-
摘要:
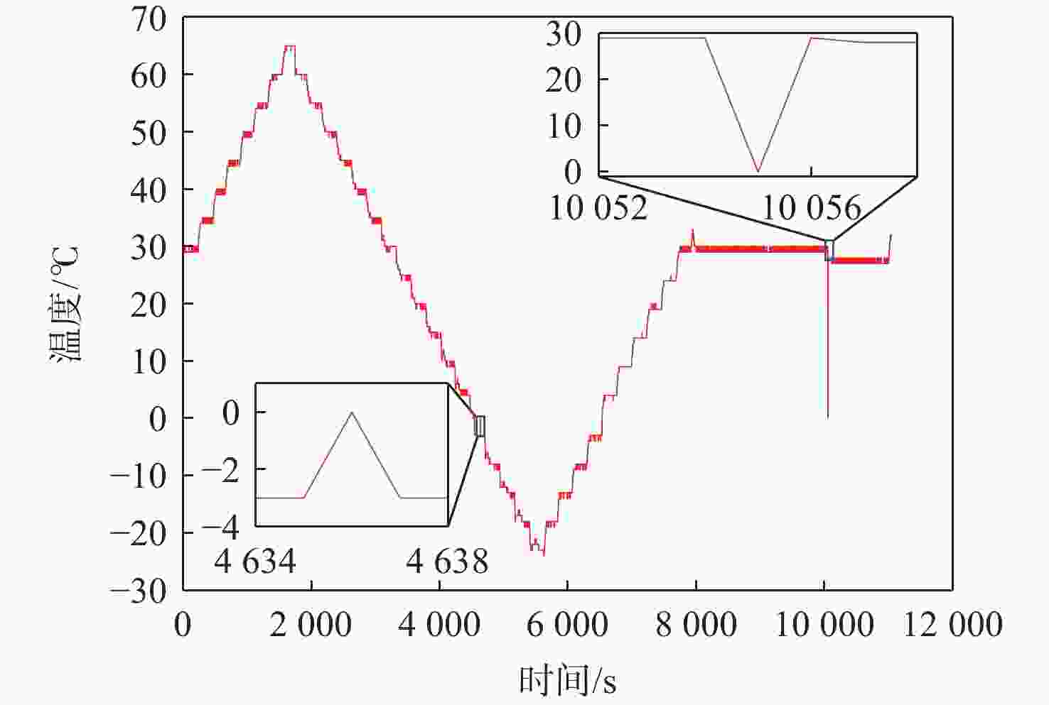
为解决微纳卫星星上校时守时系统的稳定性差、受环境温度影响大的问题,提出了提高系统性能的新息加权自适应卡尔曼滤波算法。建立温补晶振的频率随温度变化的模型,采用卡尔曼滤波算法滤除输入噪声并实现晶振的校准,采用新息加权技术滤除野值,利用自适应技术减少系统噪声对滤波结果的影响。实验结果表明:所提算法可以在600 s左右实现收敛并且在校时期间可以实时调整,校时过程中可有效地减小输入野值和系统噪声的影响,在环境温度变化时守时精度可达到178 μs/d,有效地提高了系统的稳定性和守时精度。
Abstract:A new innovation-weighted adaptive Kalman filtering algorithm is proposed to improve system performance by addressing the issues of poor stability of the internal calibration punctual system of micro-nano satellites and low punctuality accuracy when large changes occur due to the influence of ambient temperature. A model of frequency change of temperature-compensated crystal oscillator with temperature is established, the Kalman filter algorithm is used to filter out the input noise and realize the calibration of the crystal oscillator model parameters, the input field value is filtered out by new innovation-weighted technology, and the influence of system noise on the filtering results is reduced by adaptive technology. The experimental results show that the algorithm can achieve the convergence of model parameters in about 600s and can be adjusted in real time during the calibration period. The influence of input field value and system noise can be successfully controlled throughout the calibration process; when the ambient temperature changes, the punctual accuracy can reach 178 μs/day. The proposed algorithm effectively improves the stability and punctual accuracy of the system.
-
表 1 有无晶振模型时间偏移表
Table 1. Time offset table with or without crystal oscillator model
时长/h 无晶振模型偏移/ms 有晶振模型偏移/μs 0.5 0.174 2 5.616 7 1 0.473 2 6.366 7 3 3.205 4 33.466 7 6 12.835 5 82.133 3 24 107.301 7 178.300 0 -
[1] ZHAO X Y, ZHAO C J, LI J L, et al. Research on design, simulation, and experiment of separation mechanism for micro-nano satellites[J]. Applied Sciences, 2022, 12(12): 5997. doi: 10.3390/app12125997 [2] XU J L, ZHANG C J, WANG C H, et al. Approach to inter-satellite time synchronization for micro-satellite cluster[J]. Journal of Systems Engineering and Electronics, 2018, 29(4): 805-815. doi: 10.21629/JSEE.2018.04.15 [3] YAO J, YOON S, STRESSLER B, et al. GPS satellite clock estimation using global atomic clock network[J]. GPS Solutions, 2021, 25(3): 106. doi: 10.1007/s10291-021-01145-8 [4] BIANCALANA F, SKRYABIN D V, YULIN A V. Theory of the soliton self-frequency shift compensation by the resonant radiation in photonic crystal fibers[J]. Physical Review E, Statistical, Nonlinear, and Soft Matter Physics, 2004, 70(1 Pt 2): 016615. [5] GIRALO V, D’AMICO S. Distributed multi-GNSS timing and localization for nanosatellites[J]. Navigation, 2019, 66(4): 729-746. doi: 10.1002/navi.337 [6] 苏星, 王慧泉, 金仲和. 基于GPS校准的皮卫星高精度时间系统方案[J]. 传感技术学报, 2016, 29(8): 1200-1204. doi: 10.3969/j.issn.1004-1699.2016.08.013SU X, WANG H Q, JIN Z H. The high-precisiontime system design of pico-satellite based on GPS receiver[J]. Chinese Journal of Sensors and Actuators, 2016, 29(8): 1200-1204 (in Chinese). doi: 10.3969/j.issn.1004-1699.2016.08.013 [7] GIORGI G, NARDUZZI C. Performance analysis of Kalman-filter-based clock synchronization in IEEE 1588 networks[J]. IEEE Transactions on Instrumentation and Measurement, 2011, 60(8): 2902-2909. doi: 10.1109/TIM.2011.2113120 [8] PALLIER D, LE CAM V, PILLEMENT S. Energy-efficient GPS synchronization for wireless nodes[J]. IEEE Sensors Journal, 2021, 21(4): 5221-5229. doi: 10.1109/JSEN.2020.3031350 [9] 李振海, 唐金锐, 熊斌宇, 等. 基于新息加权自适应UPF算法的智能变电站PTP主时钟源校准新方法[J]. 电网技术, 2022, 46(5): 1662-1671.LI Z H, TANG J R, XIONG B Y, et al. A novel calibration method for the master PTP clock in smart substations using new information sequence weighting and adaptive unscented Kalman particle filter algorithms[J]. Power System Technology, 2022, 46(5): 1662-1671 (in Chinese). [10] KOSYKH A V, IONOV B P. Dynamic temperature model and dynamic temperature compensation of crystal oscillators[J]. IEEE Transactions on Ultrasonics, Ferroelectrics, and Frequency Control, 2002, 41(3): 370-374. [11] LIU Z, CHENG Y H, WANG P, et al. A method for remaining useful life prediction of crystal oscillators using the Bayesian approach and extreme learning machine under uncertainty[J]. Neurocomputing, 2018, 305: 27-38. doi: 10.1016/j.neucom.2018.04.043 [12] TAN F, LIAO S, XU L, et al. New method for 100-MHz high-frequency temperature-compensated crystal oscillator[J]. IEEE Transactions on Ultrasonics, Ferroelectrics, and Frequency Control, 2020, 67(12): 2745-2749. doi: 10.1109/TUFFC.2020.3013664 [13] ANDREJEVIC M V, LITOVSKI V. Electronic circuits modeling using artificial neural networks[J]. Journal of Automatic Control, 2003, 13(1): 31-37. doi: 10.2298/JAC0301031A [14] VIG J R. Quartz crystal resonators and oscillators for frequency control and timing applications. A tutorial [J]. Nasa Sti/recon Technical Report N, 1994, 95: 19519. [15] MOHAMED A H, SCHWARZ K P. Adaptive Kalman filtering for INS/GPS[J]. Journal of Geodesy, 1999, 73(4): 193-203. [16] BEN SASSI H, FATIMA E, ES-SBAI N. State of charge estimation by multi-innovation unscented Kalman filter for vehicular applications[J]. Journal of Energy Storage, 2020, 32: 101978. doi: 10.1016/j.est.2020.101978 -


下载: