外辐射持续降低,不仅造成信噪比下降,还存在探测器饱和的风险.

本文中的测量平台和测量方法在提高试验效率和降低试验误差方面均有待改进.同时,本文进一步的研究工作是基于红外窗口的试验测量数据开展红外窗口气动热辐射效应评估方法研究,支撑探测系统设计、参数优化和仿真验证.

参考文献
[1]殷兴良.气动光学原理[M].北京:中国宇航出版社,2003:1-10. Yin X L.Principle of aero-optics[M].Beijing:China Aerospace Press,2003:1-10(in Chinese).
[2]李波,刘洪.高速流场气动光学效应评价方法研究[J].光电工程,2011,38(5):21-29. Li B,Liu H.Aero-optical evaluation method for high speed flow[J].Opto-Electronic Engineering,2011,38(5):21-29(in Chinese).
Cited By in Cnki (1)
[3]范志刚,于翠萍,肖昊苏,等.气动光学头罩热辐射效应数值仿真研究[J].应用光学,2012,33(4):649-653. Fan Z G,Yu C P,Xiao H S,et al.Numerical simulation of thermal radiation effect about optical dome in aerodynamic thermal environment[J].Journal of Applied Optics,2012,33(4):649-653(in Chinese).
Cited By in Cnki (2)
[4]张黎,陶彦辉,王贵兵,等.气流加热对气动光学效应的影响[J].强激光与粒子束,2013,25(2):297-300. Zhang L,Tao Y H,Wang G B,et al.Influence of airflow heating on aero-optic effects[J].High Power Laser and Particle Beams,2013,25(2):297-300(in Chinese).
Cited By in Cnki (3)
[5]王亚辉,王强,高磊,等.高超声速飞行器气动热辐射特性[J].红外与激光工程,2013,42(6):1399-1403. Wang Y H,Wang Q,Gao L,et al.Aero-thermo-radiation of a hypersonic vehicle[J].IR and Laser Engineering,2013,42(6):1399-1403(in Chinese).
[6]陈连忠,张嘉祥,费锦东.气动加热对红外成像的影响试验研究[J].激光与红外,2009,39(1):36-38. Chen L Z,Zhang J X,Fei J D.Experiment research on the aerodynamic heating effect on the IR imaging[J].Laser and Infrared,2009,39(1):36-38(in Chinese).
Cited By in Cnki (5)
[7]马毅飞,赵文平.窗口辐射对红外成像探测影响的研究[J].系统工程与电子技术,2005,27(32):427-430. Ma Y F,Zhao W P.Effects of window radiation on IR imaging detection[J].Journal of Systems Engineering and Electronics,2005,27(32):427-430(in Chinese).
Cited By in Cnki (14)
[8]张金全,张国英,樊寄松,等.红外窗口整流罩气动加热对红外热图像测量影响试验研究[J].红外技术,2001,23(2):32-34. Zhang J Q,Zhang G Y,Fan J S,et al.The experimentation research of IR thermograph measurement affected by IR window’s pneumatic calefaction[J].IR Technology,2001,23(2):32-34(in Chinese).
Cited By in Cnki (16)
[9]谢启明,李奕威,潘顺臣.红外窗口和整流罩材料的发展和应用[J].红外技术,2012,34(10):559-567. Xie Q M,LI Y H,Pan S C.The development and application of the materials for IR windows and domes[J].Infrared Technology,2012,34(10):559-567(in Chinese).
Cited By in Cnki (11)
[10]张兴德,刘琳,李荣刚.机载光电设备红外窗口技术[J].红外与激光工程,2010,39(4):601-606. Zhang X D,Liu L,Li R G.IR optical window for airborne photoelectric equipments[J].Infrared and Laser Engineering,2010,39(4):601-606(in Chinese).
Cited By in Cnki (12)
[11]余其铮.辐射换热原理[M].哈尔滨:哈尔滨工业大学出版社,1999:101-115. Yu Q Z.Principle of radiation heat transfer[M].Harbin:Harbin Institute of Technology Press,1999:101-115(in Chinese).
[12]Modest M F.Radiative heat transfer[M].New York:McGraw-Hill,1993:263-285.
[13]刘晔,黄勇.红外窗口辐射导热耦合换热研究[J].工程热物理学报,2012,33(2):2190-2193. Liu Y,Huang Y.Simultaneous radiation and conduction heat transfer in an IR window[J].Journal of Engineering Thermophysics,2012,33(2):2190-2193(in Chinese).
Cited By in Cnki (1)
[14]陶文铨.数值传热学[M].2版.西安:西安交通大学出版社,2001:20-311. Tao W Q.Numerical heat transfer[M].2nd ed.Xi’an:Xi’an Jiaotong University Press,2001:20-311(in Chinese).
http://dx.doi.org/10.13700/j.bh.1001-5965.2014.0553
北京麻豆精品秘 国产传媒主办。
0

文章信息

王亚辉, 王强, 张伯川, 徐力
WANG Yahui, WANG Qiang, ZHANG Bochuan, XU Li
红外窗口材料的热辐射特性测量方法
Measurement method for thermal radiation characteristics of IR window materials
北京麻豆精品秘 国产传媒学报, 2015, 41(7): 1269-1274
Journal of Beijing University of Aeronautics and Astronsutics, 2015, 41(7): 1269-1274.
http://dx.doi.org/10.13700/j.bh.1001-5965.2014.0553

文章历史

收稿日期:2014-09-10
录用日期: 2014-12-22
网络出版日期: 2015-01-16

相关文章

工作空间