Radiation characteristics of multi-phase plumes containing ice crystals from orbit-control engines
-
摘要:
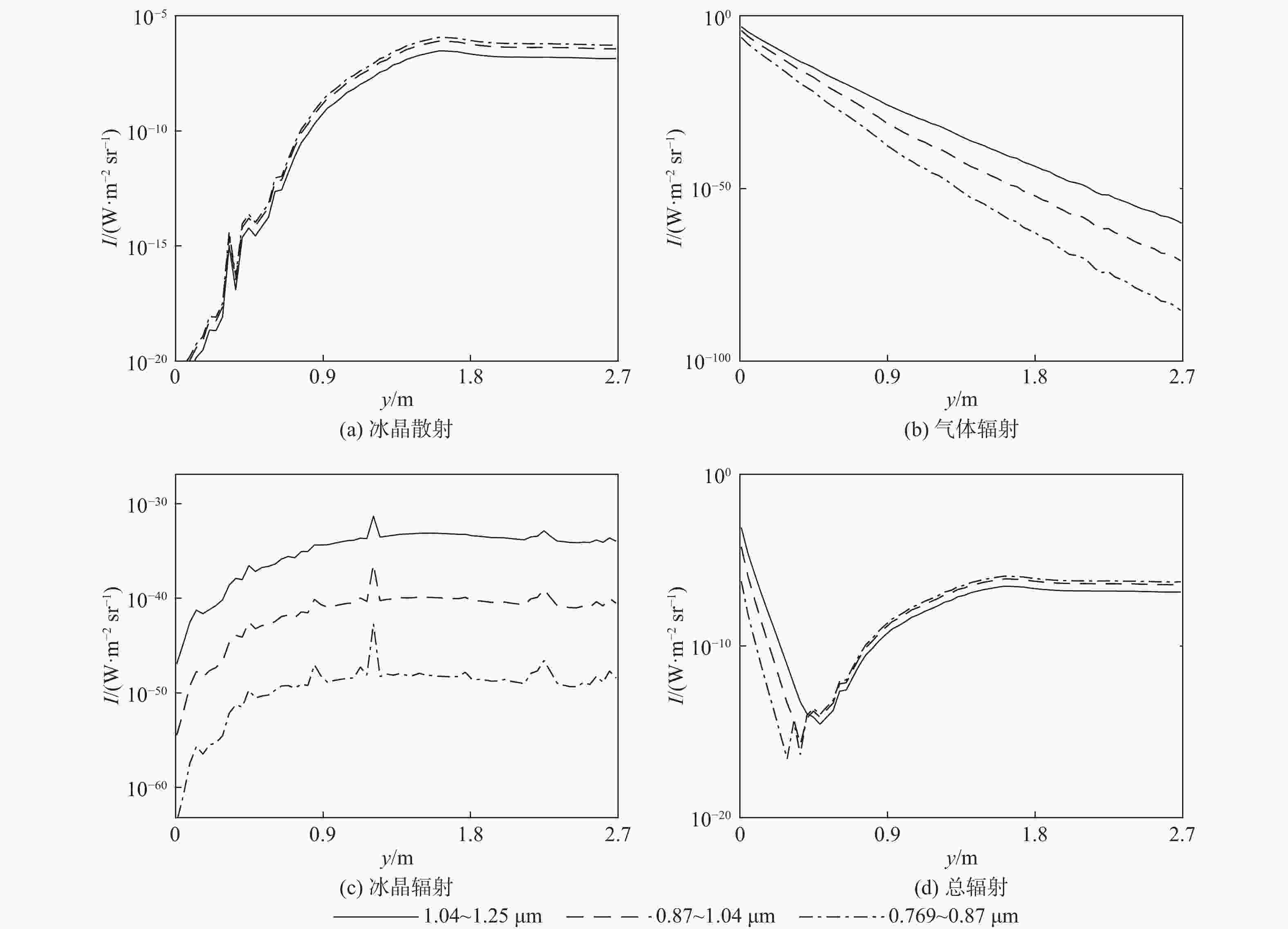
为获得高空轨控发动机含冰晶的多相羽流的辐射特性,分析其对遥测效果的影响,基于爱因斯坦辐射理论,推导了气体辐射发射系数,结合微粒散射Mie理论,获得综合考虑气体热辐射和冰晶辐射与冰晶散射的辐射传输模型。基于最新的HITRAN2020谱线库,仿真得到了高空轨控发动机含冰晶多相羽流辐射特性参数以及近红外、中长波红外等波段辐射强度分布,并分析了辐射的主要影响因素。结果表明:该型发动机羽流辐射主要包括近红外波段的冰晶散射和中长波红外波段的气体热辐射。在近红外波段,考虑太阳背景辐射,计算域内总辐射量约10−6 W/sr量级,轴向距离0.5 m以内,气体热辐射占主导,轴向距离0.5 m以外,冰晶散射占主导;在中长波红外波段,计算域内总辐射量约10 W/sr量级,轴向距离1 m以内,气体热辐射占主导,轴向距离1 m以外,冰晶热辐射占主导。
Abstract:To obtain the radiation characteristics of multi-phase plumes containing ice crystals from high-altitude orbit-control engines and analyze their influence on the telemetry effect, this paper deduced the gas radiation emission coefficient based on Einstein’s theory of radiation. In the light of the Mie theory of particle scattering, the study developed a radiation transfer model comprehensively considering gas and ice crystal radiation and ice crystal scattering. Based on the latest HITRAN2020 spectral line library, the study obtained through simulation the radiation characteristic parameters of multi-phase plumes containing ice crystals from high-altitude orbit-control engines and the radiation intensity distributions in the near-infrared and mid-wave and long-wave infrared bands and analyzed the main influencing factors of the radiation. The results show that the radiation of the engine plume researched in this study primarily includes scattered light in the near-infrared band and the thermal radiation of gas in the mid-wave and long-wave infrared band. In the near-infrared band, considering solar background radiation, the total radiation amount in the calculation domain is about 10−6 W/sr, and the thermal radiation is dominant within the axial distance of 0.5 m, while the ice crystal scattering is dominant beyond the axial distance of 0.5 m. In the mid-wave and long-wave infrared band, the total radiation amount in the calculation domain is about 10 W/sr, and the thermal radiation of gas dominates within the axial distance of 1 m, while the thermal radiation of ice crystals dominates beyond the axial distance of 1 m.
-
Key words:
- radiation /
- orbit-control engine /
- multi-phase plumes /
- heat radiation /
- scattering
-
表 1 羽流气体分压占比
Table 1. Partial pressure proportions of gases in plume
组分 占比/% N2 30.53 H2O 31.13 CO 14.21 H2 20.99 CO2 3.14 表 2 计算域内各波段羽流辐射与散射计算结果
Table 2. Calculation results of plume radiation and scattering in each band in calculation domain
辐射波段 波长/${\text{μm}}$ 总辐射量/(W·sr−1) 辐射在该波段占比/% 近红外波段 0.77~1.25 3.7×10−6 100 中长波红外波段 2.5~3.3 1.83×10−4 18.9 3.3~5 4.71×10−4 48.5 5~10 3.17×10−4 32.6 -
[1] 聂万胜, 蔡红华. 火箭发动机尾焰红外辐射特性研究综述[J]. 装备学院学报, 2017, 28(1): 47-53. doi: 10.3783/j.issn.2095-3828.2017.01.011NIE W S, CAI H H. Overview of infrared characteristics study of rocket engine plume[J]. Journal of Equipment Academy, 2017, 28(1): 47-53(in Chinese). doi: 10.3783/j.issn.2095-3828.2017.01.011 [2] ROCHELLE W C. Review of thermal radiation from liquid and solid propellant rocket exhausts[R]. Washington, D.C.: NASA, 1967: 7-201. [3] NELSON H F. Infrared radiation signature of tactical rocket exhausts: AIAA 1982-913[R]. Reston: AIAA, 1982. [4] SNAZA C J. Investigation of the effects of solid rocket motor propellant composition on plume signature[D]. Monterey: Naval Postgraduate School, 1994: 17-25. [5] HARWELL K, HYMAN W H, JACKSON J J, et al. Effects of external flow velocity on the spatial distribution of infrared radiation from a rocket exhaust plume[C]//Proceedings of the 11th Thermophysics Conference. Reston: AIAA, 1976: 443. [6] 王平. 固体火箭发动机尾焰毫米波辐射特性研究[D]. 武汉: 华中科技大学, 2015.WANG P. Study on millimeter wave radiation characteristics of solid rocket motor tail flame[D]. Wuhan: Huazhong University of Science and Technology, 2015(in Chinese). [7] 张小英, 朱定强, 向红军, 等. 液体火箭喷焰红外特性的数值仿真[J]. 北京麻豆精品秘 国产传媒学报, 2005, 31(11): 1250-1253. doi: 10.3969/j.issn.1001-5965.2005.11.021ZHANG X Y, ZHU D Q, XIANG H J, et al. Numerical simulation of infrared characteristics of liquid rocket plume[J]. Journal of Beijing University of Aeronautics and Astronautics, 2005, 31(11): 1250-1253(in Chinese). doi: 10.3969/j.issn.1001-5965.2005.11.021 [8] 郑海晶. 火箭发动机尾焰多波段辐射特性研究[D]. 北京: 北京理工大学, 2018.ZHENG H J. Study on multi-band radiation characteristics of rocket engine tail flame[D]. Beijing: Beijing Institute of Technology, 2018(in Chinese). [9] 乔野, 聂万胜, 丰松江, 等. 复燃对氢氧火箭发动机尾焰流场及辐射特性影响数值研究[J]. 导弹与航天运载技术, 2016(2): 22-25.QIAO Y, NIE W S, FENG S J, et al. Numerical research on influence exerted by afterburning on flow field and radiation characteristics of LH2/LOX rocket engine[J]. Missiles and Space Vehicles, 2016(2): 22-25(in Chinese). [10] BAO X D, YU X L, WANG Z H, et al. Numerical investigation on flow and radiation characteristics of solid rocket motor plume near the ground[J]. Procedia Computer Science, 2020, 174: 645-650. doi: 10.1016/j.procs.2020.06.137 [11] BURT J, BOYD I. A Monte Carlo radiation model for simulating rarefied multiphase plume flows[C]//Proceedings of 38th AIAA Thermophysics Conference. Reston: AIAA, 2005: 4691. [12] YU Q Z, LIU L H, PAN Y C, et al. Monte Carlo method for simulating the radiative characteristics of an anisotropic medium[J]. Heat Transfer—Asian Research, 1999, 28(3): 201-210. doi: 10.1002/(SICI)1523-1496(1999)28:3<201::AID-HTJ5>3.0.CO;2-R [13] 郑才浪, 朱定强, 乔要宾. 固液混合火箭发动机尾焰的红外特性研究[J]. 红外, 2013, 34(10): 26.ZHENG C L, ZHU D Q, QIAO Y B. Study of infrared radiation characteristics of hybrid rocket engine exhaust plume[J]. Infrared, 2013, 34(10): 26(in Chinese). [14] CAI H H, NIE W S, SU L Y, et al. Infrared radiation characteristics of liquid oxygen/kerosene rocket engine plume with different number of nozzles[J]. Spectroscopy Letters, 2019, 52(3-4): 159-167. doi: 10.1080/00387010.2018.1510840 [15] 郑才浪, 朱定强, 乔要宾. 轨控发动机羽流红外辐射的数值仿真[J]. 宇航学报, 2014, 35(5): 521-527.ZHENG C L, ZHU D Q, QIAO Y B. Numerical simulation of the infrared radiation of orbit control thruster exhaust plume[J]. Journal of Astronautics, 2014, 35(5): 521-527(in Chinese). [16] NIU Q L, HE Z H, DONG S K. IR radiation characteristics of rocket exhaust plumes under varying motor operating conditions[J]. Chinese Journal of Aeronautics, 2017, 30(3): 1101-1114. doi: 10.1016/j.cja.2017.04.003 [17] ZHANG D M, BAI L, WANG Y K, et al. An improved SHDOM coupled with CFD for simulating infrared radiation signatures of rocket plumes[J]. Infrared Physics & Technology, 2022, 122: 104054. [18] 王福恒, 王嵩薇. 近代科学技术中的原子分子辐射理论[M]. 成都: 成都科技大学出版社, 1991: 33-35.WANG F H, WANG S W. The theory of atomic and molecular radiation in modern science and technology[M]. Chengdu: Chengdu University of Science and Technology Press, 1991: 33-35(in Chinese). [19] MIE G. Beiträge zur optik trüber medien, speziell kolloidaler Metallösungen[J]. Annalen der Physik, 1908, 330: 377-445. doi: 10.1002/andp.19083300302 [20] FRISVAD J R, CHRISTENSEN N J, JENSEN H W. Computing the scattering properties of participating media using Lorenz-Mie theory[C]//ACM SIGGRAPH 2007. New York: ACM, 2007: 60-es. [21] 邱荣, 吴健, 杨春平, 等. 0.45-0.95μm太阳辐射在大气中的传输计算[J]. 大气与环境光学学报, 2006, 1(1): 21-26.QIU R, WU J, YANG C P, et al. Solar radiation transfer in clear atmosphere at 0.45~0.95 μm[J]. Journal of Atmospheric and Environmental Optics, 2006, 1(1): 21-26(in Chinese). [22] BIRD G A. Molecular gas dynamics and the direct simulation of gas flows[M]. Oxford: Clarendon Press, 1994. [23] BURT J M, BOYD I D. Monte Carlo simulation of a rarefied multiphase plume flow[C]//Proceedings of the 43rd AIAA Aerospace Sciences Meeting and Exhibit. Reston: AIAA, 2005. [24] LOTHE J, POUND G M. Reconsideration of nucleation theory[J]. The Journal of Chemical Physics, 1962, 36(8): 2080-2085. doi: 10.1063/1.1732832 [25] KOCHANOV R V, GORDON I E, ROTHMAN L S, et al. HITRAN application programming interface (HAPI): a comprehensive approach to working with spectroscopic data[J]. Journal of Quantitative Spectroscopy and Radiative Transfer, 2016, 177: 15-30. doi: 10.1016/j.jqsrt.2016.03.005 -


下载: