为提高航天产品空间应用在轨可靠性和寿命,促进国产宇航元器件和材料空间应用品质的提升,模拟航天产品在轨的外太空空间环境意义重大[1].电磁场是诱发航天产品在轨故障的主要原因之一.为了获得均匀的电磁场,通常采用霍姆赫兹线圈来产生电磁场[2].其驱动电源可采用恒压源或恒流源,由于模拟空间电磁场环境的稳定度要求较高(优于1%),若采用恒压源驱动霍姆赫兹线圈,线圈发热会引起其阻值改变,使得线圈的电流也随之变化,从而导致电磁场不稳定;若采用恒流源驱动霍姆赫兹线圈,则可以避免线圈电阻变化引起的励磁电流变化,从而产生稳定的电磁场[3].
恒流源作为稳定电源的一个分支,按功率器件的工作状态不同,可分为开关型恒流源和线性恒流源.开关型恒流源效率较高,但高频噪声大,输出纹波较大;线性恒流源输出电流稳定,电路简单可靠,但其效率较低[4].考虑到电磁场对稳定度要求较高,本文采用线性恒流源驱动霍姆赫兹线圈[5, 6].
针对模拟线圈磁感应强度0~20Gs连续可调,磁场稳定度优于1%的要求,采用前级电压源与后级电流源串联的主电路拓扑结构,结合电压闭环控制和电流闭环负反馈控制的方法,实现了稳定的恒流输出.其中,电压源采用适合中小功率的半桥逆变结构,电流源采用功率金属-氧化物半导体场效应晶体管(Metal-Oxide-Semiconductor Field-Effect Transistor,MOSFET),并使其工作在线性放大区,以实现高精度恒流输出.为了减小功率MOSFET的损耗,采用MOSFET漏源极电压闭环负反馈调节电压源的输出电压,不仅实现了稳定电压的输出,而且使输出电压随负载电流改变,始终将MOSFET的漏源电压保持在较低的电压,提高了恒流源的效率.
1 恒流源的构成
为了提高电流控制精度,恒流源采用前级电压源与后级电流源串联的主电路拓扑结构.其中,电压源输出电压为0~50V连续可调,恒流源输出电流为0~10A连续可调,其基本构成如图 1所示.
|  | 
| 图 1 恒流源的基本构成Fig. 1 Basic composition of constant current source | 
在图 1中,220V/50Hz交流电经一次整流滤波电路、半桥逆变电路、降压变压器和二次整流滤波电路后变换成直流输出,输出电压0~50V连续可调.电压源的输出再输入到电流源电路进行线性调节,获得稳定的电流输出;恒流输出电路再连接至霍姆赫兹线圈,从而在线圈内部得到均匀分布的电磁场.图 1中,Uf为电压源输出电压反馈信号,Ug为电压源输出电压的调节值,UDSf为功率MOSFET的漏源电压降反馈信号,Uc为恒流输出驱动电路控制信号,If为采集的输出电流反馈信号,Ig为电流给定值.所设计的霍姆赫兹线圈由一对匝数、边长、高度和厚度相同的共轴平行放置的正方形线圈组成,单个线圈的外形长宽均匀384mm,高度为150mm,匝数为150匝,厚度约为4mm,线圈阻值RL=2.5Ω.
控制电路采用MC9S12XEP100单片机,结合PWM控制芯片SG3525A,实现了恒压恒流控制.其中,电压源采用双闭环控制方法,内环为电压源输出电压负反馈调节电路,实现恒压输出,外环采用功率MOSFET的漏源电压闭环调节电压源输出,将MOSFET的漏源电压控制在25V左右,从而降低MOSFET线性电流源的功耗;电流源采用电流闭环负反馈控制方式来实现恒定电流输出.
2 恒流源主电路拓扑
2.1 电压源主电路拓扑
电压源主电路拓扑结构采用中小功率的半桥逆变结构[7, 8],如图 2所示.
|  | 
| 图 2 电压源主电路拓扑Fig. 2 Main circuit topology of voltage source | 
在图 2中,AC220V交流电经全桥整流滤波后变换成310V的直流电,再经由电容C3、C4、功率开关管Q1和Q2组成的半桥逆变电路变换成20kHz的交流方波,通过高频变压器降压耦合至输出全波整流滤波电路变换成可控的电压,输出电压Uo为0~50V连续可调.
2.2 MOSFET线性电流源工作原理
针对磁场线圈驱动电流高稳定度的要求,采用MOSFET作为线性电流源的功率器件,并使其工作在线性放大区来实现稳定的恒流输出.
一般的功率MOSFET有3个工作区域,即饱和区、截止区和线性放大区.在线性放大区,当漏源极电压UDS一定时,漏极电流ID跟栅源极电压UGS在一定的电压区域内呈线性关系[9, 10],如图 3所示.本文所设计的电流输出控制电路正是基于功率MOSFET的这种特性来实现高稳定度恒流输出的.
|  | 
| 图 3 2SK1217功率MOSFET的特性曲线Fig. 3 Characteristic curves of 2SK1217 power MOSFET | 
功率MOSFET选用FUJI公司生产的N-沟道功率MOSFET管2SK1217作为线性恒流源的功率器件,2SK1217的最大漏极电流为8A,漏源极之间最大电压为900V.如图 (3b)所示,当0.5A≤ID≤10A时,2SK1217具有非常好的线性度.
2.3 电流源主电路拓扑
MOSFET线性电流源主电路拓扑如图 4所示.
|  | 
| 图 4 电流源主电路拓扑Fig. 4 Main circuit topology of current source | 
在图 4中,电压源输出电压Uo作为电流源的输入,电流源输出端连接至霍姆赫兹线圈,Io为输出电流,RS为电流取样精密电阻,LH为霍姆赫兹线圈的等效电感.在电路中,GND为驱动信号和电流电压采样信号的公共地参考点,Drive为MOSFET的栅极电压驱动信号,工作时,为了提高输出功率,采用Q3、Q4两个功率MOSFET并联,并且Q3、Q4工作在线性放大区,输出电流的大小由驱动信号Drive的电压幅值控制.因此,改变驱动电压就可以调节输出电流的大小.
3 控制电路设计
3.1 电压源控制
由于工作在放大区的功率MOSFET功耗比工作在正常开关状态下的功耗要大的多,功率MOSFET发热比较严重.电压源控制电路采用双闭环控制方法使MOSFET管的漏源电压保持在25V左右,这样即实现了线性恒流输出,又保证了较小的功耗.
电压源双闭环控制的工作原理如图 5所示.
|  | 
| 图 5 电压闭环负反馈控制原理框图Fig. 5 Block diagram of voltage negative feedback loop | 
在图 5中,UDSg是根据MOSFET管2SK1217的转移特性曲线设定的最小漏源电压,它与实际的MOSFET两端的漏源反馈电压UDSf一起输入到数字PID控制算法构成外环调节,其输出经D/A变换后得到电压源输出电压的调节值Ug,Ug再与电压源输出电压反馈信号Uf一起输入到PID电路构成内环调节,其输出连接至PWM控制电路,进而改变PWM脉冲宽度,从而实现恒定的电压输出,并且使MOSFET管的漏源电压始终保持在25V左右.
PWM控制电路采用SG3525A芯片,该芯片能够输出一组相位相差180°的PWM信号,并且死区时间可调[11, 12].SG3525外围电路如图 6所示.
|  | 
| 图 6 SG3525的外围电路Fig. 6 Peripheral circuits of SG3525 | 
电流源电路采用电流闭环负反馈控制方法来实现恒定电流输出,其工作原理框图如图 7所示.
|  | 
| 图 7 电流闭环负反馈控制原理框图Fig. 7 Block diagram of current negative feedback loop | 
在图 7中,电流源控制电路以MC9S12XP100单片机为核心,根据功率MOSFET管2SK1217的转移特性曲线预先编制电流Ig与驱动电压UGS的对应数据表,存入单片机中.工作时,单片机通过输入设定值Ig,并根据Ig计算查表得到驱动电压Uco;同时,Ig和If输入限制式增量PID控制算法,其输出为电压调整增量ΔUc;最后,将Uco和ΔUc进行求和,得到电流输出控制信号Uc,再经补偿电路和射随驱动电路连接到功率MOSFET的门极驱动,实现输出电流调节.
为了提高系统的响应速度,减小超调,采用了限制式增量比例积分微分(Proportion Integration Differentiation,PID)控制[13, 14, 15, 16],即输出ΔUc为-ΔUo≤ΔUc≤ΔUo(ΔUo为一常数),经求和运算后驱动信号Uc为Uco-ΔUo≤Uc≤Uco+ΔUo.
其中,补偿电路和射随驱动电路如图 8所示.
|  | 
| 图 8 恒流输出驱动控制电路Fig. 8 Control circuit of constant current output driver | 
从图 3(b)中可以看出,功率MOSFET管2SK-1217的电流零点所对应的驱动电压为3.5V左右.因此在图 8中,+5V通过VR1分压后与驱动电压Uc进行相加,以消除零点.晶体管T1为射随放大电路,可以提高驱动电压信号的驱动能力.
4 实验结果
4.1 输出电流稳定度测试
采用FLUKE电流钳表测量恒流源的输出电流,设定电流Ig为10A,每3min测量一次,连续测量1h.恒流源输出电流Io实测值如表 1所示.
根据测得的数据,绘制出实测输出电流曲线,如图 9所示.
|  | 
| 图 9 输出电流数据曲线Fig. 9 Data curve of output current | 
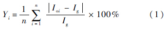
电流稳定度是指在某一特定条件下输出电流的相对变化,可用式(1)进行计算:

| 测量时间/min | Io/A | 测量时间/min | Io/A | 
| 3 | 9.99 | 33 | 10.00 | 
| 6 | 10.00 | 36 | 10.01 | 
| 9 | 10.00 | 39 | 10.00 | 
| 12 | 10.01 | 42 | 10.00 | 
| 15 | 10.00 | 45 | 10.01 | 
| 18 | 10.02 | 48 | 10.00 | 
| 21 | 10.00 | 51 | 9.99 | 
| 24 | 10.01 | 54 | 10.00 | 
| 27 | 10.01 | 57 | 9.99 | 
| 30 | 10.00 | 60 | 9.98 | 
测试时,将恒流源的输出连接至霍姆赫兹线圈,调节恒流源的输出电流,每隔0.5A用高斯计测量线圈中心点的磁感应强度,结果如表 2所示.
| 电流值/A | 磁感应强度/Gs | 电流值/A | 磁感应强度/Gs | 
| 0.5 | 2.69 | 3.0 | 16.37 | 
| 1.0 | 5.43 | 3.5 | 19.11 | 
| 1.5 | 8.11 | 4.0 | 21.82 | 
| 2.0 | 10.92 | 4.5 | 24.55 | 
| 2.5 | 13.62 | 5.0 | 27.26 | 
从表 2可以看出,当恒流源输出电流为4A时,线圈中心点的磁感应强度已经达到21.82Gs,完全可以满足线圈中心磁感应强度20Gs的设计要求.长时间监测表明,线圈内部各点的磁感应强度波动均小于0.2Gs,能够满足磁场稳定度优于1%的要求.
5 结 论
1) 采用电压源和电流源串联的主电路拓扑结构,结合电压双闭环控制和电流闭环负反馈控制的方法,实现了稳定的恒流输出,并能可靠地驱动霍姆赫兹线圈,从而得到均匀稳定的电磁场.
2) 电压源控制电路采用内环为电压源输出电压闭环负反馈调节,外环为功率MOSFET漏源极电压闭环负反馈调节的双闭环控制方法,不仅实现了稳定电压的输出,而且使输出电压随负载电流改变,始终使MOSFET的漏源电压保持在25V左右,减小了功率MOSFET的损耗,提高了恒流源的效率.
3) 所设计的恒流源输出电流0~10A连续可调,霍姆赫兹线圈中心磁感应强度能够达到20Gs,电流稳定度优于0.1%,磁场稳定度优于1%,满足设计要求.
| [1] | 童靖宇.航天器可靠性与空间特殊环境试验[J].航天器环境工程, 2005, 22(1):9-18. Tong J Y.Spacecraft reliability and special environmental testing of space[J].Spacecraft Environment Engineering, 2005, 22(1):9-18(in Chinese). | 
| Cited By in Cnki (16) | |
| [2] | Wang J H, Li K.He-McKellar-Wilkens effect in noncommutative space[J].Chinese Physics Letters, 2007, 24(1):5-7. | 
| Click to display the text | |
| [3] | Tihanyi L.Electromagnetic compatibility in power electronics[M].Piscataway, NJ:IEEE Press, 1995:158-164. | 
| [4] | 徐海峰.高精度数控稳压电源的设计[D].济南:山东大学, 2012. Xu H F.Design of high-precision digital control regulated power supply[D].Jinan:Shandong University, 2012(in Chinese). | 
| Cited By in Cnki | |
| [5] | 田俊杰, 董威, 陈静, 等.基于场效应管的恒流源设计[J].中国测试, 2009, 35(1):118-121. Tian J J, Dong W, Chen J, et al.Design of constant current power based on FET[J].China Measurement & Test 2009, 35(1):118-121(in Chinese). | 
| Cited By in Cnki (26) | |
| [6] | 孙鲲.一种稳恒磁场产生装置的设计[D].大连:大连理工大学, 2008. Sun K.Design of a steady magnetic field generator[D].Dalian:Dalian University of Technology, 2008(in Chinese). | 
| Cited By in Cnki (5) | |
| [7] | 卫永琴, 高建峰.一种恒流源电路的巧妙设计[J].仪器仪表学报, 2006, 27(8):1170-1172. Wei Y Q, GAO J F.Artful design of a constant current source circuit[J].Chinese Journal of Scientific Instrument, 2006, 27(8):1170-1172(in Chinese). | 
| Cited By in Cnki (32) | |
| [8] | Agrawal J P.Power electronic systems:Theory and design[M].New Jersey:Prentice Hall, Inc., 2001:125-133. | 
| [9] | 邓木生, 严俊, 廖无限.一种复合型精密恒流源的设计[J].电源技术应用, 2010, 13(10):42-45. Deng M S, Yan J, Liao W X.Design of a combined-type and precise constant-current power source[J].Power Supply Technologies and Applications, 2010, 13(10):42-45(in Chinese). | 
| Cited By in Cnki (2) | |
| [10] | 陶林伟, 王英民, 雷开卓.基于微处理器的精密数控恒流源[J].电子技术应用, 2007, 33(7):138-140. Tao L W, Wang Y M, Lei K Z.Precision numerical control constant current source based on MCU[J].Application of Electronic Technique, 2007, 33(7):138-140(in Chinese). | 
| Cited By in Cnki (12) | |
| [11] | 扈宏杰, 尔联洁, 刘强, 等.基于神经网络自适应稳定PID控制方法的研究[J].北京麻豆精品秘 国产传媒学报, 2001, 27(2):153-156. Hu H J, Er L J, Liu Q, et al.Stable and adaptive PID control based on neural network[J].Journal of Beijing University of Aeronautics and Astronautics, 2001, 27(2):153-156(in Chinese). | 
| Cited By in Cnki (51) | |
| [12] | 薛小铃.新型高精度数控恒流源的设计[J].闽江学院学报, 2010, 31(5):29-32. Xue X L.Design and realization of a new high-precision digital controlled constant current source[J].Journal of Minjiang University, 2010, 31(5):29-32(in Chinese). | 
| Cited By in Cnki (7) | Click to display the text | |
| [13] | 宋明刚, 樊尚春.一种高精度温度控制的复合方法及其应用[J].北京麻豆精品秘 国产传媒学报, 2001, 27(5):560-563. Song M G, Fan S C.A Combined method of high precision temperature control[J].Journal of Beijing University of Aeronautics and Astronautics, 2001, 27(5):560-563(in Chinese). | 
| Cited By in Cnki (26) | |
| [14] | 张苏红, 黄韬, 王进华, 等.基于增量式PID控制的数控恒流源[J].现代电子技术, 2011, 34(20):190-192. Zhang S H, Huang T, Wang J H, et al.Numerical control constant-current source based on incremental PID control[J].Modern Electronic Technology, 2011, 34(20):190-192(in Chinese). | 
| Cited By in Cnki (6) | Click to display the text | |
| [15] | Sanchez E N.Combining fuzzy, PID and regulation control for an autonomous mini-helicopter[J].Information Sciences, 2007, 177(10):1999-2022. | 
| Click to display the text | |
| [16] | 刘仕钊, 李声晋, 卢刚.基于dsPIC30F2020的全数字式恒流源研制[J].测控技术, 2009, 28(8):65-68. Liu S Z, Li S J, Lu G.Design of complete digital current power supply based on dsPIC30F3020[J].Measurement & Control Technology, 2009, 28(8):65-68(in Chinese). | 
| Cited By in Cnki (5) | 





