2024 Vol. 50, No. 10

Display Method:
Volume 10 Issue E-journal
Volume 50 Issue102024
iconDownload (33232) 823 iconPreview
Numerical simulation investigation on water surface skipping motion characteristics of sea-skimming projectile
LEI Juanmian, WU Zhixiang, XIE Wenyang
2024, 50(10): 2975-2983. doi: 10.13700/j.bh.1001-5965.2022.0813
Abstract:

Water surface skipping is a kind of motion in which the bottom of the aircraft touches the water surface and bounces up repeatedly when it moves near the water surface. This motion can improve the unpowered range and maneuverability of the long-range projectile near the water surface. This paper uses the VOF method to capture the change in the water surface, the overset grid, and the equation of six degrees of freedom to simulate the rigid body motion in order to study the characteristics of projectile water surface skipping. This is done by solving the unsteady Navier-Stokes equation and the Realizable k-ε model. According to the change of projectile attitude and relative water surface position, the water surface skipping motion process of the projectile is divided into five stages. The process of the projectile sliding on the water surface is simulated. The findings indicate that there are five stages in the process of projectile water surface sliding: the air flight prior to contact with the water, the first water contact and bounce, the near-water surface gliding, the second water contact and sliding out of the water. These stages are based on changes in the projectile’s attitude and relative position to the water surface. The first time, the stern of the projectile touches the water and quickly bounces up from the water surface by the impact of the water surface, making the projectile pitch down. In this process, the projectile still moves toward the water surface. During the second water contact, the lower surface of the projectile slaps the water surface in a large area. The projectile is not only subjected to a large impact force on the water surface but also subjected to a nose-up moment. Under the lift impact force and the nose-up moment, the projectile glides out of the water surface. The combined effect of the lift torque generated by the stern of the projectile and the impact load generated at the water contact point of the projectile enables the projectile to complete the water surface skipping process.

Semantic segmentation of point clouds by fusing dual attention mechanism and dynamic graph convolution
YANG Jun, ZHANG Chen
2024, 50(10): 2984-2994. doi: 10.13700/j.bh.1001-5965.2022.0775
Abstract:

The existing semantic segmentation methods of 3D point clouds based on deep learning usually ignore the profound semantic information between neighboring points when extracting local features and fail to consider the useful information in other neighboring features when aggregating local neighboring features. To solve these problems, a semantic segmentation algorithm of 3D point clouds fusing dual attention mechanism and dynamic graph convolution neural network (DGCNN) was proposed. Firstly, edge features were constructed by dynamic graph convolution operation, and the relative distance between the center point and the neighboring points was input to the kernel point convolution operation to obtain enhanced edge features, further strengthening the relationship between the center point and the neighboring points. Secondly, the spatial attention module was introduced to establish the dependence between neighboring points, and the similar feature points were intercorrelated, so as to extract profound context information in the local neighborhood and enrich the geometric features of neighboring points. Finally, the channel attention module was introduced when local neighboring features were aggregated. By giving different weights to different channels, the purpose of enhancing useful channels and suppressing useless channels was achieved, so as to improve the accuracy of semantic segmentation. The experimental results on the S3DIS dataset and SemanticKITTI dataset show that the semantic segmentation accuracy of this algorithm has reached 66.0% and 59.4%, respectively. Compared with other classical network models, this algorithm has achieved a better point cloud segmentation effect.

Mechanism analysis and process optimization of transverse cracking of hydraulic crushing hammer piston
TONG Guiying, WAN Yinan, ZHANG Lei, SHI Yan, ZHANG Yeming
2024, 50(10): 2995-3004. doi: 10.13700/j.bh.1001-5965.2024.0130
Abstract:

In view of the phenomenon of piston transverse crack in crushing hammer, the paper analyzes the transverse crack of piston, and puts forward a new heat treatment process of piston. The piston material was analyzed by using a hardness tester and a metallographic microscope. It is found that the material composition and metallographic structure at the location of the piston transverse crack failure are in line with the design requirements, while the hardness and hardened layer depth are lower than the design. Using Ansys, the maximum stress of the piston is 1229.8 MPa, which exceeds the yield limit of the material by 850 MPa, and the maximum stress is located at the transverse crack of the piston. Fluent was used to solve the radial unbalance force on the piston. The maximum radial force and the minimum radial force in the oil return groove of the piston were 3408 N and 10 N. In the oil inlet groove of the piston, the maximum radial force is 15675 N and the minimum radial force is 73 N. The results show that the "stuck" phenomenon formed by the radial unbalanced force is the main reason for the transverse crack of the piston. A new heat treatment process such as extending the carburizing time of piston and increasing the number of times of piston straightening during heat treatment is proposed. The durability test shows that the proposed process can effectively solve the problem of piston transverse cracking.

Remaining life prediction of engine by improved similarity with interval partition
ZHAO Hongli, BAI Lingde
2024, 50(10): 3005-3012. doi: 10.13700/j.bh.1001-5965.2022.0762
Abstract:

The traditional similarity matching method is liable to introduce pseudo-similar engines, which leads to low prediction accuracy. To address this issue, a remaining useful life (RUL) prediction method of improved similarity with interval partition was proposed, which combined the engine performance degradation characteristics and similarity matching characteristics. Firstly, the health index was constructed based on the selected parameters by using the stacked autoencoder. Then, based on the known running cycles of the test engine, the interval was divided, and the traditional similarity matching method was used for preliminary screening. For the test engines in different intervals, the uncertainty correction and degradation consistency test were performed to remove the abnormal engine from the preliminarily selected reference engines, and the final remaining life prediction results were obtained. The C-MAPSS dataset of NASA was used for verification, and the results show that the prediction accuracy is 34% higher than the current similarity matching method, which proves the effectiveness of the proposed method.

Analysis of effect of construction process on electrical properties of composite skins
YANG Zhangang, KE Zhongshu, YANG Xuwei, BAO Xingwang
2024, 50(10): 3013-3020. doi: 10.13700/j.bh.1001-5965.2022.0763
Abstract:

Composite materials are increasingly used in modern commercial aircraft skin. However, the poor conductivity makes it necessary to have additional conductive structures to ensure the current flow in the skin. In order to improve the conductivity of the skin and reduce the influence of the bonding between the composite material and the conductive structure on the current path, the skin structure was modeled based on the electrical characteristics of each component structure, and the construction process that may affect the bonding was analyzed by using the analytical method. In view of the changes in the current in the contact surfaces and the overall structural impedance caused by different construction processes applied at different parts of the skin, the influence of the construction process of each structure during assembly on the electrical characteristics of the aircraft skin bonding structure was analyzed. Theoretical analysis and simulation results show that the appropriate construction process, especially the correct treatment of the resin and oxide film of metal connection on the skin surface, can effectively reduce the influence of overall structural impedance on the electrical performance of the skin and provide some operational suggestions in site-oriented construction.

Adaptive layered fusion algorithm for infrared and visible video based on possibility theory
JI Linna, GUO Xiaoming, YANG Fengbao
2024, 50(10): 3021-3031. doi: 10.13700/j.bh.1001-5965.2022.0765
Abstract:

The current infrared and visible video fusion model cannot dynamically adjust the fusion strategy according to the difference between videos, resulting in poor fusion effect or even failure. To address this issue,an adaptive layered fusion algorithm for infrared and visible video based on possibility theory was proposed. First, the magnitudes of various difference features of the region of interest in each frame of the video sequence were calculated, and the main difference features corresponding to each frame were obtained. Secondly, a layered fusion framework was built to determine the variables of each layer. The fusion effectiveness of different variables for each difference feature was calculated based on cosine similarity, and the possibility theory was used to construct the corresponding fusion effectiveness distribution.Then, the fusion effect of different variables for various difference features was analyzed layer by layer, and the optimal variable of each layer was selected. Finally, the adaptive layered fusion of infrared and visible video was realized through the optimal combination of variables. The experimental results show that the method in this paper has achieved remarkable fusion results in preserving typical infrared targets and visible structural details, and it is superior to other single fusion methods in quantitative analysis and qualitative evaluation.

Configuration optimization of wind/photovoltaic hydrogen production system at frontier sentries
QI Haitao, LIU Duo, ZHAO Dong’ao, LIU Xu
2024, 50(10): 3032-3041. doi: 10.13700/j.bh.1001-5965.2022.0770
Abstract:

In order to solve the problems of the remote location of frontier sentries, complex environment, large energy demand, and high cost of access to the electricity network, the complementary nature of wind/photovoltaic resources, as well as the high energy density and green and clean characteristics of hydrogen energy were used to establish a wind/photovoltaic hydrogen production system with wind and solar energy as the main power generation energy. In addition, hydrogen energy was selected as the energy storage unit of the system to meet the demand for energy diversity of frontier sentries and improve the sentries eability to obtain energy from the surrounding environment. Firstly, the mathematical model of each subsystem of the wind/photovoltaic hydrogen production system was established, and the system construction configuration was optimized to reduce the system cost, improve the utilization rate of renewable energy, and increase hydrogen energy production. The rated power of each component of the system was chosen as the design variable, and the meteorological data of specific regions was used as input. The non-dominated sorting genetic algorithm-Ⅲ (NSGA-Ⅲ) was applied to solve the system, and decision-making was performed on the Pareto solution set obtained by optimization.The visualization of the multi-dimensional Pareto front was realized through the drawing of level diagrams, and the optimal configuration scheme was compared with the unoptimized configuration scheme, the energy utilization rate and configuration cost can be greatly improved while ensuring the reliability of power supply.

Storage and transfer method of airport pavement structure information model based on IFC standard
CAI Jing, WANG Hanxue, DAI Xuan, LI Yue, MA Lei
2024, 50(10): 3042-3053. doi: 10.13700/j.bh.1001-5965.2022.0815
Abstract:

To address the issues of information transfer and data sharing in the full-life-cycle building information modeling (BIM) application of the airport runway system, the industry foundation classes (IFC) standard was extended to the airport pavement structure. The IFC entity framework of the airport runway system was summarized. Besides, the rigid runway pavement entity considering the operation and maintenance stage was proposed. The graphical information and non-graphical information of the proposed entity were expanded. In addition, an analysis was conducted on the rate of attribute information loss during information model transfer, as well as the most effective way to add and transmit attribute information using the IFC standard. The study shows that the model based on the uniform IFC standard can transfer and share information about airport runway systems effectively. The information loss rate of the family parameter extension method during runway pavement model transfer is as high as 84.21%. The IFC file extension method can ensure the model information integrity during the first transfer process. However, the model information is lost during repeated transfer. A proposed method, combining both the family parameter extension and IFC file parsing, can achieve the model information integrity during the first transfer. In addition, the information loss rate is less than 16.7% during the second transfer. The information loss rate is also influenced by different versions of the IFC standard. It is necessary to extend the IFC entity in the airport domain. As a whole, the proposed information transfer method is appropriate for airport runway lifecycle information management. The research can provide support for the establishment of a new IFC entity in the airfield area, and make a technical reference for digital airport construction.

Influence of layover length and flight direction on pilots’ alertness
LI Jingqiang, HU Chao, ZHANG Xining, ZHANG Lu, LIU Annan
2024, 50(10): 3054-3061. doi: 10.13700/j.bh.1001-5965.2022.0777
Abstract:

Survey based on the fatigue risk management system has been conducted at an unprecedented speed in the global aviation industry. During the quarantine exemption period, data such as subjective ratings, objective tests, and sleeping information were collected from 64 pilots of international flights exempted from quarantine under different layover lengths in actual operation mode. The SPSS27.0 software, correlation analysis, and analysis of variance of repeated measures were used to deeply analyze the influence of different layover lengths and flight directions on the alertness of pilots of international flights exempted from quarantine. Correlation coefficient diagrams and half violin plots were painted by Origin software. The results show that when the layover length is 1–2 h, the alertness level of pilots of international flights exempted from quarantine is significantly lower. The alertness level of pilots of eastward flights is lower than that of westward flights. These findings can help airlines monitor and analyze the alertness of pilots of international flights exempted from quarantine during the quarantine exemption period and provide references for strengthening the protection measures for layover flights.

Service performance assessment method of single frequency SBAS
JIN Biao, LI Rui, WANG Dun, LIU Lei, YUAN Jinxu, LI Zixiao
2024, 50(10): 3062-3073. doi: 10.13700/j.bh.1001-5965.2022.0785
Abstract:

Dual frequency ionosphere-free observations are usually applied to evaluate the satellite based augmentation system (SBAS) user differential range error (UDRE) integrity with the drawback of noise amplification. Instead, a range domain integrity method is proposed to assess the combined effect of SBAS ionospheric corrections, ephemeris and clock corrections. 240 days data of from 100 international global navigation satellite system(GNSS)service (IGS) stations are employed to evaluate the service performance of wide area augmentation system (WAAS) and European geostationary navigation overlay service (EGNOS). Results show that: The grid ionospheric vertical error (GIVE) integrity of WAAS and EGNOS achieves 99.96% and 99.91% respectively and the accuracy of ionospheric correction is 0.56 m. The range domain integrity of WAAS and EGNOS is better than 99.999% and the GPS user range error (URE) after applying the corrections achieves 0.34 m. For WAAS, the 95% horizontal and vertical positioning error is 1.19 m and 1.72 m, whereas for EGNOS, it is 1.18 m and 1.68 m. During the test, there were no integrity risk events. It is confirmed that it is feasible to evaluate the SBAS performance—particularly the integrity—using a geodetic receiver. The average availability of positioning accuracy for WAAS during approach with vertical guidance I (APV-I) is 99.9%, while for approach with vertical guidance II (APV-II), it ranges from 80% to 95% within the center of the service area. The average availability of positioning accuracy for APV-I of EGNOS is 99.9%, and for APV-II, it is 94.2%, indicating a higher level of availability, largely because most of the EGNOS assessment stations are located in the center of the service area. The SBAS availability noticeably decreases at the edge of the service area.

Numerical study on flow and heat transfer of supercritical carbon dioxide under non-uniform heat flux influences
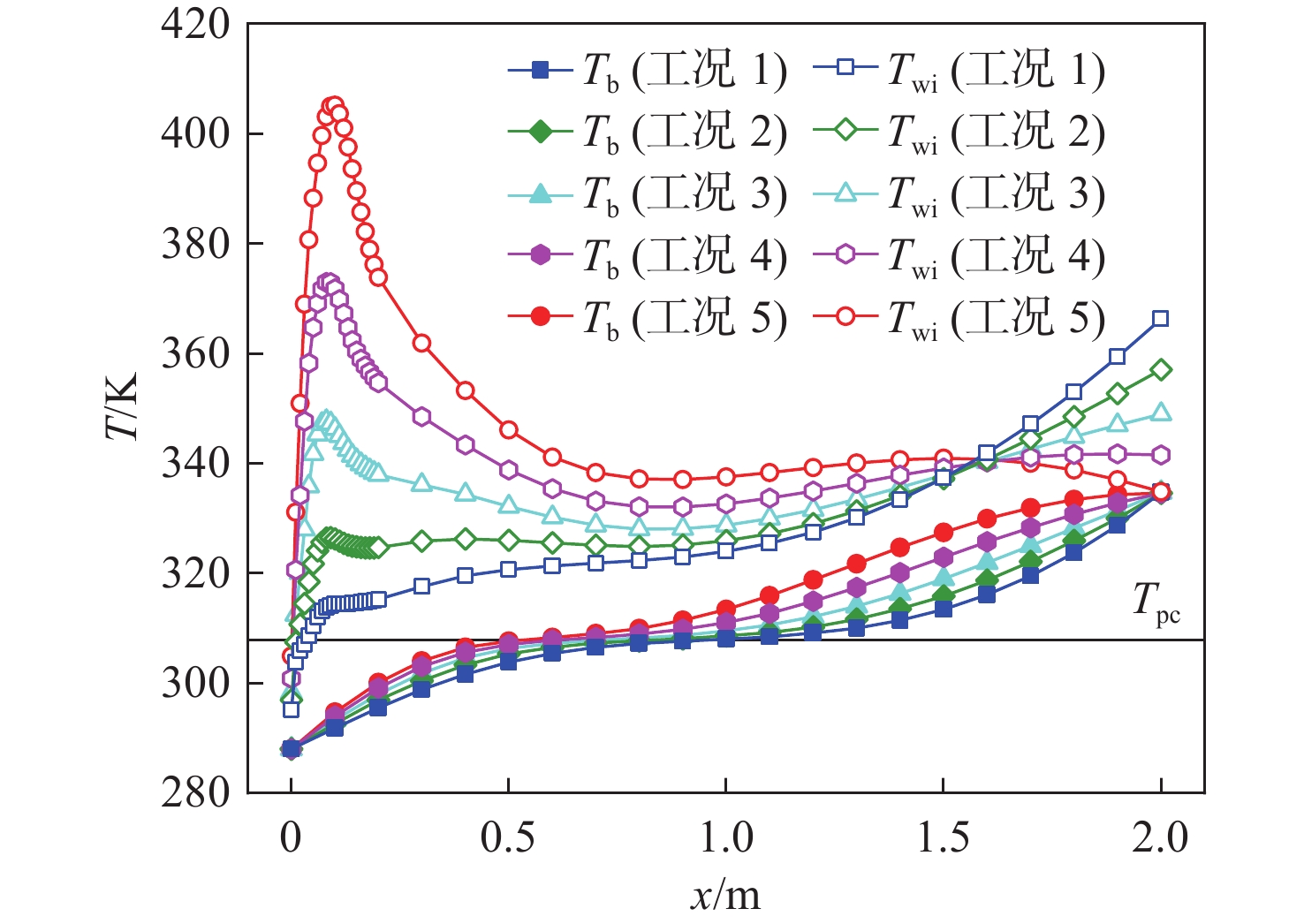
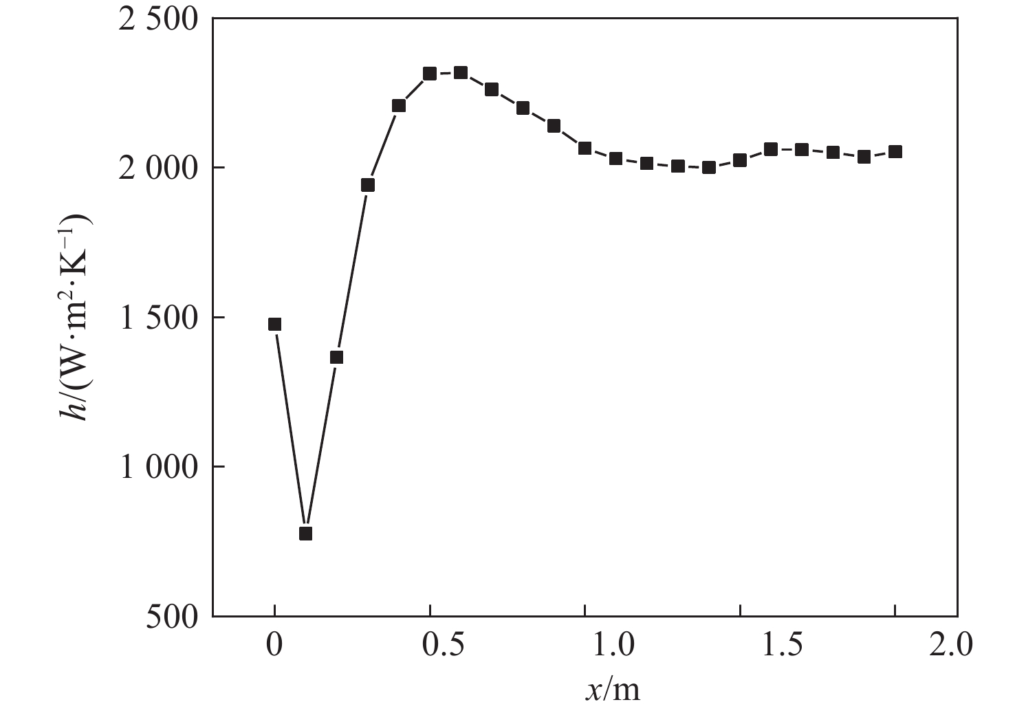
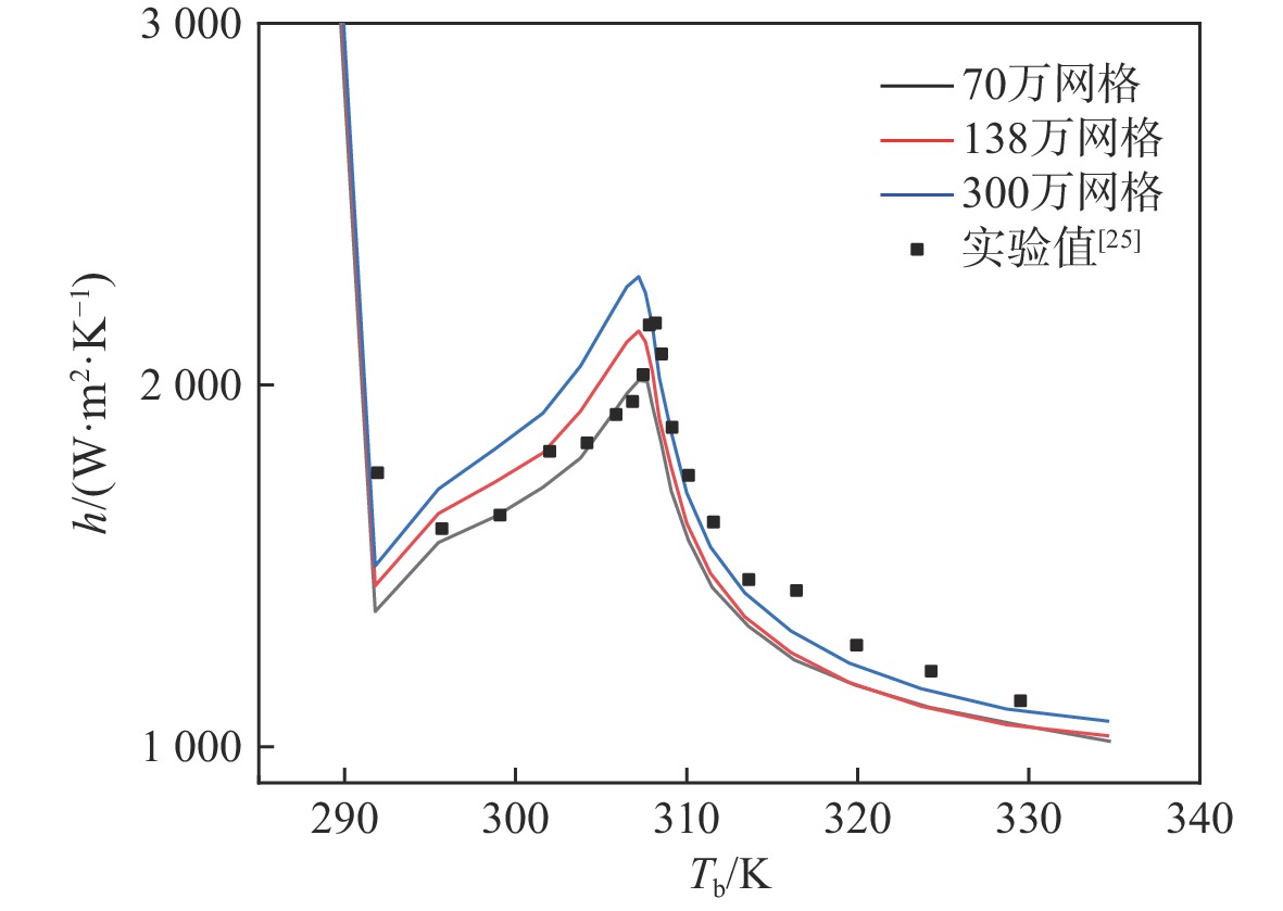
DAI Wei, SHI Shenzhou, FU Yanchen, ZUO Yang
2024, 50(10): 3074-3083. doi: 10.13700/j.bh.1001-5965.2022.0769
Abstract:

In some extreme conditions, heat flux with high density is non-uniformly distributed on the surface. To address this issue, this paper analyzed the influence of non-uniform heat flux on the flow and heat transfer characteristics of supercritical carbon dioxide by employing numerical calculation and analysis methods. Numerical simulations were sequentially performed to analyze the flow and heat transfer of supercritical carbon dioxide in a horizontal circular tube with a diameter of 4 mm under two sets of linear non-uniform heat flux conditions including the same total heat flux with different slopes, as well as different total heat fluxes with the same slope. The influence of the distribution of thermophysical properties and buoyancy lift on the convective heat transfer characteristics under linear non-uniform heat flux conditions was obtained. The simulation results show that the heat transfer of the upper wall near the entrance of the heating section under non-uniform heat flux conditions severely deteriorates compared with that under uniform heat flux. The maximum tube wall temperature under linear non-uniform heat flux is 1.66 times that under uniform heat flux. Furthermore, numerical simulations of flow and heat flux of supercritical carbon dioxide on a given actual surface heat flux boundary are carried out, and the maximum tube wall temperature at the entrance of the heating section is 3.41 times that at the outlet, while the ratio decreases to 1.50 when the flow direction changes. Relevant suggestions are offered for cooling solutions using supercritical carbon dioxide as a working medium.

Software security vulnerability patterns based on ontology
HU Xuan, CHEN Junming, LI Haifeng
2024, 50(10): 3084-3099. doi: 10.13700/j.bh.1001-5965.2022.0783
Abstract:

This paper studies the lifetime of software security vulnerabilities under the DevSecOps framework aiming at the conceptual confusion problem of research on software errors and software security vulnerabilities. This work provides a definition of software security vulnerability pattern together with vulnerability characteristics, and uses ontology to represent it. It is based on four scenarios of introducing vulnerabilities in the life cycle of software security vulnerabilities. An ontology is an explicit specification of a conceptualization, which can solve the problems of ambiguity, inconsistency, difficulty in sharing, and excessive dependence on personnel knowledge and experience caused by the dispersion of analysis knowledge in the field of software security vulnerability research. A three-layer model for vulnerability analysis is built, comprising the event representation layer, behavior action layer, and vulnerability technology layer, based on the study of software security vulnerability patterns and accounting for the macro event performance. The example application implements penetration testing according to the hierarchical structure of the bulit model, including security risk analysis, threat modeling, vulnerability analysis, and penetration attacks. The experimental results show that the improved penetration testing method based on the software security vulnerability pattern ontology library proposed in this paper is scientific and effective.

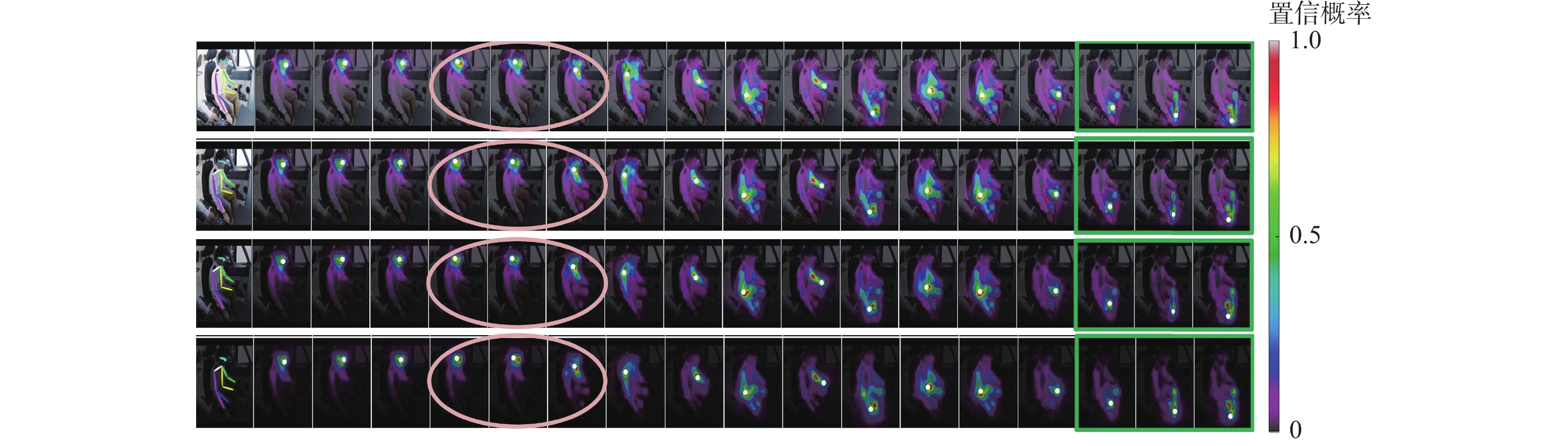
Vision Transformer-based pilot pose estimation
WU Honglan, LIU Hao, SUN Youchao
2024, 50(10): 3100-3110. doi: 10.13700/j.bh.1001-5965.2022.0811
Abstract:

Human pose estimation is an important aspect in the field of behavioral perception and a key technology in the way of intelligent interaction in the cockpit of civil aircraft. To establish an explainable link between the complex lighting environment in the cockpit of civil aircraft and the performance of the pilot pose estimation model, the visual Transformer-based pilot pose (ViTPPose) estimation model is proposed. In order to capture the global correlation of subsequent higher-order features while expanding the perceptual field, this model employs a two-branch Transformer module with several coding layers at the end of the convolutional neural networks (CNN)backbone network. The coding layers combine the Transformer and the dilated convolution. Based on the flight crew’s standard operating procedures, a pilot maneuvering behavior keypoint detection dataset is established for flight simulation scenarios. ViTPPose estimation model completes the pilot seating estimation on this dataset and verifies its validity by comparing it with the benchmark model. The seating estimation heatmap is created in the context of the cockpit’s complicated lighting to examine the model’s preferred lighting intensity, evaluate the ViTPPose estimation model’s performance under various lighting conditions, and highlight the model’s reliance on various lighting intensities.

Influence of crosswind on helicopter brownout
TAN Jianfeng, YANG Yuxiao, ZHANG Weiguo, WANG Shixiong, LYU Lin
2024, 50(10): 3111-3122. doi: 10.13700/j.bh.1001-5965.2022.0794
Abstract:

The complex interaction flow between the helicopter rotor and ground induced the movement of sand particles in the sand bed and then yielded helicopter brownout. However, a crosswind will change the rotor-ground interaction flow field, and influence the brownout. Therefore, a crosswind is coupled into the helicopter rotor-ground aerodynamic model based on viscous vortex particles to consider the influence of the crosswind on the rotor-ground interaction flow field. In order to take into account how the crosswind affects sand movement, the air force caused by the crosswind is also incorporated to the sand particle dynamic model based on DEM. Then, the effect of the crosswind on the process of helicopter brownout at forward flight is analyzed, and the influences of velocity, and direction of the crosswind on the brownout are also investigated. Results show that the crosswind has a significant influence on the helicopter brownout, the density of dust cloud obviously increases with the crosswind at the port side, and it is restrained at forward flight. The density of the dust cloud firstly increases and then decreases with increasing the velocity of crosswind at the port side.

Evaluation method of H2O penetration depth of drying reactor based on temperature gradient
ZHANG Yongping, BIAN Qiang, YANG Runze, ZHANG Zhen, BAI Panfeng
2024, 50(10): 3123-3130. doi: 10.13700/j.bh.1001-5965.2022.0764
Abstract:

There is no direct evaluation method for the H2O penetration depth of the drying reactor in the CO2 removal system in the space station. Therefore, an indirect evaluation method based on the temperature gradient characteristics of the temperature sensor inside the drying reactor was proposed. Since silica gel has the physical characteristic of releasing heat while adsorbing H2O and absorbing heat while desorbing H2O, the variation characteristics of the temperature sensor data curve in the adsorption and desorption cycles under different boundary conditions were analyzed by considering the depth position of the temperature sensor in the drying reactor. The index set and evaluation method reflecting the H2O penetration depth of the drying reactor were proposed, and the proposed method is verified in the closed chamber test of the system, the verification results show the rationality of the index set and the effectiveness of the evaluation method.

Power equipment defect prediction based on temporary knowledge graph
JI Xin, WU Tongxin, YANG Zhiwei, YU Ting, LI Junting, HE Yude
2024, 50(10): 3131-3138. doi: 10.13700/j.bh.1001-5965.2022.0801
Abstract:

Power system management now includes monitoring power equipment operation, which is crucial given the growing size of power facilities. Defect prediction of power equipment is a key step in power system operation monitoring. In order to solve the problem of defect prediction for power equipment in large-scale power systems, we propose a defect prediction model for power equipment based on a temporary knowledge graph. The attention mechanism fuses the multimodal data, and the relationship-aware graph neural network and recurrent neural network are then employed to extract the temporal representation of entities and relations. Finally, we perform defect prediction of power equipment based on the temporal representation. The method proposed in this paper can make full use of multimodal information to improve the accuracy of power equipment defect prediction. Experimental results show that the model has considerable performance improvement compared to the baseline model.

Compound fault diagnosis of planetary gearbox based on RSSD-CYCBD by adaptive parameter optimization
SUN Huanyu, YANG Zhipeng, WANG Yiwei, GUO Qi
2024, 50(10): 3139-3150. doi: 10.13700/j.bh.1001-5965.2022.0773
Abstract:

The coupling of multiple vibration sources of planetary gearboxes results in difficulty in identifying fault sources, and weak fault features are easily masked by noise and strong fault features. In addition, signal attenuation caused by the propagation path causes weak fault features. To address these issues, a multi-fault coupled signal separation and diagnosis method for planetary gearboxes utilizing resonance-based sparse signal decomposition (RSSD) by adaptive parameter optimization and maximum second order cyclostationary blind deconvolution (CYCBD) was proposed. According to the different resonance properties of bearing faults and gear faults, the multi-fault coupled signal was divided into high resonance components containing gear fault features and low resonance components mainly containing bearing fault features by RSSD. Then, the two components were treated by the CYCBD to eliminate the influence of the propagation path and noise interference, so as to enhance and extract weak fault features. In particular, to solve the problems of difficulty in parameter optimization, dependence on artificial experience, and poor adaptation in RSSD and CYCBD, an adaptive parameter optimization method based on the squirrel search algorithm (SSA) was proposed, and a composite index integrating kurtosis of envelope spectrum, root mean square of autocorrelation function maximum, and characteristic frequency ratio was designed as an optimization objective. Finally, envelope demodulation was performed on the deconvolved signal to extract the fault feature frequency and identify different fault sources. The effectiveness and feasibility of the proposed algorithm were verified by the multi-fault simulation signal and the measured signal of the planetary gearbox. Moreover, the proposed method was integrated into edge computing equipment to provide solutions for state detection and diagnosis, as well as remote operation and maintenance of rotating machinery such as planetary gearboxes.

Trajectory programming method of gliding-guided projectiles for penetration
YIN Qiulin, CHEN Qi, WANG Zhongyuan, WANG Qinghai
2024, 50(10): 3151-3161. doi: 10.13700/j.bh.1001-5965.2023.0049
Abstract:

Aiming at the problem of gliding-guided projectile penetration schemes in inevitable threat areas, mathematical models of the enemy’s defense are established from the perspective of quantifying the threat value. Based on the model, a cost function with the lowest comprehensive threat value in the whole process is designed. To accomplish the best possible matching of the initial trajectory inclination, deflection angle, rocket ignition time, gliding start time, and other parameters over the course of the flight, a multi-stage full trajectory planning model is created. Then, the hp adaptive pseudo-spectral method is used to transform the optimal control problem into a nonlinear programming problem. The evading effect of the projectile on target defense is verified by simulation, and the factors affecting the effectiveness are analyzed. The proposed method’s advantages over conventional trajectory programming techniques are also examined.

Vehicle gravity anomaly measurement methods based on SINS/OD/altimeter
LI Xinyu, ZHANG Zhili, ZHOU Zhaofa, CHANG Zhenjun, ZHAO Zhiqian
2024, 50(10): 3162-3171. doi: 10.13700/j.bh.1001-5965.2022.0766
Abstract:

Vehicle gravimetry is carried out along the surface of the earth. Its slow speed and flexible maneuverability can provide favorable conditions for high-precision ground gravimetry. Due to its heavy dependence on the global positioning system (GPS), traditional gravimetry on a moving pedestal cannot achieve complete autonomy. A new autonomous passive method based on strapdown inertial navigation system (SINS)/odometer (OD)/altimeter integrated navigation was proposed to measure vehicle gravity anomaly. The integrated navigation system provided high-precision specific force, attitude, and carrier acceleration. The barometric altimeter was used to suppress the divergence of the altitude channel, and the gravity information could be obtained by the direct difference method. Then, the measurement accuracy of the four methods, namely, position (SINS/DR), velocity (SINS/OD), position velocity (SINS/DR/OD), and traditional SINS/GPS, was compared, and the influence of measurement selection on the measurement effect of the method proposed was analyzed. The results of repeated measurement line simulation and single measurement line vehicle experiment show that the method proposed can achieve fully autonomous vehicle gravity anomaly measurement, and it has general accuracy advantages over the traditional SINS/GPS method. In addition, the SINS/OD and SINS/DR/OD measurement accuracy is not much different and is better than the SINS/DR measurement method.

Rolling maneuver load alleviation of aircraft with continuously variable-camber trailing edge
LEI Chaohui, YANG Chao, SONG Chen, JIN Tianyi, WU Zhigang
2024, 50(10): 3172-3182. doi: 10.13700/j.bh.1001-5965.2022.0772
Abstract:

The variable-camber trailing edge is frequently used in new concept aircraft design because of its advantages of continuous deformation, less resistance, and low aerodynamic noise. A rigid-elastic coupling dynamics modeling method based on the variable-camber trailing edge was proposed, and rolling maneuver simulation analysis and wind tunnel test were carried out using a scale model of aircraft with the variable-camber trailing edge. The results show that the variable-camber trailing edge can maneuver the aircraft to roll 180° within 2 s. Additional rolling maneuver load can be reduced by more than 30% through cooperative inner and outer trailing edge deformation compared to outer trailing edge deformation alone. In addition, a comparative study shows that the error between rolling maneuver simulation results and wind tunnel test data is less than 6%, which confirms the accuracy of the established theoretical model.

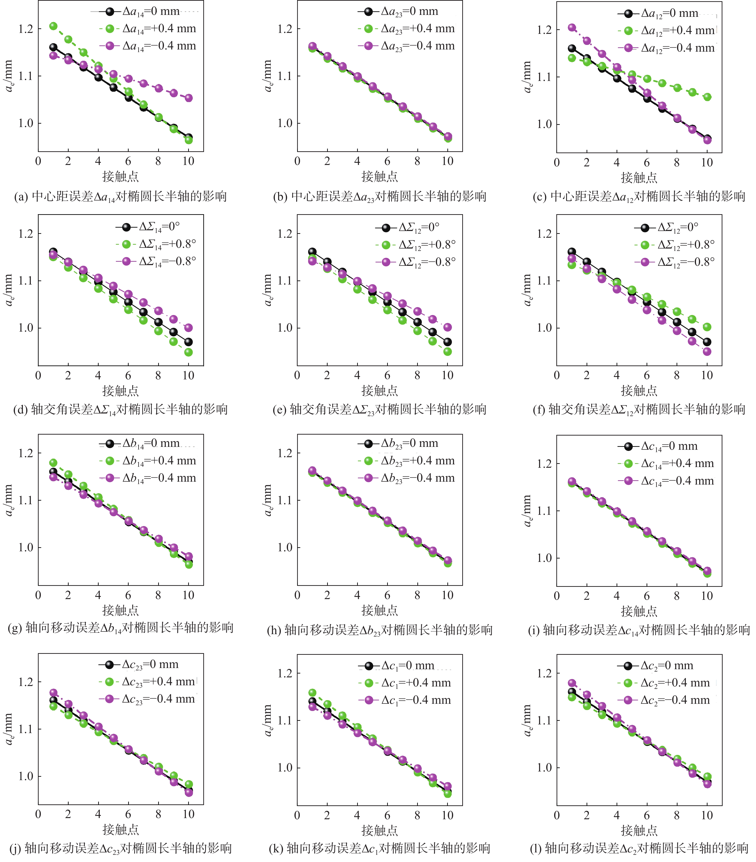
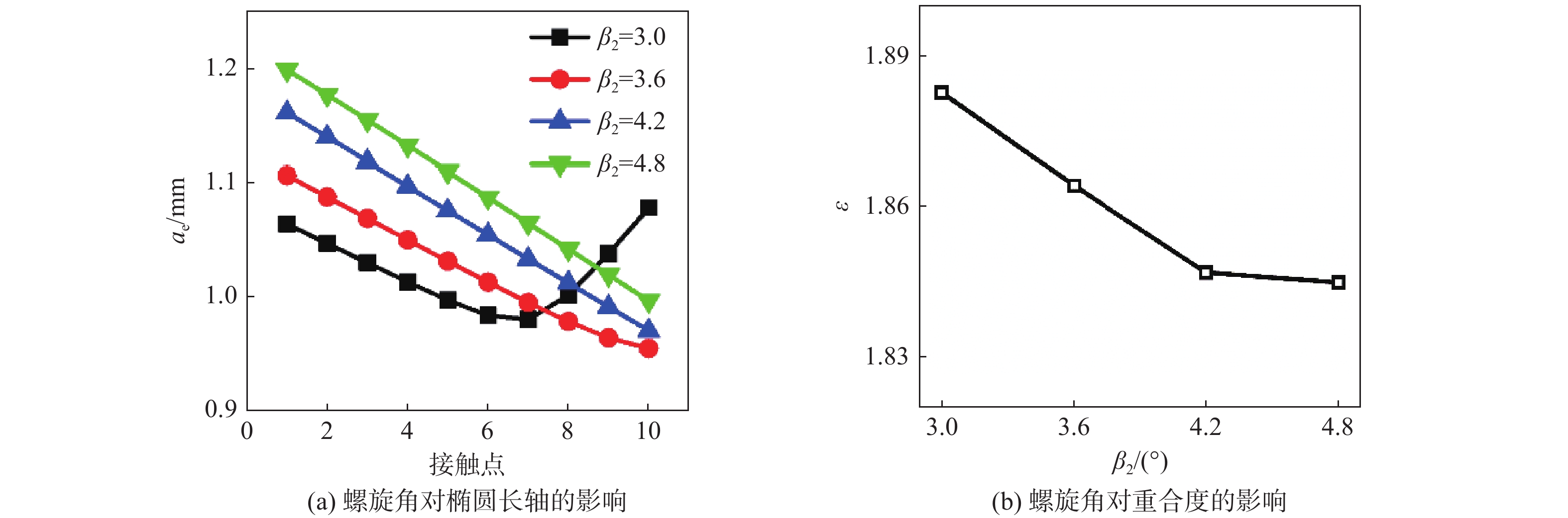
Meshing theory and performance analysis of point-contact conjugate involute worm gear pair
REN Wen, LI Jie, WANG Tianyu, LI Haitao
2024, 50(10): 3183-3195. doi: 10.13700/j.bh.1001-5965.2022.0778
Abstract:

Point-contact conjugate involute worm drive can reduce the sensitivity of the worm gear pair to manufacturing and assembly errors and ensure transmission accuracy. On the basis of differential geometry and gear meshing theory, this paper constructed a mathematical model of point-contact conjugate involute worm drive containing manufacturing and assembly errors, studied the influence of main design parameters such as helix angle, modulus, and pressure angle on the meshing performance, and analyzed the sensitivity of the worm gear pair to manufacturing and assembly errors. Finally, the distribution of the contact area was verified through simulation. The results show that the instantaneous drive ratio of the worm gear pair remains constant with manufacturing and assembly errors. The selection of a moderate helix angle, a small modulus, and a small pressure angle will increase the contact area and raise the contact ratio of the worm gear pair. The worm gear pair is insensitive to manufacturing and assembly errors, but the manufacturing and assembly errors of crossed axis angle should be minimized or avoided. The contact area and contact ratio obtained from the simulation analysis agree with the theoretical calculations, verifying the correctness of the theory.

Threat assessment of radar radiation sources based on behavioral characteristics
WANG Jundi, WANG Xing, TIAN Yuanrong, CHEN You
2024, 50(10): 3196-3207. doi: 10.13700/j.bh.1001-5965.2022.0848
Abstract:

This paper studies the problem that the current radar radiation source threat assessment algorithm relies heavily on accurate reconnaissance data. Firstly, a radiation source threat assessment system based on behavior characteristics is constructed, starting from the radiation source target behavior characteristics and data fusion theory. Also, fuzzy theory and Vague datasets are employed to represent each sub-behavior. A situational state function with distance as an independent variable is constructed by using the modified starting weight of interval gray correlation degree to solve the coupling between indicators and the high dynamics of air warfare. Finally, an improved radar map method is adopted to calculate the threat level of the threatening target. The simulation results show that the algorithm in this paper has good accuracy and adaptability.

High performance control method for galvanometer laser scanner system
ZHAO Jiakang, GUO Hong, XU Jinquan
2024, 50(10): 3208-3218. doi: 10.13700/j.bh.1001-5965.2022.0790
Abstract:

To improve the control performance, the digital-analog hybrid control with the extended state observer (ESO) and sliding mode control (SMC) is proposed for the galvanometer laser scanner in this paper. The digital-analog hybrid control scheme is first proposed, which adopts the digital controller and analog driver for the high-performance control algorithm implementation and eliminates the ripple current due to the pulse width modulation (PWM) chopping. Then the ESO and SMC based nonlinear control is proposed to enhance the control accuracy and dynamic performance of the galvanometer laser scanner regardless of various disturbances. According to the mathematical model of the galvanometer laser scanner, the stability of the system is verified by the Lyapunov stability criterion. The findings of the simulation and testing demonstrate that the suggested control can enhance the step response time of the 1% range by roughly 29.4% when compared to the proportion-integral-derivative (PID) controller, hence improving the system's dynamic performance. At the same time, the anti-interference ability and robustness can also be improved.

Aerial target automatic grouping method based on MDk-DPC
MA Yutang, SUN Peng, ZHANG Jieyong, YAN Yunfei, ZHAO Liang
2024, 50(10): 3219-3229. doi: 10.13700/j.bh.1001-5965.2022.0797
Abstract:

Air target grouping is a popular topic for research in the area of combat scenario assessment and can be thought of as essentially an uncountable class clustering issue. Aiming at the unknown air battlefield environment, a MDk-DPC algorithm based on manifold distance and k-nearest neighbor sampling density is proposed from the perspective of clustering. First, manifold distance is introduced to replace Euclidean distance to increase the similarity of objects in the same manifold. Secondly, the target's local density is determined using the k-nearest neighbors method, allowing the local density to more accurately represent the distribution surrounding the targets. Finally, an adaptive cluster center selection method is proposed to automatically determine cluster centers, and the DPC algorithm is used to specify the remaining point categories to complete the clustering. Simulation experiments show that the proposed method has better clustering performance on both artificial synthetic datasets and UCI real datasets. At the same time, the feasibility and effectiveness of the method are verified by clustering the simulated air battlefield data.

LEO satellite positioning method and simulation verification aided by airborne navigation equipment
XU Jianming, HUANG Zhigang, LI Rui
2024, 50(10): 3230-3238. doi: 10.13700/j.bh.1001-5965.2022.0759
Abstract:

Global navigation satellite system (GNSS) is easy to be deceived and jammed in a complex electromagnetic environment, while the low earth orbit (LEO) integrated communication and navigation satellite system has the advantages of high landing power and rapid constellation geometry changes, and it is a good emergency backup navigation source. However, most of the LEO satellite systems only have 1–2 satellites visible in the middle and low latitudes, which fail to realize real-time dynamic positioning. Therefore, a combined positioning algorithm based on airborne inertial navigation system (INS) and barometer assistance was proposed. The INS and barometer were used as pseudolites, and the problem of insufficient observability was solved by configuring atomic clocks. The algorithm used the LEO satellite observation data to correct the error of the INS. At the same time, an estimability index was proposed to measure the stability of the filter for solving the problem that the observability cannot be quantitatively analyzed. The simulation verification shows that the algorithm uses the LEO observation data to reduce the INS error by about 60% within nine minutes, and the positioning error can reach up to 50 meters, realizing real-time stable positioning. The proposed estimability index can measure the stability of the system.

Experiment on dynamic response alleviation of a wing with variable-camber flexible trailing edge
ZHANG Yuming, DAI Yuting, WEI Rukai, HU Yating, YANG Chao
2024, 50(10): 3239-3249. doi: 10.13700/j.bh.1001-5965.2022.0761
Abstract:

Morphing aircraft can significantly enhance the aerodynamic performance of the aircraft, and variable camber flexible trailing edge is one of the important ways to achieve this. To investigate the dynamic response characteristics and alleviation efficiency of the wing under the dynamic deflection of flexible trailing edge, a variable camber flexible trailing edge wing model was designed and a wind tunnel tests was conducted. The wing model consisted of a bending wing beam and six 3D-printed wing panels. Two variable-camber flexible trailing edge rudder surfaces were installed at the trailing edge of two wing panels. These two rudder surfaces were used for dynamic response excitation and dynamic response alleviation control, respectively. The variable-camber flexible trailing edge rudder surface was composed of a digital actuator, flexible cables, a corrugated plate structure, and a flexible polydimethylsiloxane (PDMS) skin. Ground static and dynamic deflection tests were carried out for the variable-camber flexible trailing edge, so as to investigate the camber deformation law of the trailing edge and the dynamic time-delayed characteristics of the actuator. On this basis, a low-speed wind tunnel test was carried out to investigate the dynamic response law of the wing with variable-camber flexible trailing edge and the dynamic response alleviation efficiency based on variable-camber flexible trailing edge and closed-loop feedback control. The wind tunnel test results show that the wing tip acceleration response and the wing root bending moment increase first and then decrease in the frequency range of 1.5–4 Hz, and it reaches the peak value when approaching the first bending frequency of the wing. After closed-loop feedback control by proportional-integral-derivative (PID) control law and variable-camber flexible trailing edge, the maximum alleviation efficiency of the wing tip acceleration and wing root bending moment is 70.18% and 68.14%, respectively, at a wind speed of 20 m/s and disturbance frequency of 2.2 Hz. A theoretical formula with positive dynamic response alleviation efficiency was proposed, and the influencing mechanism and factors of dynamic response alleviation efficiency were analyzed.

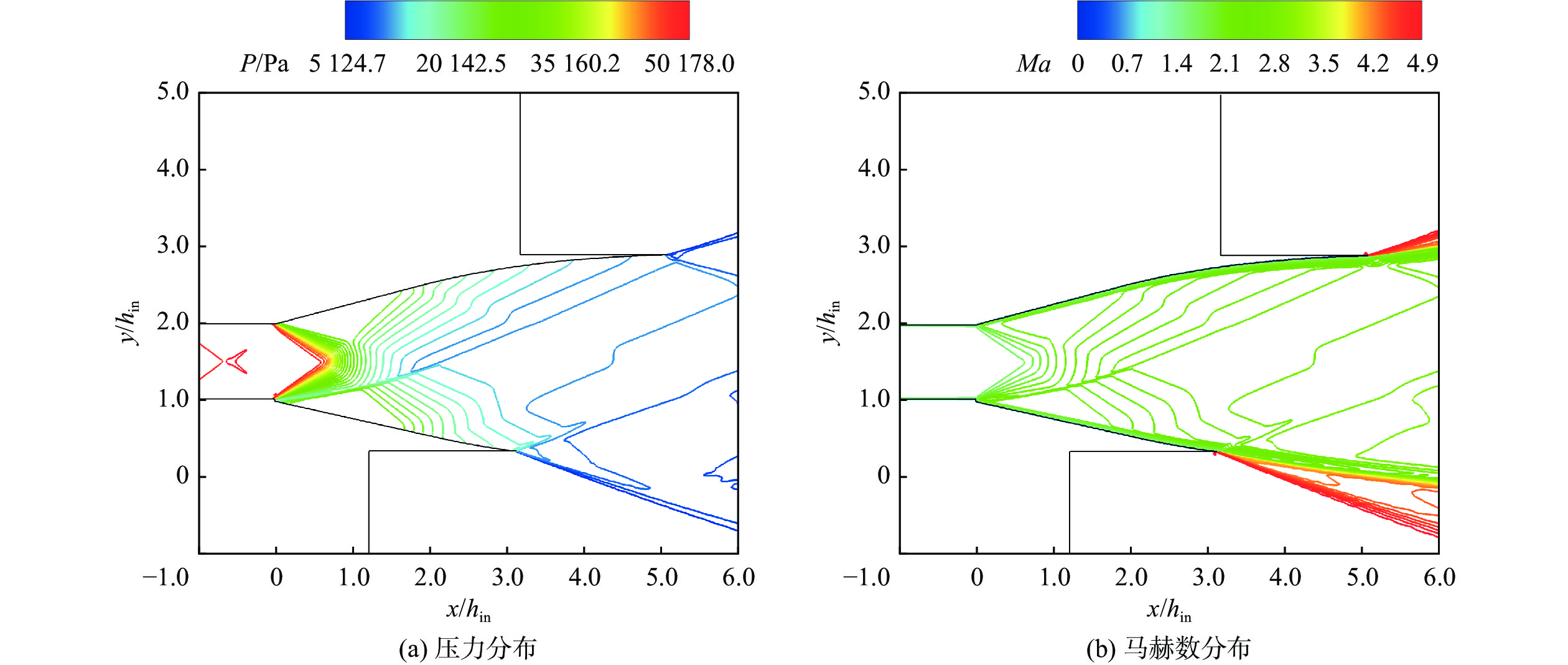
Influence of inlet corner wave system on performance of scramjet nozzle
CHEN Chong, GE Jianhui, XU Jinglei, SU Peng, YU Kaikai
2024, 50(10): 3250-3261. doi: 10.13700/j.bh.1001-5965.2022.0768
Abstract:

In order to explore the mechanism of the effect of inlet corner wave system on the wall pressure distribution of scramjet nozzle and investigate the influence of the inlet corner wave system on the performance of a scramjet nozzle, the numerical simulation and analysis of the influence of different corner waves and their intensity on the aerodynamic parameters of the nozzle were carried out. The effectiveness of the numerical method and the grid independence were verified. Different forward/backward steps were used to form the inlet corner wave system, and the influence of different wave systems and wave system intensities on the aerodynamic performance of the nozzle was studied. The results show that the inlet non-uniformity caused by the inlet corner wave system has a significant impact on the aerodynamic performance of the nozzle, in which the thrust coefficient can be increased by 13.98% at most when there is a backward step on the upper and lower walls, and the lift can be increased by 94.32% when there is a forward step on the lower wall. However, the pitching moment can be reduced by 35.47% at most when there is a forward step on the upper wall and a backward step on the lower wall. When there is a single-sided forward step at the nozzle inlet, the changing trend of lift and pitching moment is consistent with the increase in step height; when there is a single-sided backward step at the nozzle inlet, the conclusion is different. In addition, the influence of wall steps on nozzle performance is independent of each other and basically conforms to the linear superposition principle.

Smart contracts-as-a-service with on-chain and off-chain collaboration
LIU Haoyu, MA Zeqi, YE Yafei, HU Kai
2024, 50(10): 3262-3273. doi: 10.13700/j.bh.1001-5965.2022.0784
Abstract:

A smart contract is a software service on blockchain with the characteristics of value transfer, contractuality, and trustworthiness. The quantity of smart contracts on blockchain systems is currently rising, together with the application scope's expansion and the restrictions of conventional smart contracts' growing number. Isolated sandbox environment execution makes it difficult for smart contracts to interact with the outside world, and resources are limited, limiting the use scenarios and performance of smart contracts. At the same time, off-chain services have the risk of centralization and lack of trust mechanisms to protect them. We propose a Smart Contract-as-a-Service solution, which provides a method for on-chain contracts to collaborate with off-chain services. Through on-chain authentication of off-chain services, the service lifecycle is incorporated into blockchain management, so that it has the trustworthy characteristics of contract services and supports the registration, customization and combination of services. We proposes a communication and collaboration method based on transaction triggering and event-driven mechanisms, where smart contracts can be combined with extended services to construct workflows in the face of complex business scenarios or tasks with high resource demands. Empirical verification demonstrates that Smart Contracts-as-a-Service can significantly expand contract application scenarios and boost performance by shifting resource-intensive tasks from within the contract to computational extension services. The benefit of increased performance is positively correlated with the off-chain speedup ratio, for example, a 64% improvement in performance when performing multiplication of a 1200-dimensional matrix.

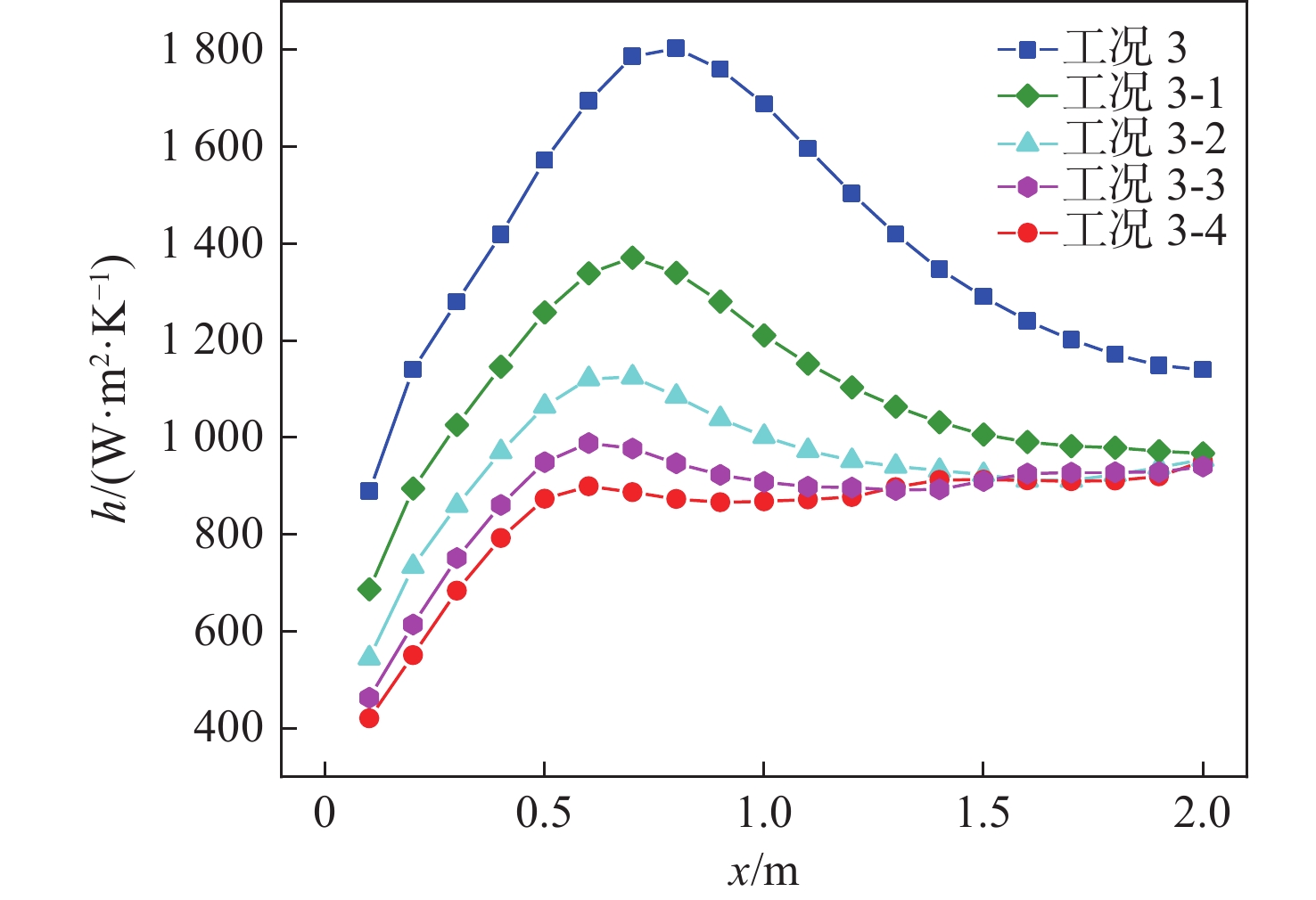
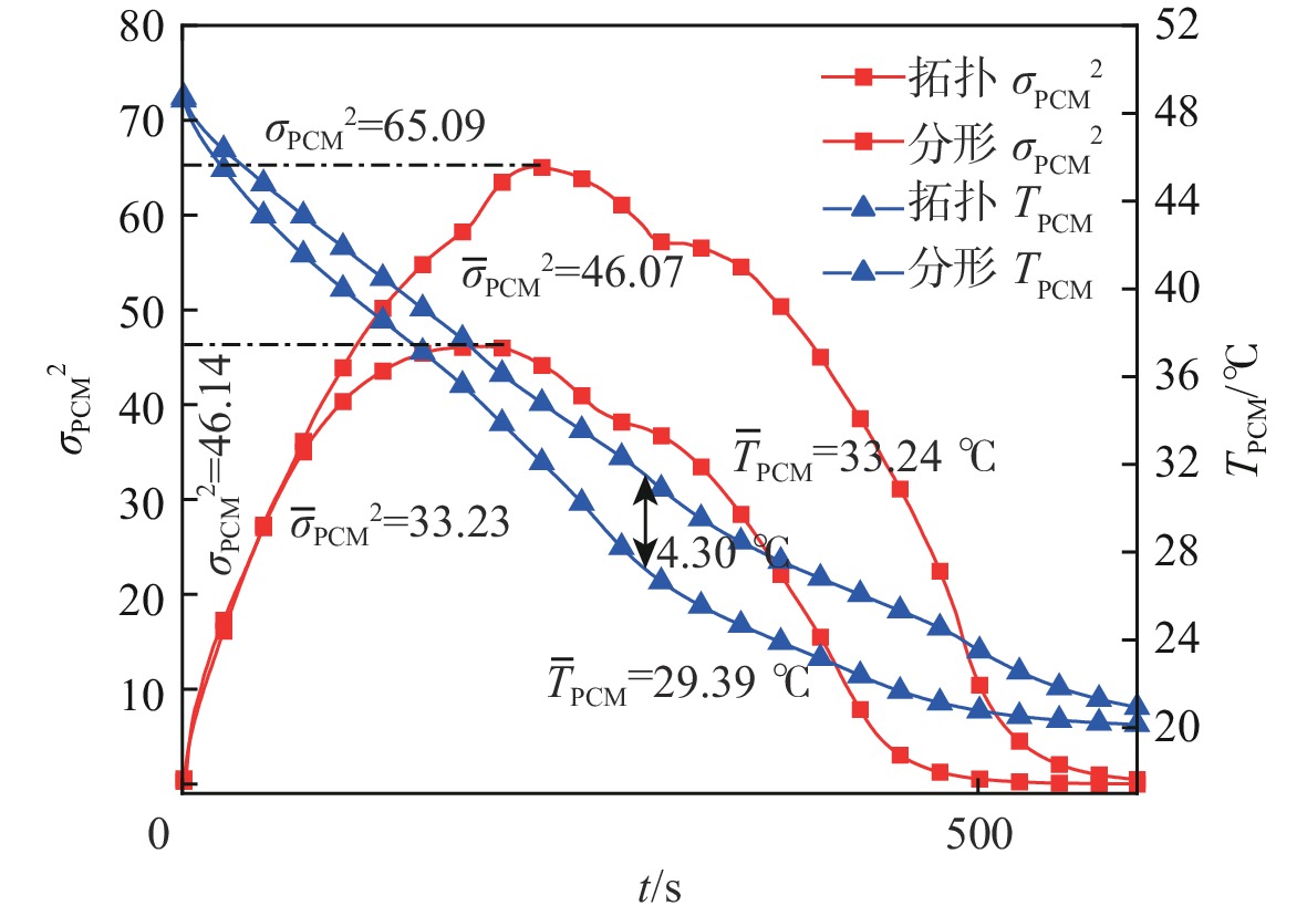
Study of performance of topological fin for phase change energy storage
YIN Jianbao, XING Yuming, WANG Shisong, YE Mengyan, WANG Zixian, HOU Xu
2024, 50(10): 3274-3282. doi: 10.13700/j.bh.1001-5965.2022.0803
Abstract:

In order to improve the temperature uniformity of the phase change material domain and the heat transfer rate of the finned tube energy storage system, two types of fractal structures and their corresponding fin volume fraction were used as design parameters, and lauric acid was used as the phase change material to carry out topology optimization design. This was done using the Solid Isotropic Material with Penalty method. The thermal conductivity enhancement and temperature uniformity of topology optimization are compared. The findings indicate that the topology optimization has a better thermal conductivity impact and can shorten the overall solidification time by 21.18% and 12.68%, respectively, when the wall temperature is 20 ℃. The phase change material temperature is reduced by 7.33 ℃ and 4.30 ℃, 0.98 ℃ and 3.85 ℃ on average. At the same time, the topology optimization also has better temperature uniformity, and the average variance of phase change material is 33.38% and 72.13% of the corresponding fractal, respectively. When the wall temperature deviates from the design parameters of the topology, the thermal performance does not change. This study provides some reference for fin design.

A consortium chain improvement model based on multi-chain collaboration
ZHAO Xianxian, TAN Haibo, ZHAO He, ZHOU Tong, CHENG Haotian, LI Jinze
2024, 50(10): 3283-3296. doi: 10.13700/j.bh.1001-5965.2022.0814
Abstract:

In recent years, blockchain technology has been developing rapidly, and It plays a critical role in fintech, supply chain, medical health, data security and other fields. Due to friendly supervision and excellent performance, the consortium chain has become China's first choice for government and commercial blockchain. However, it is usually faced with problems such as the small number of effective nodes, low node independence, and weak sustainable development ability, which reduces the system’s reliability. We suggest the alliance model, a blockchain approach that coordinates several consortium chains to increase system stability, in light of the aforementioned issues. The model stores data by overlapping each other between chains to reduce the possibility of data tampering and ensure data recovery. In addition, we use the methods of aggregated signature and data integrity verification to solve the problems of transmission data integrity and source authenticity. In order to verify the legitimacy of reciprocal endorsement of collaborative data and to check the continuation of the sent data, we also develop an existence verification method. To confirm its efficacy, this scheme's communication, storage, and computational usage are compared to those of the current techniques.