Cumulative thermal deformation evolution under prelonged aerodynamic and thermal loads
-
摘要:
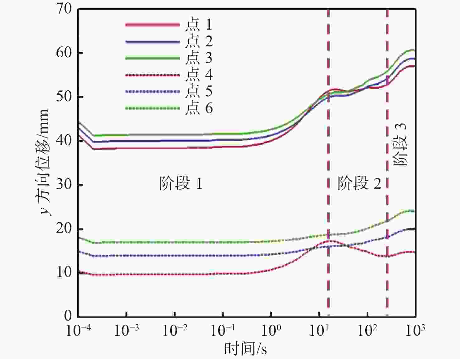
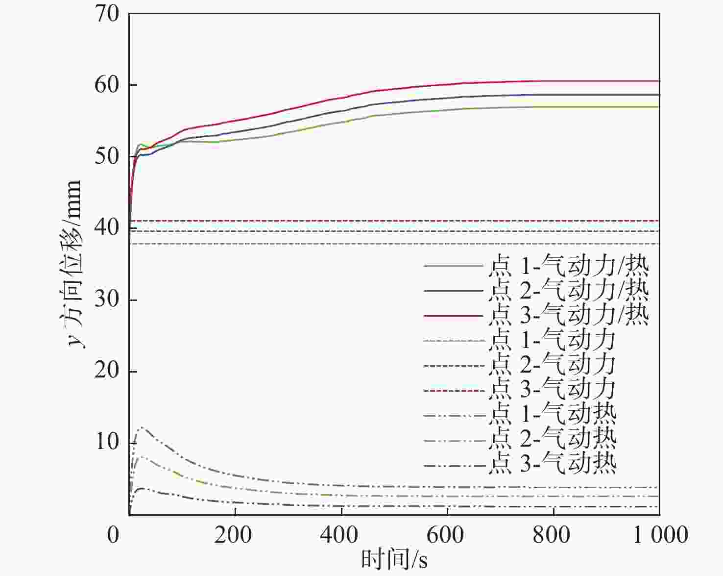
长时间气动力/热作用下产生的累积热变形及其在整个飞行历程中引发的不利影响是未来高超声速巡航飞行器设计不可忽视的问题。针对高超声速飞行器典型翼面结构,以自研热环境/热响应耦合计算分析平台为基础,结合自适应时间步的双向耦合计算策略建立全数值的气动力/热/结构多场耦合累积热变形预测方法;在此基础上开展翼面结构在长时间气动力/热耦合作用下的累积热变形演化规律及形成机理研究,并分析其在时间变化历程中对气动特性的影响。研究结果表明,由于翼面结构所受气动力、气动加热、结构传热、变形响应等物理过程的时空尺度差异,累积热变形呈现第1发展、第2发展、充分发展等非线性特征突出的3个演化阶段,并且各种因素需要经过较长的时间才能充分发展并实现累积变形的稳定。上述累积热变形演化行为引发了伴随整个飞行历程的气动特性的非线性变化,进一步带来升力下降、升阻比下降及俯仰力矩偏差等不利影响。相关不利影响亟需在未来长航时高超声速飞行器设计中加以考虑并主动应对。
Abstract:Cumulative thermal deformations during long periods of aerodynamic thermal coupling and their associated adverse effects are issues that cannot be ignored for future hypersonic aircrafts with long endurance. For typical structures of hypersonic wing structure, a fully numerical aerodynamic/thermal/structural multi-field coupling cumulative thermal deformation prediction method is established, based on in-house numerical solvers, and in conjunction with adaptive time-stepping and two-way coupling strategy. Based on this method, an analysis of the cumulative thermal deformation characteristics and their causes of the wing structure under long-term aerodynamic/thermal co-activity was carried out, as well as the the deformation impacts on the aerodynamic characteristics were performed. The results of the study indicate that, due to the temporal and spatial scale differences of physical processes such as aerodynamic forces, aerodynamic heating, aerodynamic heat transfer and deformation response in wing structures, the cumulative thermal deformation exhibits three distinct nonlinear evolutionary stages: first development, second development, and full development. Moreover, it requires a considerable amount of time for various factors to fully develop and achieve stable accumulated deformation. The aforementioned evolution of accumulated thermal deformation behavior triggers the nonlinear changes in aerodynamic characteristics throughout the entire flight journey, resulting in adverse effects such as decrease of lift, decrease of lift-to-drag ratio and the deviation of pitching moment. Therefore, in the design of long-duration hypersonic aircraft in the future, these associated adverse effects need to be duly considered and actively addressed.
-
表 1 高温合金GH1015材料物理性能
Table 1. Material physical properties of high temperature alloy GH1015
性能 数值 密度/(kg·m−3) 8320 泊松比 0.3 表面辐射系数 0.8 表 2 高温合金GH1015材料热物理性能
Table 2. Thermal-physical properties of high temperature alloy GH1015
温度/K 导热系数/
(W·(m·K)−1)比热容/
(J·(kg·K)−1)弹性
模量/GPa热膨胀系数/
10−6 K−1273 9.9 440 170 14.0 373 12.0 450 166 14.4 473 13.5 475 158 14.7 573 15.5 495 152 15.0 673 17.3 505 142 15.5 773 19.0 530 135 15.8 873 21.0 555 128 16.1 973 22.8 575 115 16.4 1073 24.9 615 108 16.7 1173 26.7 650 94 17.0 1273 28.6 710 78 17.3 -
[1] FRIEDMANN P, THURUTHIMATTAM B, MCNAMARA J, et al. Hypersonic aeroelasticity and aerothermoelasticity with application to reuseable launch vehicles[C]//Proceedings of the 12th AIAA International Space Planes and Hypersonic Systems and Technologies. Reston: AIAA, 2003: 7014. [2] 叶正寅, 孟宪宗, 刘成, 等. 高超声速飞行器气动弹性的近期进展与发展展望[J]. 空气动力学学报, 2018, 36(6): 984-994.YE Z Y, MENG X Z, LIU C, et al. Progress and prospects on aeroelasticity of hypersonic vehicles[J]. Acta Aerodynamica Sinica, 2018, 36(6): 984-994(in Chinese). [3] 邹学锋, 潘凯, 燕群, 等. 多场耦合环境下高超声速飞行器结构动强度问题综述[J]. 航空科学技术, 2020, 31(12): 3-15.ZOU X F, PAN K, YAN Q, et al. Overview of dynamic strength of hypersonic vehicle structure in multi-field coupling environment[J]. Aeronautical Science & Technology, 2020, 31(12): 3-15(in Chinese). [4] 华如豪, 叶正寅. 吸气式高超声速飞行器多学科动力学建模[J]. 航空学报, 2015, 36(1): 346-356.HUA R H, YE Z Y. Multidisciplinary dynamics modeling and analysis of a generic hypersonic vehicle[J]. Acta Aeronautica et Astronautica Sinica, 2015, 36(1): 346-356(in Chinese). [5] ROGER M. Aerothermoelasticity[J]. Aerospace Engineering, 1958, 17(10): 34-43. [6] CARRICK I E. A survey of aerothermoelasticity[J]. Aerospace Engineering, 1963, 22(1): 140-147. [7] 桂业伟. 高超声速飞行器综合热效应问题[J]. 中国科学: 物理学 力学 天文学, 2019, 49(11): 139-153.GUI Y W. Combined thermal phenomena of hypersonic vehicle[J]. Scientia Sinica (Physica, Mechanica & Astronomica), 2019, 49(11): 139-153(in Chinese). [8] MEI C, ABDEL-MOTAGALY K, CHEN R. Review of nonlinear panel flutter at supersonic and hypersonic speeds[J]. Applied Mechanics Reviews, 1999, 52(10): 321. doi: 10.1115/1.3098919 [9] 杨智春, 夏巍. 壁板颤振的分析模型、数值求解方法和研究进展[J]. 力学进展, 2010, 40(1): 81-98.YANG Z C, XIA W. Analytical models, numerical solutions and advances in the study of panel flutter[J]. Advances in Mechanics, 2010, 40(1): 81-98(in Chinese). [10] MCNAMARA J, FRIEDMANN P. Aeroelastic and aerothermoelastic analysis of hypersonic vehicles: current status and future trends[C]//Proceedings of the 48th AIAA/ASME/ASCE/AHS/ASC Structures, Structural Dynamics, and Materials Conference. Reston: AIAA, 2007: 2013. [11] 李国曙, 万志强, 杨超. 高超声速翼面气动热与静气动弹性综合分析[J]. 北京麻豆精品秘 国产传媒学报, 2012, 38(1): 53-58.LI G S, WAN Z Q, YANG C. Integrated analysis of aerothermal-aeroelastic wings in hypersonic flow[J]. Journal of Beijing University of Aeronautics and Astronautics, 2012, 38(1): 53-58(in Chinese). [12] ZHANG X, WANG Y, LI F, et al. Static aerothermoelasticity of hypersonic vehicles[C]//International Space Planes and Hypersonic Systems and Technologies Conferences. Reston: AIAA, 2017: 2367. [13] 刘磊, 桂业伟, 耿湘人, 等. 高超声速飞行器热气弹静态问题研究[J]. 空气动力学学报, 2013, 31(5): 559-563.LIU L, GUI Y W, GENG X R, et al. Study on static aerothermoelasticity for hypersonic vehicle[J]. Acta Aerodynamica Sinica, 2013, 31(5): 559-563(in Chinese). [14] 罗金玲, 康宏琳, 操小龙. 吸气式高超声速飞行器空气动力学[M]. 北京: 科学出版社, 2021: 313-325.LUO J L, KANG H L, CAO X L. Aerodynamics of air-breathing hypersonic vehicle[M]. Beijing: Science Press, 2021: 313-325(in Chinese). [15] 刘凯, 许云涛. CFD在高速飞行器热气弹问题中的应用[J]. 气体物理, 2019, 4(4): 50-55.LIU K, XU Y T. Application of CFD in high speed aircraft thermal aeroelastic problems[J]. Physics of Gases, 2019, 4(4): 50-55(in Chinese). [16] 叶坤. 吸气式高速飞行器关键热气动弹性问题研究[D]. 西安: 西北工业大学, 2018.YE K. Study on key thermoelastic problems of air-breathing high-speed aircraft[D]. Xi’an: Northwestern Polytechnical University, 2018(in Chinese). [17] 桂业伟, 刘磊, 代光月, 等. 高超声速飞行器流-热-固耦合研究现状与软件开发[J]. 航空学报, 2017, 38(7): 020844.GUI Y W, LIU L, DAI G Y, et al. Research status of hypersonic vehicle fluid-thermal-solid coupling and software development[J]. Acta Aeronautica et Astronautica Sinica, 2017, 38(7): 020844(in Chinese). [18] 桂业伟, 刘磊, 耿湘人, 等. 气动力/热与结构多场耦合计算策略与方法研究[J]. 工程热物理学报, 2015, 36(5): 1047-1051.GUI Y W, LIU L, GENG X R, et al. Study on the computation strategy and method of aero-dynamic-thermal-structural coupling problem[J]. Journal of Engineering Thermophysics, 2015, 36(5): 1047-1051(in Chinese). [19] 桂业伟, 刘磊, 杜雁霞. 热防护系统耦合分析方法与应用[J]. 现代防御技术, 2014, 42(4): 9-14.GUI Y W, LIU L, DU Y X. Coupled analysis methods and applications of thermal protection system[J]. Modern Defence Technology, 2014, 42(4): 9-14(in Chinese). [20] 刘磊, 桂业伟, 耿湘人, 等. 热气动弹性变形对飞行器结构温度场的影响研究[J]. 空气动力学学报, 2015, 33(1): 31-35.LIU L, GUI Y W, GENG X R, et al. Study on the temperature field of hypersonic vehicle structure with aerothermoelasticity deformation[J]. Acta Aerodynamica Sinica, 2015, 33(1): 31-35(in Chinese). [21] 刘智侃, 刘深深, 刘骁, 等. 基于物理量梯度修正的RBF数据传递方法[J]. 航空学报, 2021, 42(7): 124506.LIU Z K, LIU S S, LIU X, et al. RBF data transfer based on physical gradient modification[J]. Acta Aeronautica et Astronautica Sinica, 2021, 42(7): 124506(in Chinese). [22] 代光月. 高超声速气动/热/结构多场耦合方法及应用研究[D]. 绵阳: 中国空气动力研究与发展中心, 2016.DAI G Y. Method and application research on the fluid-thermal-structural interaction problems in hypersonic flow[D]. Mianyang: China Aerodynamics Research and Development Center, 2016(in Chinese) . [23] YANG X F, GUI Y W, TANG W, et al. Surface thermochemical effects on TPS-coupled aerothermodynamics in hypersonic Martian gas flow[J]. Acta Astronautica, 2018, 147: 445-453. doi: 10.1016/j.actaastro.2018.03.055 [24] 张少实. 新编材料力学[M]. 北京: 机械工业出版社, 2002: 124-127.ZHANG S S. New material mechanics[M]. Beijing: China Machine Press, 2002: 124-127(in Chinese). [25] 王小增, 杨久红, 曾辉. 大型轴承钢球热处理过程中瞬态温度和应力分布[J]. 热加工工艺, 2012, 41(20): 199-203.WANG X Z, YANG J H, ZENG H. Transient temperature and stress distribution of large bearing steel ball during heat treatment process[J]. Hot Working Technology, 2012, 41(20): 199-203(in Chinese). [26] WIETING A. Experimental study of shock wave interference heating on a cylindrical leading edge: NASA-TM-100484[R]. Washington, D. C.: NASA, 1987: 60-160. [27] DECHAUMPHAI P, WIETING A R, THORNTON E A. Flow-thermal-structural study of aerodynamically heated leading edges[J]. Journal of Spacecraft and Rockets, 1989, 26(4): 201-209. doi: 10.2514/3.26055 -


下载: