2023 Vol. 49, No. 2

Display Method:
Volume 2 Issue E-journal
Volume 49 Issue22023
iconDownload (35452) 1471 iconPreview
NNS distributed fusion estimator under multiple network constraints
ZHAO Guorong, GU Haolun, HAN Xu, GAO Chao
2023, 49(2): 229-241. doi: 10.13700/j.bh.1001-5965.2021.0225
Abstract:

For the distributed state fusion estimation problem of networked navigation system (NNS) with random communication delay and non-fixed packet loss rate under three network constraints, namely, node measurement gain attenuation, node energy limitation and system model uncertainty, the degree of node gain attenuation is described as a random variable with known statistical characteristics, and the system model uncertainty is described as a multiplicative colored color in the system matrix noise, the reduction of energy consumption of small cell network node is described as the reduction of the data transmission rate. To address the packet loss and delay issues, two distinct linear encoders are introduced at the target node and the adjacent node, respectively. In order to compensate the information loss caused by packet loss and transmission rate reduction, a function relationship between the non-fixed packet loss rate and the number of nodes transmitting information simultaneously is established. In order to solve the problem of information redundancy caused by communication delay, the target node linearly encodes multiple measurements from the same neighbor node in the same sampling period according to the time stamp. An augmented system model is established based on the new measurements added linearly at the end of the target node. The global fusion estimator form is obtained by utilizing the optimal matrix weighting approach, and the recursive form of the local unbiased estimation is generated by employing minimal variance. The sufficient conditions for the bounded covariance of the fusion estimation error and the suboptimal transmission rate are derived. Finally, an example is given to verify the effectiveness of the algorithm.

Conflict resolution strategy based on optimal dominating set of flight conflict networks
WU Minggong, BI Kexin, WEN Xiangxi, SUN Jikun
2023, 49(2): 242-253. doi: 10.13700/j.bh.1001-5965.2021.0233
Abstract:

As air traffic flow grows year by year, control pressure keeps rising and to find a resolution to flight conflict is increasingly difficult. This paper takes aircrafts as the nodes and establishes a flight conflict network based on the velocity obstacle relationship between aircrafts. Then, the concept of optimal dominating set is defined. By eliminating the nodes in the optimal dominating set of the flight conflict network, the conflict could be resolved quickly, thus reducing the complexity of the network. While particle swarm optimization (PSO) algorithm is used in solving the network optimal dominating set, the immune mechanism is introduced, with two types of antigens, node and edge, being set to ensure the priority resolution of critical aircraft and high-risk conflicts. Compared with traditional method, the conflict resolution strategy presented in this paper can quickly identify key aircraft nodes in the network, and has good sensitivity to high-risk conflict edges, which can offer controllers and control system more accurate and reliable information to achieve flight conflict resolution.

Mural inpainting with generative adversarial networks based on multi-scale feature and attention fusion
CHEN Yong, CHEN Jin, TAO Meifeng
2023, 49(2): 254-264. doi: 10.13700/j.bh.1001-5965.2021.0242
Abstract:

This study proposes a deep learning model for mural restoration based on generative adversarial networks with multi-scale feature and attention fusions, addressing insufficient feature extraction and detail loss of the existing deep learning image inpainting algorithms during reconstruction. Firstly, a multi-scale feature pyramid network is designed to extract feature information of different scales in mural images, which enhances the feature relevance. Secondly, using the self-attention mechanism and feature fusion module, a multi-scale feature generator is constructed to obtain rich context information and improve the restoration ability of the network. Finally, the minimal confrontation loss and the mean square error are introduced to promote the residual feedback of the discriminator, which completes the mural restoration by combining the feature information of different scales. The experimental results of digital restoration of real Dunhuang murals show that the proposed algorithm can effectively protect important feature information such as the edges and textures, and that the subjective visual effects and objective evaluation indicators are superior to those of the algorithms for comparison.

CFRP material detection based on improved joint sparse EIT algorithm
MA Min, YU Jie, FAN Wenru
2023, 49(2): 265-272. doi: 10.13700/j.bh.1001-5965.2021.0244
Abstract:

Aiming at the highly ill-posed problem of the application of electrical impedance tomography (EIT) to the damage detection of carbon fiber reinforced polymer (CFRP), a joint ${L_1}$ and ${L_2}$ norm sparse regularization functional model was proposed, and a new constraint is constructed to optimize the solution during the iterative process. The simulation results show that, compared with other traditional algorithms, the improved joint sparse EIT algorithm can effectively improve the electrode artifacts of the damage image, improve the clarity of damage edge, and enhance the accuracy of damage identification and location. The experimental results of CFRP laminate detection show that the improved joint sparse EIT algorithm can improve the anti-interference ability of the image reconstruction, and has good robustness and applicability.

Unsteady flow characteristics of turbine rotor passage under rim seal effect
HE Zhenpeng, ZHOU Jiaxing, XIN Jia, LIU Mingyuan, LI Baichun, ZHANG Guichang
2023, 49(2): 273-283. doi: 10.13700/j.bh.1001-5965.2021.0223
Abstract:

In order to study the influence of the rim seal between the turbine wheelspace on the downstream rotor passage, numerical simulations were performed on the flow field distribution and aerodynamic loss in the turbine rotor passage when unsealed cavity, unsealed air flow and different purge flow rates were employed. The research results show that the airflow at the exit of the sealed cavity is affected by the relative position change of the stator and the rotor, showing a strong unsteady characteristic, and the change is consistent with the motion period of the rotor. The unsteady fluctuation of the inlet position of the rotor is affected by the purge flow and the leading edge potential field. The purge flow causes circumferential and radial velocity changes as well as a strong unsteady effect. The deflection of the main flow in the end wall caused by the purge flow in the rotor passage changes the stagnation point of the horseshoe vortex on the leading edge and strengthens the pressure side leg of the horseshoe vortex. The shear induced vortex on the suction side of the blade changes the formation mechanism of the hub passage vortex, and the position of the suction side relative to the low pressure area.

Cooperative tactical recognition of dual-aircraft formation under incomplete information in BVR air combat
MENG Guanglei, ZHANG Huimin, PIAO Haiyin, ZHOU Mingzhe
2023, 49(2): 284-294. doi: 10.13700/j.bh.1001-5965.2021.0251
Abstract:

In the process of beyond-visual-range (BVR) air combat, due to the limitation of detection equipment performance and enemy interference, the target information is easy to get lost, which makes it difficult to identify the enemy’s cooperative air combat tactics in real time. A method of cooperative tactical recognition is proposed based on dynamic Bayesian network (DBN) and parameter learning. Firstly, the cooperative tactics of dual-aircraft formation in BVR air combat are analyzed. According to the functional tasks of leader and wingman, the current situation information and fighter maneuver, a DBN recognition model is established. Then, to improve the recognition rate of the model, the expected maximum parameter learning method is used to optimize the network parameters. Finally, based on the auto-regressive model, the missing target information is repaired, and the reasoning algorithm of cooperative tactical recognition under incomplete information is proposed. The simulation results show that the method of cooperative tactical recognition has high recognition accuracy and good real-time performance for cooperative tactics under incomplete information in BVR air combat.

An infrared small target detection network under various complex backgrounds realized on FPGA
ZHOU Hai, HOU Qingyu, BIAN Chunjiang, FENG Shuichun, LIU Yiteng
2023, 49(2): 295-310. doi: 10.13700/j.bh.1001-5965.2021.0221
Abstract:

The infrared (IR) small target detection algorithm with high detection rate, low false alarm rate and good real-time performance has important application value in the field of IR remote sensing. Traditional IR small targets detection algorithms cannot guarantee the detection performance due to the low contrast and low signal-to-noise ratio (SNR) of small targets under various complex backgrounds. Based on robust infrared small target detection network (RISTDnet) proposed, for more diverse target structure characteristics and higher real-time processing performance requirements, an enhanced infrared small target detection network (EISTDnet) and its field programmable logic gate array (FPGA) based high-performance parallel processing method are proposed. In EISTDnet, a multi-scale small target feature extraction framework that combines manual feature methods and convolutional neural networks is constructed, the size of the convolution kernel is normalized by the idea of multi-level expansion, and real-time processing performance in the inference stage is effectively improved through deep data reuse and multi-dimensional loop parallel unfolding. Experimental results show that the EISTDnet realized on a single FPGA can quickly detect small targets with different sizes and low SNR in various complex backgrounds in real time. Compared with the existing 5 algorithms, the average detection rate is increased by 49.5% with a low false alarm rate of 10−3. Compared with RISTDnet, the real-time processing speed is increased by 1.33 times, and the detection rate of low SNR strip small targets is increased by 29.4%. EISTDnet has better effectiveness and robustness.

An improved STPA for accurate identification of loss scenarios
ZHONG Deming, GONG Haoyuan, SUN Rui
2023, 49(2): 311-323. doi: 10.13700/j.bh.1001-5965.2021.0226
Abstract:

System-theoretic accident model and processes (STAMP), which considers system safety as an emergent property of systems, provides a more accurate accident/loss causality model for modern complex systems. System-theoretic process analysis (STPA), a new approach to risk analysis based on STAMP, is getting more and more attention and is now included in several international standards. However, STPA is mainly conducted manually, so it is difficult to identify the loss scenarios emerging in complex systems. In this paper, we clarify the concepts of unsafe control action (UCA), loss scenario, and process model, and use finite state machines to construct all the behaviors needed for the identification of either UCAs or loss scenarios. Meanwhile, Model checking technology is employed to identify loss scenarios for time-dependent and time-independent UCAs. The improved STPA is capable of accurate identification of loss scenarios, while reducing the probability of missed identification or false identification.

Application of pulse compression technique in steel plate corrosion detection with SH guided wave EMATs
SHI Wenze, HUANG Qikai, LU Chao, QIU Fasheng, CHEN Yao, CHEN Guo
2023, 49(2): 324-334. doi: 10.13700/j.bh.1001-5965.2021.0229
Abstract:

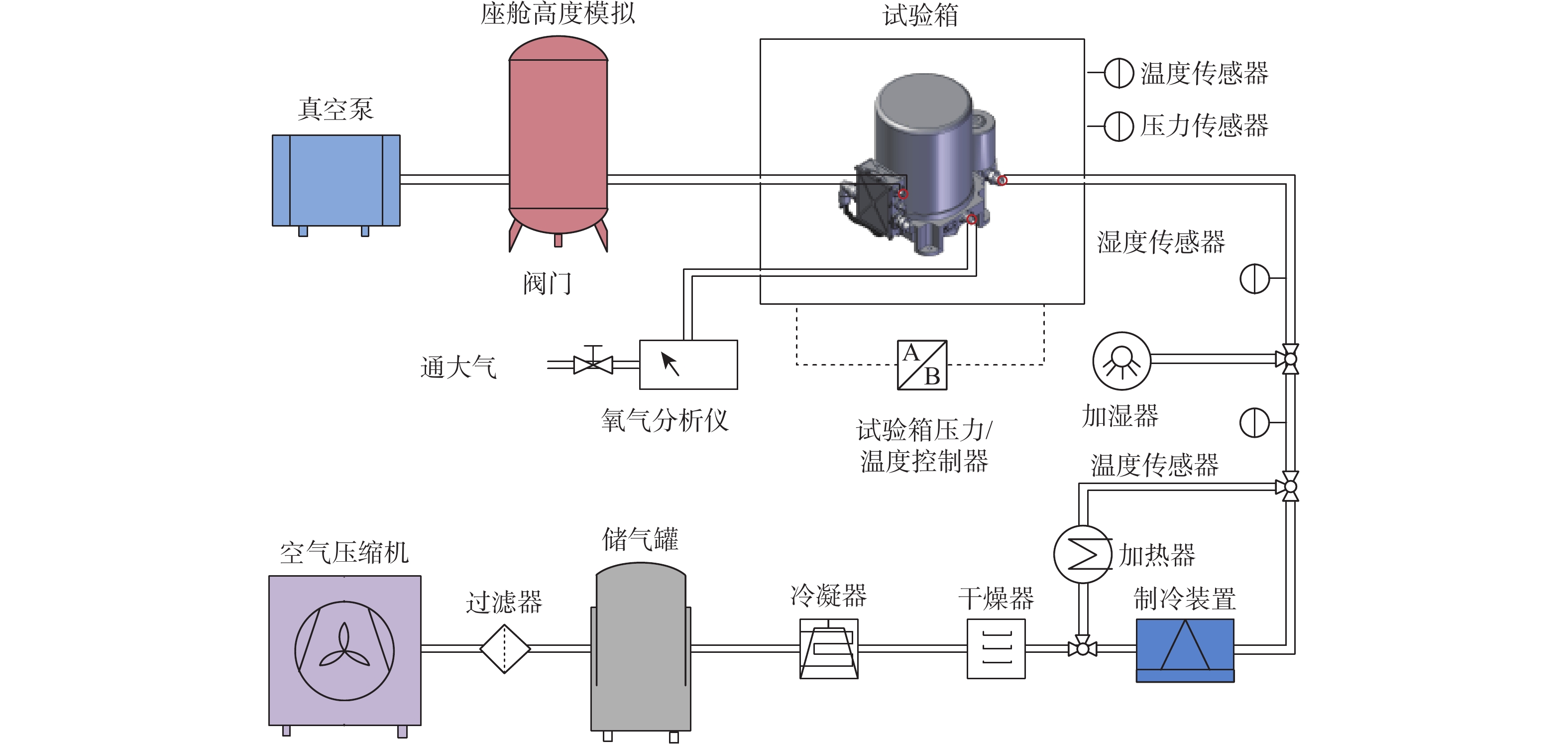
The application of Barker code pulse compression technique in a shear horizontal (SH) guided wave electromagnetic acoustic transducer (EMAT) has significant value in engineering application as it enhances the signal-to-noise ratio (SNR) and spatial resolution of the corrosion echo detected in in-service steel plates, and helps to realize large-scale and rapid on-line scanning. In this paper, a finite element model of SH-guided wave propagation in a steel plate excited by Barker code signals is established. Then, combined with experimental analysis and numerical calculations, the effects of Barker code sequence length, subpulse length, EMAT design parameters, and lift-off on the SNR and wave packet width of the pulse-compressed echoes are analyzed and compared with those of the traditional tone-burst excitation method. The results show that the SNR of the defect echo processed with the Barker code pulse compression technique is 5.8 dB higher than that with the tone-burst excitation method. When the EMAT liftoff is 3.0 mm, the SNR of the defect echo after Barker code pulse compression is greater than 8.7 dB, while that with the tone-burst excitation method is approximately 0 dB. When the sequence length and subpulse of the Barker code signals are respectively 13 and 15 μs, a circular hole with a depth of 1 mm and a diameter of 20 mm can be detected, the SNR of which is greater than 25.4 dB.

A decentralized multi-sensor fusion estimator using finite memory buffers
HAN Xu, WANG Yuanxin, CHENG Xianchao, WANG Xiaofei
2023, 49(2): 335-343. doi: 10.13700/j.bh.1001-5965.2021.0240
Abstract:

Decentralized fusion estimation is investigated for a networked uncertain stochastic system with stochastic delays and dropouts. The uncertainty of the model is described by non-Gaussian non-white noise perturbations considered in the system matrix. Several finite memory buffers with different lengths are set at the processing center to save the delivered observations of the sensors. A locally optimal constant gain estimator is proposed by minimizing the mean square error accounting for the non-Gaussian disturbance of the system matrix, and by using the real time arrival information based on the received measurements. Then, a decentralized fusion estimator is obtained by using the CI weighting algorithm, and the conditions ensuring the boundness of the fusion estimation error are given. Finally, a simulation example is provided to verify the effectiveness of the proposed approach.

Trajectory optimization of air-to-surface missile in full airspace based on combinational optimization algorithm
ZHU Wensheng, LYU Xianjing, HOU Zhenqian, ZHANG Shunjia, BI Peng, ZHONG Kang
2023, 49(2): 344-352. doi: 10.13700/j.bh.1001-5965.2021.0252
Abstract:

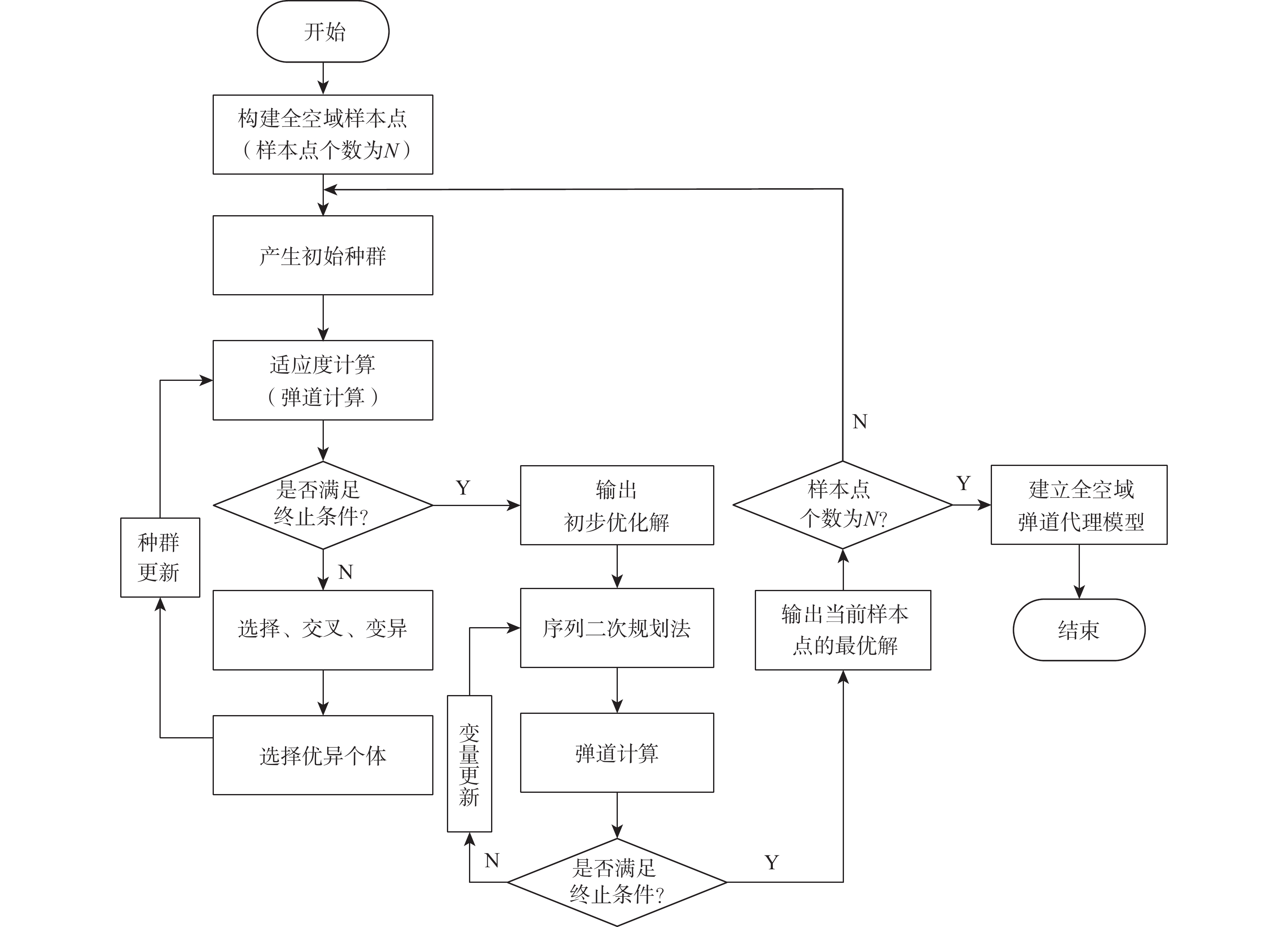
To deal with the problem of trajectory optimization for the air-to-surface missile in full airspace, a combinational optimization algorithm based on a multi-island genetic algorithm (MIGA) and sequential quadratic programming (SQP) was proposed. The advantages of being insensitive to initial values and global convergence of MIGA, and rapid convergence and high precision of SQP were developed. With the surrogate model, the computational cost of trajectory optimization in full airspace was greatly reduced on the premise of ensuring fitting precision. The surrogate model significantly lowered the computing cost of trajectory optimization in full airspace under the assumption of fitting precision. Results show that the combinational optimization algorithm had a rapid convergence speed and could obtain a global high-precision solution; the surrogate model had high fitting precision and could satisfy the requirements of engineering; the optimization results and surrogate model could provide an effective way for the design of guidance law in full airspace.

Fast stability analysis method for composite panel with variable angle tow fiber
WANG Zexi, WAN Zhiqiang, WANG Xiaozhe, YANG Chao
2023, 49(2): 353-366. doi: 10.13700/j.bh.1001-5965.2021.0259
Abstract:

Benefiting from the curved fibre paths, variable-angle-tow (VAT) fibre composites feature a larger design space than traditional straight-fibre reinforced plastics. VAT fiber composite has better in-plane stability than the straight fiber, hence it has a higher buckling resistance potential at the same weight as a wing panel. To deeply analyze the influence law of fiber path on the stability of VAT fiber composite, the stability analysis method of curved fiber siding under in-plane load is derived, based on the theory of isotropic thin plate. By introducing the Airy stress function and the Lagrange multiplier which describes the arbitrary boundary conditions, a single variational equation suitable for arbitrary displacement and load boundary conditions of VAT fiber composite is established, which avoids the restriction on the solution speed by repeated iterations between nonlinear equilibrium equations and nonlinear compatibility equations. Based on the Von Karman large deformation equation, a solution model for linear and geometry nonlinear stability problem in the post-buckling state is derived, and then approached by Rayleigh-Ritz method. The accuracy of the established fast tool is the same as that of the commercial software MSC.Nastran, but the solution time is highly reduced. Thanks to this advantage, the buckling and nonlinear performance of VAT panel under arbitrary displacement boundary conditions can be quickly captured, and the influence law of fiber path on buckling and post-buckling of a VAT panel is effectively summarized.

Design and simulation of detector for outer heliosphere pickup ions
GAO Tianfeng, KONG Linggao, SU Bin, ZHANG Aibing
2023, 49(2): 367-377. doi: 10.13700/j.bh.1001-5965.2021.0243
Abstract:

To enable the high-resolution detection of low-speed, low-density and low-temperature pickup ions (PUIs) in the outer heliosphere, a new high-resolution detector is designed based on the toroidal top-hat electrostatic analyzer, retarding potential analyzer and linear-electric-field time-of-flight analyzer. Using finite element simulation, the velocity range of PUIs (hydrogen) can be detected at 15.7~1072.2 km/s, with the density range being 0.0001~100 cm−3 and the temperature higher than 474.9 K. Component discrimination can also be achieved for typical pickup ions (hydrogen, helium, carbon, nitrogen, oxygen, and neon), with the mass spectral resolution (MM) larger than 40.

Influence of penetration damage on in-plane compression properties of titanium honeycomb sandwich cover structure
YANG Hao, XIE Zonghong, YANG Haibo, YUAN Peiyu, YUE Xishan, ZHAO Wei
2023, 49(2): 378-387. doi: 10.13700/j.bh.1001-5965.2021.0249
Abstract:

During the service period, penetration damage may occur in the titanium honeycomb sandwich cover structure which will affect the in-plane compression properties of the sandwich cover structure. The influence of penetration damage on the in-plane compression properties of titanium honeycomb sandwich cover structure was studied by a combination of experiments and finite element methods. The results show that the in-plane compression failure load of the titanium honeycomb sandwich cover structure with penetration damage is slightly higher than that of the titanium honeycomb sandwich cover structure without damage. Moreover, the in-plane compression failure load increases with the increase of the diameter of penetration damage. The greatest variation is 9.33%, the maximum agreement between the failure load and test results is good, and the failure mode predicted by the finite element model is compatible with the test data.The finite element method can be used for engineering prediction of the in-plane compression properties of titanium honeycomb sandwich cover structure.

Acoustic metasurfaces for stabilization of broadband unstable modes in high speed boundary layer
WANG Weizhang, KONG Weixuan, YAN Hao, ZHAO Rui
2023, 49(2): 388-396. doi: 10.13700/j.bh.1001-5965.2021.0235
Abstract:

The influences of the admittance phase and amplitude of acoustic metasurfaces on the broadband unstable modes in a high-speed flat plate boundary layer are analyzed using linear stability theory (LST). It is demonstrated that when the admittance phase goes to 0.5 π, the first mode is suppressed while the second mode is simultaneously motivated. Moreover, the increase of amplitude within the lower frequency range can enhance the stability of the first mode. The Mack second mode is suppressed when the admittance phase tends to π, while the first mode is motivated. Generally, the larger the admittance amplitude is, the more obvious the suppression or excitation effect of unstable modes becomes. Besides, combined with the effect of aperture geometry parameters on the admittance, an engineering realizable broadband acoustic metasurface is proposed to suppress both the first and Mack second modes in Mach 4 boundary layer flow. It elaborately designs the piecewise microstructures to achieve the local favorite admittance phase and amplitude, and its performance is verified by the $ {\mathrm{e}}^{N} $ method.

Identity-based authentication key agreement protocol for horizontal federated learning environment
REN Jie, LI Meihong, DU Ye, YIN Liguanjin
2023, 49(2): 397-405. doi: 10.13700/j.bh.1001-5965.2021.0217
Abstract:

In recent years, federated learning has received extensive attention in many fields, but this technology inevitably causes data transmission security problems. However, authentication and key agreement are important to ensure secure transmission and reliable communication between communicating entities. This study suggests a lightweight certificateless authentication and key agreement protocol that is identity-based and takes into account the data properties of horizontal federated learning. The participants need to register at the key generation center (KGC) and use public parameters to calculate their temporary keys and long-term keys which is to complete authentication and calculate the session key. Subsequently, the eCK model is used to prove the security of the protocol proposed in this paper. A thorough analysis shows that this protocol is appropriate for a single-server horizontal federated learning environment since it has full security features, low processing and communication costs.

An adaptive noise variance based fault detection algorithm for GNSS positioning
CHEN Hanzhi, SUN Rui, QIU Ming, MAO Jizhi, HU Haoliang, ZHANG Lidong
2023, 49(2): 406-421. doi: 10.13700/j.bh.1001-5965.2021.0222
Abstract:

As actual observation noises vary in different environments, the fixed noise variance matrix may degrade the performance of the Kalman filter (KF)-based fault detection method. To deal with this issue, we proposed an adaptive noise variance-based fault detection algorithm. Its fault detection and identification statistics are generated based on the real-time observation noise variance matrix estimated from historical innovations with a sliding window. The innovation without faults will then be used to update the state vector for positioning solutions. Both static and dynamic modes have been tested in the experiment. In the static mode, the proposed algorithm can provide a 100% fault detection rate (FDR) and fault identification rate (FIR) of the minimum single-step error of 3 m, and the FIR for the 0.2 m/s ramp error of 100 s is 51.4%. In addition, it can provide a 100% FDR and FIR of the minimum multiple error of 4 m. In the dynamic mode, the suggested algorithm can deliver a 100% FDR and FIR of the minimum single-step error of 10 m, and a 66.25% FIR for the 0.2 m/s ramp error of 200 s. In addition, it can provide a 100% FDR and FIR of the minimum multiple-error of 12 m. Its performance is superior to the least square residual-based method and the KF-based fault detection method.

Dynamic analysis of deployment impact of trim-wing mechanism of Mars entry capsules
YANG Zhijie, WANG Gang, ZHAO Ruijie, WANG Chunjie, ZHAO Junpeng
2023, 49(2): 422-429. doi: 10.13700/j.bh.1001-5965.2021.0234
Abstract:

When a landing rover is entering the Martian atmosphere, its trim wing will be deployed from the retracted state and locked following instructions when arriving the target position. Then, the attack angle of the entry capsule will be trimmed to an appropriate range. Hence, the dynamic performance of the deployment is critical to subsequent missions. To realize the function of the trim wing deployment, an impact dynamics analysis of its composite material components was conducted. First, a finite element model for the trim wing deployment was established, and then the deployment process was simulated based on the implicit dynamic algorithm. The accuracy of the deployment dynamic analysis model was later verified by the ground test results. On this basis, the deployment process of the trim wing under two aerodynamic load conditions in entering the Martian atmosphere was analyzed, and the strength margin of the carbon fiber-skinned wing is calculated using the Hashin theory. Results show that under the two aerodynamic load conditions, the values of the four failure factors, which correspond to fiber stretching, fiber compression, matrix stretching, and matrix compression of each composite layer, are in a safe range. The findings provide a reference for future researches on the deployment and impact analysis of similar mechanism.

Remaining useful life prediction method of rolling bearing based on Transformer model
ZHOU Zhetao, LIU Lu, SONG Xiao, CHEN Kai
2023, 49(2): 430-443. doi: 10.13700/j.bh.1001-5965.2021.0247
Abstract:

Accurate rolling bearing remaining useful life (RUL) prediction is extremely important to assure the machine’s safety and decrease damage repair. To improve the accuracy of rolling bearing RUL prediction, proposed a bearing RUL prediction method based on the Transformer model, made full use of its self-attention mechanism and the advantages of encoder-decoder structure, solved the memory degradation problem caused by the too-long sequence in bearing RUL prediction, found out the dependent relationship between the input feature and the bearing degradation degree. Meanwhile, trigonometric function transform and cumulative transform are used to correct the feature's monotony and tendency, representing the rolling bearing degradation process better. The average absolute error of RUL prediction based on the Transformer model is reduced by 9.25%, 28.63%, and 34.14%, while the average ss were increased by 2.78%, 19.79%, and 29.38%, according to experimental results on the PHM2012 dataset. Experimental results on the XJTU-SY dataset showed that compared with other prediction methods, the proposed model is reduced by 17.4%, and the average ss were increased by 18.6%, which indicates higher feasibility and superiority.

Intelligent algorithm of warship’s vital parts detection, trajectory prediction and pose estimation
LI Chenxuan, LI Tianyu, LI Zizheng, ZENG Weigui, XU Huiqi
2023, 49(2): 444-456. doi: 10.13700/j.bh.1001-5965.2021.0253
Abstract:

Accurate detection and attack of warship’s vital parts can effectively improve the damage efficiency of anti-ship missile. Aiming at the problems of low detection accuracy on vital parts and insufficient accuracy of guidance error, this paper proposes an algorithm of warship’s vital parts detection, trajectory prediction and pose estimation based on deep learning. The deep semantic information and shallow positioning information are integrated, and the SoftPool modules are used to preserve fine-grained features. The detection accuracy of multi-angle and multi-scale warship’s vital parts is improved. Combining the detection results with the warship’s space structure can establish the mapping relationship, which is used to calculate the three-dimensional position and posture of the seeker. The long short term memory network is introduced to mine the space-time characteristics of key-points to realize the dynamic trajectory prediction on multi-scale warship. Experimental results show that this algorithm has high accuracy in detection of warship’s vital parts and trajectory prediction. The posture estimation results of the seeker are precise. The situational awareness requirement in complex marine battlefield of autonomous self-piloted anti-ship missiles is satisfied in independent penetration perspective.

Improved peak-to-average ratio reduction method in FBMC/OQAM system
LI Lei, XUE Lunsheng, CHEN Xihong, ZOU Bing
2023, 49(2): 457-463. doi: 10.13700/j.bh.1001-5965.2021.0254
Abstract:

Aiming at the shortcomings of high peak-to-average power ratio (PAPR) in the filter bank multi-carrier system with offset quadrature amplitude modulation (FBMA/OQAM) system, which will cause distortion and affect the channel estimation performance, an interference cancellation method based on phase rotation (ICM-P) is proposed in this paper. This ICM-P method generates different phase sequences, obtains multiple sets of data sequences by multiplying with the transmission data, and calculates their PAPR respectively before selecting the group with the lowest PAPR for transmission. Simulation verification and analysis show that the ICM-P method can effectively reduce the excessive peak-to-average power ratio of the system, the bit error rate is not high, and the channel estimation performance is not significantly lower than the original ICM method.

Tropospheric scattering spectrum sensing based on sliding interception and signal correlation
MI Xinping, CHEN Xihong, LIU Qiang, CAO Yufei, ZHANG Shuang, SONG Xincheng
2023, 49(2): 464-471. doi: 10.13700/j.bh.1001-5965.2021.0255
Abstract:

To improve the performance of tropospheric scattering spectrum sensing, a spectral sensing scheme for tropospheric scattering multipath fading channels is presented. To solve the problem of poor perception of the tropospheric scattering spectrum, the time-domain diffusion characteristics of the tropospheric scattering channel are analyzed based on the distributed reception. The sliding intercept method is proposed to intercept the signal, and the optimal intercept length is calculated. Secondly, in order to reduce the influence of noise on the detection performance, the correlation matrix of signals in each intercept window is obtained by using the signal correlation, and the statistics are constructed. For various numbers of diversity in the Nakagami-m fading channel model, the detection probability and detection threshold are computed. Finally, the performance of the spectrum sensing algorithm under different conditions is verified by simulation analysis. Compared with traditional methods, this method has a better adaptability and better performance in tropospheric scattering channels.

Degradation modeling of oxygen concentrator in multiple stress coupling
PAN Jinxin, JING Bo, JIAO Xiaoxuan, WANG Shenglong, HUANG Songlin, FANG Ling
2023, 49(2): 472-481. doi: 10.13700/j.bh.1001-5965.2021.0260
Abstract:

Modeling under coupling stress is challenge in the field of fault prediction and health management. Based on the the ground degradation test of the oxygen concentrator, this research proposes a modeling framework with partial differential equations combining mechanism model and data driven model, which addresses the linear correlation of two stresses during the test and their coupling effect on the degradation. Based on the analysis of degradation mechanism of the basic form, data driven method is used to determine the specific parameter of partial differential equations. Then, the two stresses are decoupled based on the equations. Results show that the increase in the bleed air moisture content raises the degradation rate of the oxygen concentrator. Furthermore, as the oxygen concentrator performance degrades, the sensitivity of the oxygen partial pressure on the bleed air pressure is reduced. Therefore, the slope factor of the oxygen partial pressure to bleed air pressure is determined as the health indicator. The pattern recognition of Kalman filter shows that the oxygen concentrator degradation can be divided into stationary and degradation stages, which is verified by comparison with the degradation data of the oxygen concentrator in the actual service environment.

Structural topology optimization of flying wing aircraft
WANG Yiwei, LEI Ruiwu, WANG Hui
2023, 49(2): 482-490. doi: 10.13700/j.bh.1001-5965.2021.0262
Abstract:

Flying wing aircraft will become the mainstream of future aircraft due to its high aerodynamic efficiency; however, its performance improvement is limited by structural weight. Structural optimization is an important technique to reduce structural weight. A topology optimization model is thus established based on the internal structure of flying wing aircraft with the compliance of the aircraft skin as the objective function. The optimal arrangement of this structure is studied, and the effect and weight reduction mechanism of curvilinear spars are investigated in the structural optimization of the aircraft. The rebuilt model and the standard model are developed according to the topology optimization results and the Boeing second generation structure design respectively, using sizing optimization to evaluate the effect of topology optimization. Results show that compared with the standard model, the rebuilt model decreases the mass by 14.53% with the same compliance. The compliance of the reconstructed model is decreased by 47.90% and the maximum z-displacement is reduced by 44.87% with the same quality, showing significant decrease in weight reduction and increase in stiffness for topology optimization. The weight reduction effect of curvilinear spars is also validated. The results of this study can lay a foundation for weight reduction optimization of flying wing aircraft, and the optimization-evaluation mechanism can provide insight into the internal structural design of flying wing aircraft.

A low-dose CT image denoising method based on artifact estimation
HAN Xinglong, SHANGGUAN Hong, ZHANG Xiong, HAN Zefang, CUI Xueying, WANG Anhong
2023, 49(2): 491-502. doi: 10.13700/j.bh.1001-5965.2021.0263
Abstract:

Low-dose CT (LDCT) contains abundant tissue structure, pathological information and noise artifacts with extremely irregular distribution.These two different types of information have comparable amplitude distributions. Therefore, the LDCT denoising task is prone to some problems, such as insufficient feature extraction, insufficient network sensitivity to the directional characteristics of noise artifacts, and excessive smoothing of the denoising results. In response to the above problems, this work uses the U-Net network as the basic model of the denoising network, and designs a LDCT denoising network based on artifact estimation. The proposed network mainly includes two parts: the main feature extraction network and the direction-sensitive attention sub-network.Firstly, to better use the differences between various scale features and increase the efficiency of feature extraction, we add a dense feature improvement module to the codec U-Net structure. Secondly, we design a direction-sensitive attention subnetwork to improve the sensitivity of the denoising network to the direction characteristics of the noise artifacts. Finally, to ensure the stability of network training, we utilize a variety of loss functions to optimize the network training process. The experimental results show that the proposed algorithm is superior to other mainstream LDCT denoising algorithms in terms of visual effects and quantitative indicators.