Performance test and constitutive model selection of diaphragm materials in hot diaphragm forming
-
摘要:
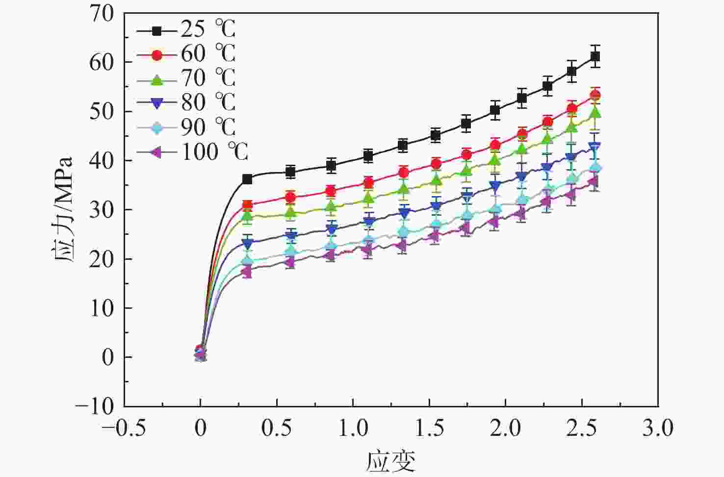
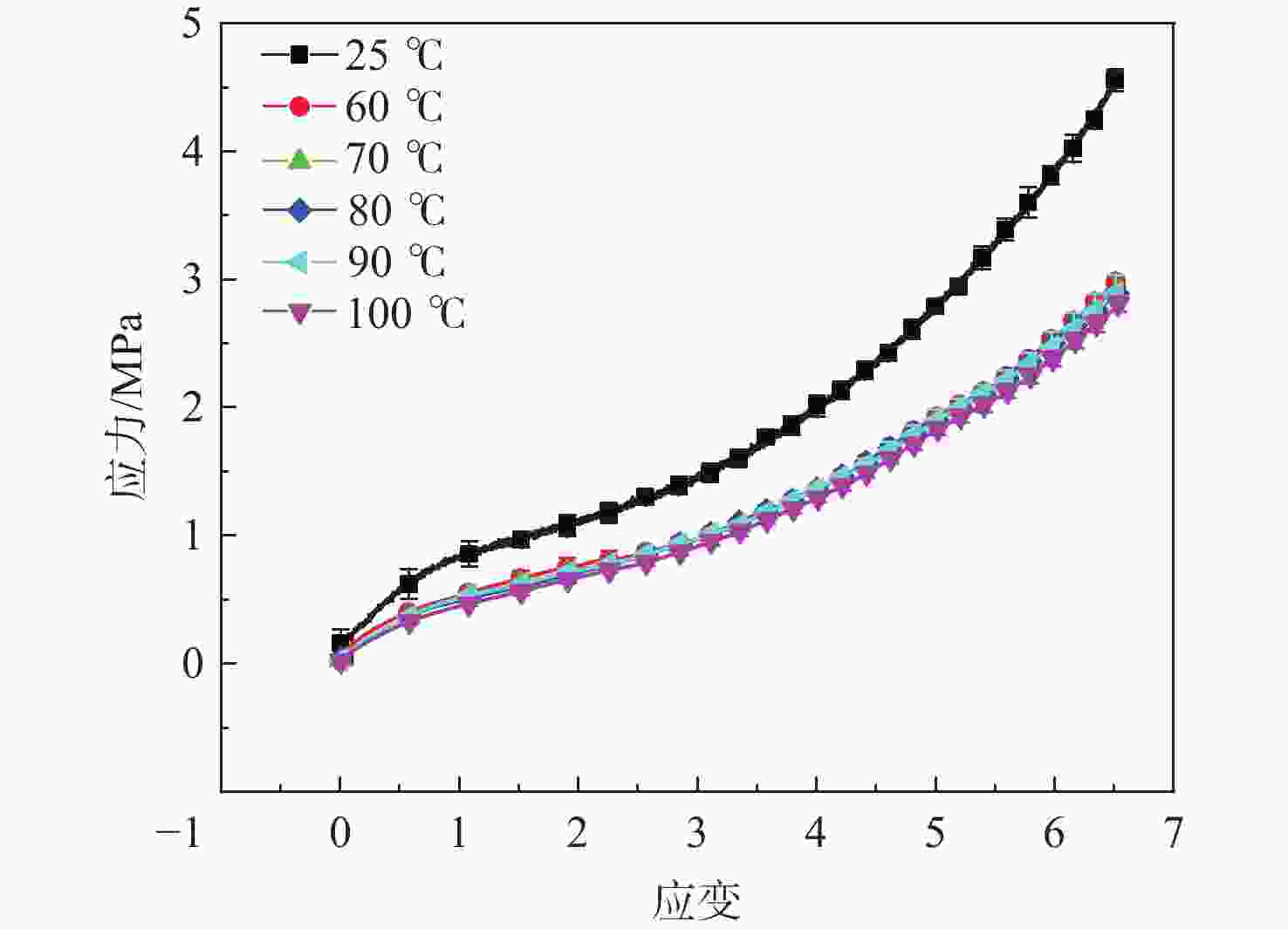
隔膜本构模型的选择直接关系到热隔膜成形仿真的精度。为分析5种超弹性本构模型对不同隔膜材料的适用性,对尼龙隔膜和硅橡胶隔膜2种不同类型的隔膜材料进行不同温度单轴拉伸测试,通过应力-应变曲线、断裂延伸率和弹性模量分析2类材料的性能差异;采用5种超弹性本构模型分别对隔膜材料的单轴拉伸试验数据进行拟合,并将试验数据与隔膜材料的单轴拉伸和热隔膜成形过程仿真数据进行对比。结果表明:硅橡胶隔膜材料具有比尼龙隔膜更大的断裂延伸率,但其弹性模量远小于尼龙隔膜材料。Ogden、Polynomial (
N =2)和Marlow模型对尼龙隔膜和硅橡胶隔膜单轴拉伸数据均具有较高的拟合度,Yeoh模型对尼龙隔膜单轴拉伸数据拟合度较低,对硅橡胶隔膜的拟合度较高。Mooney-Rivlin模型无法准确反映大变形状态下超弹性材料的应力-应变关系,对2种隔膜材料的单轴拉伸数据拟合度都较低。以单轴拉伸数据建立的Ogden和Polynomial模型(N= 2)模型在热隔膜成形模拟时存在过刚现象,而Marlow模型则具有很高的预测精度。Abstract:The selection of the diaphragm constitutive model is directly related to the precision of hot diaphragm forming simulation. In order to analyze the applicability of five hyperelastic constitutive methods to different diaphragm materials, uniaxial tensile tests were carried out on two different types of diaphragm materials (nylon diaphragm and silicone rubber diaphragm) at different temperatures, and the performance differences of the two types of materials were analyzed by stress-strain curves, fracture elongation, and modulus. Five hyperelastic constitutive models were used to fit the data of diaphragm materials in the uniaxial tensile tests, and the data were compared with the simulation data of the uniaxial tension and hot diaphragm forming process of the diaphragm materials. The results indicate that the rubber diaphragm material has a greater fracture elongation than the nylon diaphragm, but its modulus is much smaller than the nylon diaphragm material. The Ogden, Polynomial (
N = 2), and Marlow models have a high degree of fit for uniaxial tensile data of nylon and rubber diaphragms. However, the Yeoh model has a low degree of fit for uniaxial tensile data of nylon diaphragms but a high degree of fit for rubber diaphragms. Mooney-Rivlin model fails to accurately reflect the stress-strain relationship of hyperelastic material under large deformation, and the degree of fit of uniaxial tensile data of two diaphragm materials is relatively low. The Ogden and Polynomial (N = 2) models established based on uniaxial tensile data exhibit excessive stiffness during the simulation of hot diaphragm forming, while the Marlow model has high prediction accuracy. -
表 1 尼龙隔膜不同温度下的模型参数(Polynomial, N=2)
Table 1. Model parameters of nylon diaphragm at different temperatures (Polynomial, N= 2)
参数/℃ C01 C10 C02 C20 C11 E/MPa 25 194.61 −136.99 50.81 1.29 −7.81 345.65 60 176.74 −126.26 50.07 1.59 −9.40 302.89 70 160.36 −114.28 43.46 1.17 −7.09 276.45 80 131.94 −93.75 35.60 0.94 −5.72 229.14 90 95.45 −66.07 25.45 0.79 −4.44 176.28 100 76.43 −51.18 19.01 0.59 −3.14 151.49 表 2 硅橡胶隔膜不同温度下的模型参数(Polynomial, N=2)
Table 2. Model parameters of silicone rubber diaphragm at different temperatures (Polynomial, N= 2)
参数/℃ C01 C10 C02 C20 C11 E/MPa 25 −0.07 0.39 −0.10 1.81×10−3 2.87×10−3 1.87 60 −0.22 0.39 −0.12 2.27×10−4 0.01 1.04 70 −0.28 0.43 −0.13 3.69×10−5 0.01 0.90 80 −0.26 0.39 −0.12 −1.56×10−4 0.01 0.80 90 −0.36 0.48 −0.14 −1.27×10−4 0.01 0.72 100 −0.29 0.40 −0.12 −7.75×10−5 0.01 0.65 表 3 尼龙隔膜不同模型的拟合参数
Table 3. Fitting parameters of different models for nylon diaphragm
模型 参数 Mooney-Rivlin C10=1.95,C01=12.73 Ogden u1=15.70,u2=15.65,u3=0.15,α1=−1.53,α2=−1.53,α3=−12.00 Yeoh C10=11.10,C20=−1.51,C30=0.11 Polynomial, N=2 C01=131.94,C10=−93.75,C02=35.61,C20=0.94,C11=−5.72 表 4 硅橡胶隔膜不同模型的拟合参数
Table 4. Fitting parameters of different models for silicone rubber diaphragm
模型 参数 Mooney-Rivlin C10=0.21,C01=−0.29 Ogden u1=0.29,u2=0.05,u3=0.09,α1=0.09,α2=0.09,α3=−6.54 Yeoh C10=0.12,C20=7.65×10−4,C30=1.30×10−5 Polynomial, N=2 C01=−0.26,C10=0.39,C02=−0.12,C20=−1.57×10−4,C11=0.01 -
[1] TANG Z X, YE L. Characterisation of mechanical properties of thin polymer films using a bi-axial tension based on blow-up test[J]. Plastics Rubber and Composites, 2003, 32(10): 459-465. doi: 10.1179/146580103225004379 [2] 吴志恩. 复合材料热隔膜成型[J]. 航空制造技术, 2009, 52(增刊2): 113-116.WU Z E. Hot drape forming of composites [J]. Aeronautical Manufacturing Technology, 2009, 52(Sup 2): 113-116(in Chinese). [3] O’BRÁDAIGH C M, PIPES R B, MALLON P J. Issues in diaphragm forming of continuous fiber reinforced thermoplastic composites[J]. Polymer Composites, 1991, 12(4): 246-256. doi: 10.1002/pc.750120406 [4] MONAGHAN M R, MALLON P J, O’BRADAIGH C M, et al. The effect of diaphragm stiffness on the quality of diaphragm formed thermoplastic composite components[J]. Journal of Thermoplastic Composite Materials, 1990, 3(3): 202-215. doi: 10.1177/089270579000300303 [5] MALLON P J, O’BRÁDAIGH C M, PIPES R B. Polymeric diaphragm forming of complex-curvature thermoplastic composite parts[J]. Composites, 1989, 20(1): 48-56. doi: 10.1016/0010-4361(89)90682-4 [6] BERSEE H E N, BEUKERS A. Diaphragm forming of continuous fibre reinforced thermoplastics: influence of temperature, pressure and forming velocity on the forming of Upilex-R® diaphragms[J]. Composites Part A: Applied Science and Manufacturing, 2002, 33(7): 949-958. doi: 10.1016/S1359-835X(02)00037-4 [7] WALCZYK D F, HARDT D E. Design and analysis of reconfigurable discrete dies for sheet metal forming[J]. Journal of Manufacturing Systems, 1998, 17(6): 436-454. doi: 10.1016/S0278-6125(99)80003-X [8] ELGAMEL H E. Closed-form expressions for the relationships between stress, diaphragm deflection, and resistance change with pressure in silicon piezoresistive pressure sensors[J]. Sensors and Actuators A: Physical, 1995, 50(1-2): 17-22. doi: 10.1016/0924-4247(95)01037-2 [9] GUTOWSKI T G, DILLON G, CHEY S, et al. Laminate wrinkling scaling laws for ideal composites[J]. Composites Manufacturing, 1995, 6(3-4): 123-134. doi: 10.1016/0956-7143(95)95003-H [10] O’BRÁDAIGH C M, MCGUINNESS G B, PIPES R B. Numerical analysis of stresses and deformations in composite materials sheet forming: central indentation of a circular sheet[J]. Composites Manufacturing, 1993, 4(2): 67-83. doi: 10.1016/0956-7143(93)90074-I [11] SORRENTINO L, BELLINI C. Potentiality of hot drape forming to produce complex shape parts in composite material[J]. The International Journal of Advanced Manufacturing Technology, 2016, 85(5): 945-954. [12] SJÖLANDER J, HALLANDER P, ÅKERMO M. Forming induced wrinkling of composite laminates: a numerical study on wrinkling mechanisms[J]. Composites Part A: Applied Science and Manufacturing, 2016, 81: 41-51. doi: 10.1016/j.compositesa.2015.10.012 [13] CHEN S, MCGREGOR O P L, HARPER L T, et al. Defect formation during preforming of a bi-axial non-crimp fabric with a pillar stitch pattern[J]. Composites Part A: Applied Science and Manufacturing, 2016, 91: 156-167. doi: 10.1016/j.compositesa.2016.09.016 [14] CHEN S, MCGREGOR O P L, ENDRUWEIT A, et al. Double diaphragm forming simulation for complex composite structures[J]. Composites Part A: Applied Science and Manufacturing, 2017, 95: 346-358. doi: 10.1016/j.compositesa.2017.01.017 [15] THOMPSON A J, BELNOUE J P, HALLETT S R. Modelling defect formation in textiles during the double diaphragm forming process[J]. Composites Part B: Engineering, 2020, 202: 108357. doi: 10.1016/j.compositesb.2020.108357 [16] 杨小亮, 彭雄奇, 王立冬, 等. 热隔膜成形中隔膜的超弹性本构模型[J]. 模具技术, 2016(6): 14-18. doi: 10.3969/j.issn.1001-4934.2016.06.004YANG X L, PENG X Q, WANG L D, et al. Hyperelastic constitutive model of diaphragm in hot diaphragm forming[J]. Die and Mould Technology, 2016(6): 14-18(in Chinese). doi: 10.3969/j.issn.1001-4934.2016.06.004 [17] WANG L D, WANG J C, LIU M R, et al. Development and verification of a finite element model for double diaphragm preforming of unidirectional carbon fiber prepreg[J]. Composites Part A: Applied Science and Manufacturing, 2020, 135: 105924. doi: 10.1016/j.compositesa.2020.105924 [18] 王立冬, 魏冉, 徐鹏, 等. 基于温度的隔膜超弹性本构模型[J]. 上海交通大学学报, 2017, 51(9): 1025-1030.WANG L D, WEI R, XU P, et al. A temperature-dependent hyperelastic constitutive model for diaphragm[J]. Journal of Shanghai Jiao Tong University, 2017, 51(9): 1025-1030(in Chinese). [19] YU F, CHEN S, HARPER L T, et al. Double diaphragm forming simulation using a global-to-local modelling strategy for detailed defect detection in large structures[J]. Composites Part A: Applied Science and Manufacturing, 2021, 147: 106457. doi: 10.1016/j.compositesa.2021.106457 [20] 中华人民共和国国家质量监督检验检疫总局,中国国家标准化管理委员会. 塑料 拉伸性能测试 第3部分: 薄膜和薄片的试验条件: GB/T 1040.3—2006[S]. 北京: 中国标准出版社, 2006.General Administration of Quality Supervision, Inspection and Quarantine of the People's Republic of China and Standardization Administration of the People's Republic of China. Plastics- Determination of tensile properties- Part 3: Test conditions for films and sheets: GB/T1040.3-2006 [S]. Beijing: China Standard Press, 2006. [21] RIVLIN R S. Large elastic deformations of isotropic materials IV. further developments of the general theory[J]. Philosophical Transactions of the Royal Society of London, Series A, Mathematical and Physical Sciences, 1948, 241(835):379-397. [22] OGDEN R W. Large deformation isotropic elasticity-on the correlation of theory and experiment for incompressible rubberlike solids[J]. Proceedings of the Royal Society of London Series A, 1972, 326(1567): 565-584. [23] Dassault Systemes. Abaqus simulia user assistance[EB/OL]. [2023-05-16]. http://help.3ds.com/2022/english/dssimulia_established/SIMACAEMATRefMap/simamat-c-hyperelastic.htm?contextscope=all#simamat-c-hyperelastic-marlow. [24] 王永冠, 李心, 黄友剑. 橡胶计算中本构模型的选择[C] // "时代新材杯"全国橡胶制品技术研讨会. 北京: 中国化工学会, 中国汽车工程学会, 2007: 443-449.WANG Y G, LI X, HUANG Y J. Selection of constitutive models in rubber calculation[C]//National Rubber Product Technology Seminar on “New Materials Cup of the Era”. Beijing: China Chemical Society, China Automotive Engineering Society, 2007: 443-449(in Chinese). -


下载: