Spaceborne particle identification platform and application based on convolutional neural network
-
摘要:
空间辐射粒子的准确鉴别对科研和工程应用至关重要。现有的粒子鉴别方法,包括探测器望远镜法、静电分析飞行时间法、飞行时间能量法及波形分析能量法,已经在实际应用中取得了良好的效果。结合卷积神经网络(CNN)强大的特征提取与分类能力,有望进一步提升粒子能量测量和种类鉴别的精度。基于空间环境探测载荷常用环境,提出一种用于构建在轨CNN粒子鉴别平台的方法,实现粒子种类鉴别。构建了多维度的输入数据集,借助软件平台完成模型的训练与权值的导出,并通过硬件平台完成波形的推断与数据集的扩充。利用建立好的鉴别平台对实际测试得到的中子和伽马波形数据进行训练和测试,并分析软硬件平台鉴别的准确度,完成了平台的验证工作。鉴别平台的建立和应用为未来空间环境探测中粒子测量和鉴别提供了一种新的思路和方法,具有较强的工程实践意义。
Abstract:Accurate identification of space radiation particles is crucial for both scientific research and engineering applications. Existing particle identification methods, including detector telescope methods, electrostatic analysis time-of-flight methods, time-of-flight energy methods, and waveform analysis energy methods, have achieved good results in practical applications. However, by leveraging the powerful feature extraction and classification capabilities of convolutional neural networks (CNN), it is expected to further enhance the precision of particle energy measurement and species identification. Based on common space environment detection payloads, this paper proposes a method to build an on-orbit CNN-based particle identification platform for particle species identification. The platform first constructs a multidimensional input dataset, with model training and weight extraction completed through software platforms, and waveform inference and dataset expansion carried out on the hardware platform. The established identification platform is used to train and test neutron and gamma waveform data obtained from actual tests, and the identification accuracy of both the software and hardware platforms is analyzed, completing the platform verification. The establishment and application of this identification platform provide a new approach and method for future particle measurement and identification in space environment detection, with significant engineering practical implications.
-
表 1 训练数据集数据增强信息
Table 1. Data augmentation information for training dataset
序号 训练集内容 数据增强方式 1 波形上升沿信息 降采样+噪声添加 2 波形下降沿信息 降采样+噪声添加 3 全波形信息 降采样+噪声添加 表 2 CNN架构信息
Table 2. CNN architecture information
网络层 输入 详细 输出 第1层卷积 1通道M点粒子波形数据 A个卷积核,卷积核元素为A×5 A个通道,每通道M点数据 第1层池化 A个通道,每通道M点数据 X数据最大池化 A个通道,每通道M/X点数据 第2层卷积 A个通道每通道M/X点数据 B个卷积核,卷积核元素为B×5 B个通道,每通道M/X点数据 第2层池化 B个通道每通道M/X点数据 Y数据最大池化 B通道,每通道M/(XY)点数据 第3层卷积 B个通道每通道M/(XY)点数据 C个卷积核,卷积核元素为C×5 C个通道,每通道M/(XY)点数据 全连接 C个通道每通道M/(XY)点数据 数据拼接 1通道CM/(XY)点数据 输出层 D个种类 注:M/(XY)应为正整数。 表 3 定点数参数信息
Table 3. Fixed-point number parameter information
序号 参数名称 参数排布 1 卷积层1参数Conv1.coe 卷积层1各通道卷积核+各通道偏置 2 卷积层2参数Conv2.coe 卷积层2各通道卷积核+各通道偏置 3 卷积层3参数Conv3.coe 卷积层3各通道卷积核+各通道偏置 4 全连接层参数Full.coe 输出类别对应的全连接层展平后参数+输出类别节点偏置 表 4 DSP需求计算
Table 4. DSP requirement calculation
网络层 输入 输出 需要DSP单元个数 第1层卷积 1通道M点粒子波形数据 A个通道,每通道M点数据 1×A×5 第1层池化 A个通道,每通道M点数据 A个通道,每通道M/X点数据 第2层卷积 A个通道每通道M/X点数据 B个通道,每通道M/X点数据 A×B×5 第2层池化 B个通道每通道M/X点数据 B个通道,每通道M/(XY)点数据 第3层卷积 B个通道每通道M/(XY)点数据 C个通道,每通道M/(XY)点数据 B×C×5 全连接 C个通道每通道M/(XY)点数据 1通道CM/(XY)点数据 C×D 输出层 D个种类 表 5 推断时间计算
Table 5. Inference time calculation
网络层 输入 输出 所需时间(CLK) 第1层卷积 1通道M点粒子波形数据 A个通道,每通道M点数据 M+8 第1层池化 A个通道,每通道M点数据 A个通道,每通道M/X点数据 第2层卷积 A个通道每通道M/X点数据 B个通道,每通道M/X点数据 M/X+8 第2层池化 B个通道每通道M/X点数据 B个通道,每通道M/(XY)点数据 第3层卷积 B个通道每通道M/(XY)点数据 C个通道,每通道M/(XY)点数据 M/(XY)+8 全连接 C个通道每通道M/(XY)点数据 1通道CM/(XY)点数据 M/(XY) 输出层 D个种类 表 6 中子和伽马CNN模型架构信息
Table 6. CNN architecture information of neutron and gamma
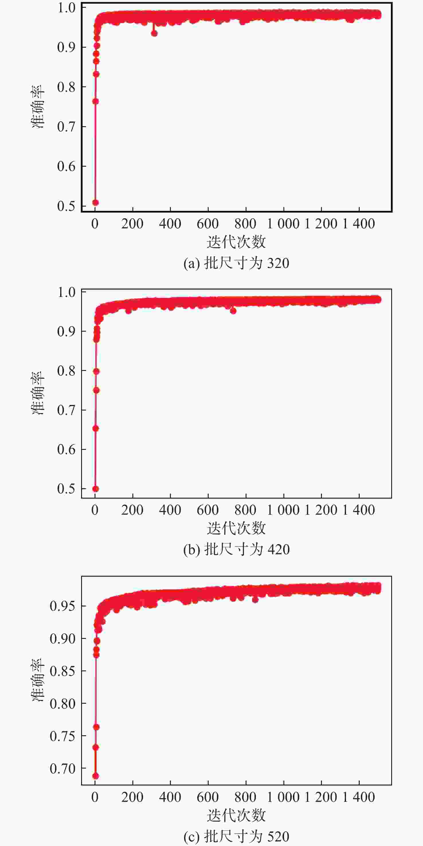
网络层 输入 详细 输出 第1层卷积 1通道100点粒子波形数据 4个卷积核,卷积核元素为20 4个通道,每通道100点数据 第1层池化 4个通道,每通道100点数据 2数据最大池化 4个通道,每通道50点数据 第2层卷积 4个通道每通道50点数据 8个卷积核,卷积核元素为40 8个通道,每通道50点数据 第2层池化 8个通道每通道50点数据 2数据最大池化 8通道,每通道25点数据 第3层卷积 8个通道每通道50点数据 8个卷积核,卷积核元素为40 8个通道,每通道25点数据 全连接 8个通道每通道25点数据 数据拼接 1通道200点数据 输出层 2个种类 表 7 测试准确率评估
Table 7. Test accuracy evaluation
测试集种类 测试准确率/% 全波形测试集 98 上升沿测试集 99 下降沿测试集 97 整体数据集 98 表 8 DSP所需资源
Table 8. DSP resource requirements
网络层 输入 输出 需要DSP
单元个数第1层卷积 1通道100点数据 4个通道,每通道
100点数据20 第2层卷积 4个通道每通道
50点数据8个通道,每通道
50点数据160 第3层卷积 8个通道每通道
25点数据8个通道,每通道
25点数据320 全连接 8个通道每通道
25点数据1通道200点数据 16 表 9 推断时间理论分析
Table 9. Theoretical analysis of inference time
网络层 输入 输出 所需时间 第1层卷积 1通道100点数据 4个通道,每通道
100点数据108 第2层卷积 4个通道每通道
50点数据8个通道,每通道
50点数据58 第3层卷积 8个通道每通道
25点数据8个通道,每通道
25点数据33 全连接 8个通道每通道
25点数据1通道200点数据 25 表 10 软件和FPGA推断结果对比
Table 10. Comparison of software and FPGA inference results
输出数据 软件推断输出 FPGA推断输出 Softmax结果 软件
判断结果FPGA
判断结果模型中子
推断节点模型伽马
推断节点模型中子
推断节点模型伽马
推断节点软件准确率/% FPGA推断
准确率/%全波形
中子1.6047 − 2.2876 0.4995 − 1.1916 98 84 中子 中子 全波形
伽马− 4.5955 3.5604 − 5.8095 4.7082 99 99 伽马 伽马 上升沿
中子3.9685 − 3.6717 2.2805 − 1.6557 99 98 中子 中子 上升沿
伽马− 3.3998 4.1897 − 4.4687 5.475 99 99 伽马 伽马 下降沿
中子2.6 − 3.2806 1.7648 − 2.5268 99 98 中子 中子 下降沿
伽马− 2.3543 1.367 − 3.0573 1.9877 97 99 伽马 伽马 -
[1] 朱金涛. 基于脉冲波形分析的带电粒子鉴别方法研究[D]. 长沙: 国防科学技术大学, 2014.ZHU J T. Research on charged particle identification method based on pulse waveform analysis[D]. Changsha: National University of Defense Technology, 2014 (in Chinese). [2] 朱金涛, 刘国福, 杨云, 等. 带电粒子鉴别方法的发展与现状[J]. 核电子学与探测技术, 2014, 34(2): 194-199. doi: 10.3969/j.issn.0258-0934.2014.02.016ZHU J T, LIU G F, YANG Y, et al. Development of charged particle identification methods[J]. Nuclear Electronics & Detection Technology, 2014, 34(2): 194-199(in Chinese). doi: 10.3969/j.issn.0258-0934.2014.02.016 [3] 孔令高, 张爱兵, 田峥, 等. 自主火星探测高集成离子与中性粒子分析仪[J]. 深空探测学报, 2019, 6(2): 142-149.KONG L G, ZHANG A B, TIAN Z, et al. Integrated ion and neutral particle analyzer for Chinese Mars mission[J]. Journal of Deep Space Exploration, 2019, 6(2): 142-149(in Chinese). [4] 张惠鸽, 王哲斌, 张文海. 粒子鉴别技术简介[J]. 核电子学与探测技术, 2010, 30(11): 1473-1479. doi: 10.3969/j.issn.0258-0934.2010.11.016ZHANG H G, WANG Z B, ZHANG W H. The brief introduction of particle identification[J]. Nuclear Electronics & Detection Technology, 2010, 30(11): 1473-1479(in Chinese). doi: 10.3969/j.issn.0258-0934.2010.11.016 [5] MAHATA K, SHRIVASTAVA A, GORE J A, et al. Particle identification using digital pulse shape discrimination in a nTD silicon detector with a 1 GHz sampling digitizer[J]. Nuclear Instruments and Methods in Physics Research Section A: Accelerators, Spectrometers, Detectors and Associated Equipment, 2018, 894: 20-24. [6] 侯东辉, 张珅毅, 杨祎罡, 等. 基于CLYC闪烁体的中子能谱测量及反演方法[J]. 北京麻豆精品秘 国产传媒学报, 2021, 47(1): 106-114.HOU D H, ZHANG S Y, YANG Y G, et al. Neutron measurement and inversion based on CLYC scintillator[J]. Journal of Beijing University of Aeronautics and Astronautics, 2021, 47(1): 106-114(in Chinese). [7] WANG Q B, TUO X G, DENG C, et al. Characterization of a Cs 2 LiYCl 6: Ce 3 + scintillator coupled with two silicon photomultiplier arrays of different sizes[J]. Nuclear Instruments and Methods in Physics Research Section A: Accelerators, Spectrometers, Detectors and Associated Equipment, 2019, 942: 162339. doi: 10.1016/j.nima.2019.162339 [8] 艾鹏程. 基于卷积神经网络的高能物理事例特征信息在线提取算法研究[D]. 武汉: 华中师范大学, 2020.AI P C. On-line extraction algorithm of high-energy physics case feature information based on convolutional neural network[D]. Wuhan: Central China Normal University, 2020(in Chinese). [9] 原永朋, 游大涛, 武相军, 等. 类内类间距离在CNN识别心拍类中的应用研究[J]. 计算机工程与应用, 2019, 55(14): 242-248. doi: 10.3778/j.issn.1002-8331.1804-0285YUAN Y P, YOU D T, WU X J, et al. Application of intra-class and inter-class distance in CNN recognition of heart beat[J]. Computer Engineering and Applications, 2019, 55(14): 242-248(in Chinese). doi: 10.3778/j.issn.1002-8331.1804-0285 [10] FOBAR D, PHILLIPS L, WILHELM A, et al. Considerations for training an artificial neural network for particle type identification[J]. IEEE Transactions on Nuclear Science, 2021, 68(9): 2350-2357. doi: 10.1109/TNS.2021.3103658 [11] MA Y F, CAO Y, VRUDHULA S, et al. Optimizing loop operation and dataflow in FPGA acceleration of deep convolutional neural networks[C]//Proceedings of the ACM/SIGDA International Symposium on Field-Programmable Gate Arrays. New York: ACM, 2017: 45-54. [12] PAUSCH G, MOSZYŃSKI M, WOLSKI D, et al. Application of the pulse-shape technique to proton-alpha discrimination in Si-detector arrays[J]. Nuclear Instruments and Methods in Physics Research Section A: Accelerators, Spectrometers, Detectors and Associated Equipment, 1995, 365(1): 176-184. doi: 10.1016/0168-9002(95)00488-2 [13] PAUSCH G, ORTLEPP H G, BOHNE W, et al. Identification of light charged particles and heavy ions in silicon detectors by means of pulse-shape discrimination[J]. IEEE Transactions on Nuclear Science, 1996, 43(3): 1097-1101. doi: 10.1109/23.506644 [14] PAUSCH G, BOHNE W, FUCHS H, et al. Particle identification in solid-state detectors by exploiting pulse shape information[J]. Nuclear Instruments and Methods in Physics Research Section A: Accelerators, Spectrometers, Detectors and Associated Equipment, 1992, 322(1): 43-52. [15] QUARANTA A A, MARTINI M, OTTAVIANI G. The pulse shape and the timing problem in solid state detectors——a review paper[J]. IEEE Transactions on Nuclear Science, 1969, 16(2): 35-61. doi: 10.1109/TNS.1969.4325151 [16] 朱金涛, 刘国福, 杨俊, 等. 带电粒子鉴别的脉冲波形分析法比较研究[C]//第十七届全国核电子学与核探测技术学术年会论文集. 兰州: 中国电子学会, 2014: 253-258.ZHU J T, LIU G F, YANG J, et al. Pulse shape analysis comparison research of charged particle ldentification[C]//Proceedings of the 17th National Academic Annual Conference on Nuclear Electronics and Nuclear Detection Technology. Lanzhou: Chinese Institute of Electronice, 2014: 253-258(in Chinese). [17] DROZ D, TYKHONOV A, WU X, et al. A neural network classifier for electron identification on the DAMPE experiment[J]. Journal of Instrumentation, 2021, 16(7): P07036. doi: 10.1088/1748-0221/16/07/P07036 [18] ASTRAIN M, RUIZ M, STEPHEN A V, et al. Real-time implementation of the neutron/gamma discrimination in an FPGA-based DAQ MTCA platform using a convolutional neural network[J]. IEEE Transactions on Nuclear Science, 2021, 68(8): 2173-2178. doi: 10.1109/TNS.2021.3090670 [19] LU J, TUO X G, YANG H C, et al. Pulse-shape discrimination of SiPM array-coupled CLYC detector using convolutional neural network[J]. Applied Sciences, 2022, 12(5): 2400. doi: 10.3390/app12052400 -


下载: