-
摘要:
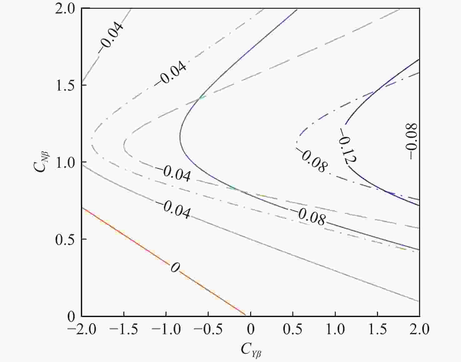
为研究单点吊挂集装箱的动稳定性,利用风洞试验捕捉吊挂集装箱的发散运动规律,进而解耦单点吊挂系统运动方程进行动力学分析,发现集装箱运动发散的原因为侧向气动力对摆动运动产生了激励作用。稳定性判据表明:单点吊挂系统稳定的必要条件为吊挂体的偏航力矩和侧向力对其偏摆运动产生阻尼作用,但偏航回复力矩过大也可能会降低吊挂系统的动稳定性。保持吊挂体的侧向阻尼力和偏航回复力矩适当,减小阻力,增大吊挂体质量和转动惯量均有利于吊挂系统稳定。直升机吊挂飞行过程中如遇到吊挂系统不稳定状态可通过适当减速进行控制,减小吊索长度可增加外吊挂稳定前飞的飞行速度,存在最优吊索长度使巡航速度下吊挂系统稳定性最佳。
Abstract:To study the dynamic stability of a single-point hanging container, the divergent motion of the hanging container was captured by a wind tunnel test, and the motion equation of the single-point hanging system was decoupled for dynamics analysis. It was found that the reason for the divergent motion of the container was that the lateral aerodynamic force had a motivating effect on the swing motion. The stability criterion showed that the necessary condition for the stability of the single-point hanging system was the damping action of the yawing moment and lateral force of the hanging body on its yawing motion, but an excessive yawing recovery force may reduce the dynamic stability of the hanging system. Keeping the lateral damping force and yawing recovery moment appropriate, reducing the resistance, and increasing the mass and moment of inertia of the hanging body were beneficial to the stability of the hanging system. In the process of hanging flight, if the hanging system becomes unstable, the helicopter can be controlled by decelerating properly, and the sling length can be reduced to increase the flight speed of the stable forward flight of the helicopter with an external hanging body. Besides, there is an optimal sling length to ensure the optimal stability of the single-point hanging system at cruising speed.
-
Key words:
- single-point hanging /
- container /
- dynamic stability /
- aerodynamic characteristics /
- sling length
-
表 1 计算与试验动稳定性结果
Table 1. Dynamic stability results of calculation and experiment
风速/(m·s−1) λ1,λ2 ξ ωn/(rad·s−1) 计算 试验 计算 试验 计算 试验 8.7 0.0232 ±1.52i0.0227 ±1.53i− 0.0152 − 0.0149 1.53 1.52 11.2 0.0388 ±1.53i0.0313 ±1.52i− 0.0254 − 0.0204 1.53 1.53 13.7 0.0636 ±1.54i0.0643 ±1.50i− 0.0413 − 0.0428 1.53 1.50 -
[1] CYR D, GUARINO P, HITCHEN J, et al. Stabilization of helicopter sling loads with passive and active control surfaces[C]//Proceedings of the 54th AIAA Aerospace Sciences Meeting. Reston: AIAA, 2016. [2] ASSEO S J, WHITBECK R F. Control requirements for sling-load stabilization in heavy lift helicopters[J]. Journal of the American Helicopter Society, 1973, 18(3): 23-31. [3] MANWARING J C, CONWAY G A, GARRETT L C. Epidemiology and prevention of helicopter external load accidents[J]. Journal of Safety Research, 1998, 29(2): 107-121. doi: 10.1016/S0022-4375(98)00007-3 [4] CICOLANI L S, CONE A, THERON J N, et al. Flight test and simulation of a cargo container slung load in forward flight[J]. Journal of the American Helicopter Society, 2009, 54(3): 032006. doi: 10.4050/JAHS.54.032006 [5] HUFFMAN R R, GENIN J. The dynamical behaviour of a flexible cable in a uniform flow field[J]. Aeronautical Quarterly, 1971, 22(2): 183-195. doi: 10.1017/S0001925900005746 [6] POLL C, CROMACK D. Dynamics of slung bodies using a single-point suspension system[J]. Journal of Aircraft, 1973, 10(2): 80-86. doi: 10.2514/3.60200 [7] FEASTER L, POLI C, KIRCHHOFF R. Dynamics of a slung load[J]. Journal of Aircraft, 1977, 14(2): 115-121. doi: 10.2514/3.44578 [8] LUCASSEN L R, STERK F J. Dynamic stability analysis of a hovering helicopter with a sling load[J]. Journal of the American Helicopter Society, 1965, 10(2): 6-12. doi: 10.4050/JAHS.10.6 [9] OKTAY T, SULTAN C. Modeling and control of a helicopter slung-load system[J]. Aerospace Science and Technology, 2013, 29(1): 206-222. doi: 10.1016/j.ast.2013.03.005 [10] GUGLIERI G, MARGUERETTAZ P. Dynamic stability of a helicopter with an external suspended load[J]. Journal of the American Helicopter Society, 2014, 59(4): 1-12. [11] 陈元, 陈仁良. 直升机吊挂飞行耦合分析[J]. 南京麻豆精品秘 国产传媒学报, 2017, 49(2): 165-172.CHEN Y, CHEN R L. Coupling analysis of helicopter flying with slung load[J]. Journal of Nanjing University of Aeronautics & Astronautics, 2017, 49(2): 165-172(in Chinese). [12] KRISHNAMURTHI J, HORN J F. Helicopter slung load control using lagged cable angle feedback[J]. Journal of the American Helicopter Society, 2015, 60(2): 022011. [13] 曹龙, 曹义华, 李春华. 直升机-吊挂耦合系统平衡特性和稳定性分析[J]. 北京麻豆精品秘 国产传媒学报, 2014, 40(9): 1219-1224.CAO L, CAO Y H, LI C H. Equilibrium characteristics and stability analysis of helicopter-slung-load coupling system[J]. Journal of Beijing University of Aeronautics and Astronautics, 2014, 40(9): 1219-1224(in Chinese). [14] RAZ R, ROSEN A, CARMELI A, et al. Wind tunnel and flight evaluation of passive stabilization of a cargo container slung load[J]. Journal of the American Helicopter Society, 2010, 55(3): 32001-3200118. doi: 10.4050/JAHS.55.032001 [15] NYREN D J, TARDIFF M, DESABRAIS K. Passive stabilization and stability quantification of helicopter sling load payloads[C]//Proceedings of the American Helicopter Society 71st Annual Forum. Virginia Beach: Curran Associates, Inc., 2015: 2122-2132. [16] RAZ R, ROSEN A, CICOLANI L S, et al. Using wind tunnel tests for slung-load clearance. Part 1: The conex cargo container[J]. Journal of American Helicopter Society, 2014, 59: 042003. [17] RAZ R, ROSEN A, CICOLANI L S, et al. Using wind tunnel tests for slung-load clearance. Part 2: Other loads[J]. Journal of American Helicopter Society, 2014, 59: 042004. [18] CICOLANI L, IVLER C, OTT C, et al. Rotational stabilization of cargo container slung loads[J]. Journal of the American Helicopter Society, 2015, 60(4): 1-13. -


下载: