Joint algorithm for time of arrival estimation of S-mode baseband signals with low SNR
-
摘要:
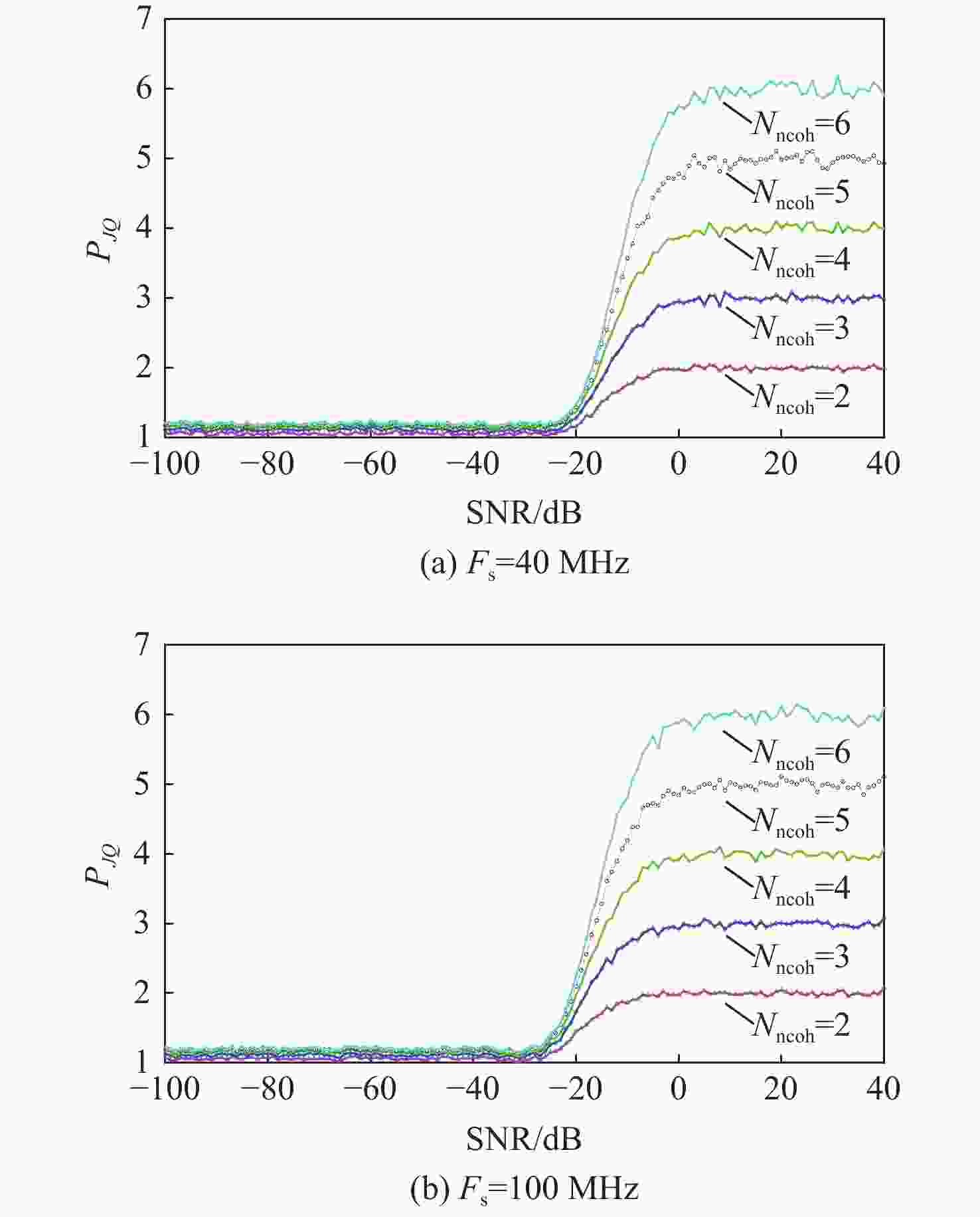
为提高接收低信噪比(SNR) S模式基带信号时广域多点定位(WAM)精确度,提出基于非相干积累的到达时间(TOA)估计联合算法。依托二次监视雷达(SSR)波束扫描驻留时间内目标应答信号具有的相关特性,提出并建立前导四脉冲匹配滤波、非相干积累的低信噪比基带脉冲信号上升沿估计方法,有效提升−15~5 dB范围低信噪比S模式基带信号TOA估计精确度。蒙特卡罗仿真结果显示,在−15~5 dB范围内的低信噪比S模式基带信号通过联合算法估计TOA的均方根误差(RMSE)优于25 ns。对于非理想S模式基带脉冲信号,信噪比低至−15 dB时,经过5个脉冲非相干积累的联合算法的TOA估计精确度达到22.245 ns,远优于WAM要求。
Abstract:To improve the wide area multilateration (WAM) accuracy when receiving S-mode baseband signals with low signal-to-noise ratio (SNR), a joint time of arrival (TOA) estimation algorithm based on non-coherent integration was proposed.According to the correlation characteristics of target reply signals during the beam scanning dwell time of the secondary surveillance radar (SSR), a low SNR baseband pulse signal rising edge estimation method with a four-pulse matched filter and amplitude squared operation and accumulation was proposed, which effectively improved the TOA estimation accuracy of S-mode baseband signals with a low SNR ranging from −15 dB to 5 dB. The Monte Carlo simulation results show that the root mean square error (RMSE) of TOA estimation by using the joint algorithm is less than 25 ns for S-mode signals with a low SNR ranging from −15 dB to 5 dB. For non-ideal S-mode baseband signals, when the SNR is as low as −15 dB, the TOA estimation accuracy of the joint algorithm after the non-coherent integration of five pulses can reach 22.245 ns, which is much better than the WAM requirement.
-
表 1 −15 dB时达到25 ns以下估计精度所需运行时间
Table 1. Required operating time to achieve estimation accuracy below 25 ns at −15 dB
采样频率/MHz 最少积累信号数目 RMSE/ns 运行时间/µs 理想前导
四脉冲信号非理想前导
四脉冲信号理想前导
四脉冲信号非理想前导
四脉冲信号理想前导
四脉冲信号非理想前导
四脉冲信号40 8 13 24.475 24.140 190.0 277.0 53 6 9 23.640 24.811 232.0 363.9 80 4 6 23.433 23.563 228.1 333.1 100 3 5 24.182 22.245 211.3 241.2 -
[1] TORRIERI D J. Adaptive thresholding systems[J]. IEEE Transactions on Aerospace and Electronic Systems, 1977, 13(3): 273-280. [2] TORRIERI D J. Arrival time estimation by adaptive thresholding[J]. IEEE Transactions on Aerospace and Electronic Systems, 1974, 10(2): 178-184. [3] GALATI G, GASBARRA M, LEONARDI M. Multilateration algorithms for time of arrival estimation and target location in airports[C]//Proceedings of the 1st European Radar Conference. Piscataway: IEEE Press, 2004: 293-296. [4] GALATI G, STUDER F A. Maximum likelihood azimuth estimation applied to SSR/IFF systems[J]. IEEE Transactions on Aerospace and Electronic Systems, 1990, 26(1): 27-43. doi: 10.1109/7.53411 [5] 王洪, 金尔文, 刘昌忠, 等. 多点定位TOA精确估计及同步误差校正算法[J]. 系统工程与电子技术, 2013, 35(4): 835-839. doi: 10.3969/j.issn.1001-506X.2013.04.26WANG H, JIN E W, LIU C Z, et al. Accurate estimation of TOA and calibration of synchronization error for multilateration[J]. Systems Engineering and Electronics, 2013, 35(4): 835-839(in Chinese). doi: 10.3969/j.issn.1001-506X.2013.04.26 [6] 胡国兵, 刘渝. 基于倒序相关累加的信号到达时间盲估计[J]. 南京麻豆精品秘 国产传媒学报, 2009, 41(3): 391-396.HU G B, LIU Y. Blind arrival time estimation of signals based on correlation and reversed accumulation[J]. Journal of Nanjing University of Aeronautics and Astronautics, 2009, 41(3): 391-396(in Chinese). [7] 胡国兵, 刘渝, 邓振淼. 基于Haar小波变换的信号到达时间估计[J]. 系统工程与电子技术, 2009, 31(7): 1615-1619. doi: 10.3321/j.issn:1001-506X.2009.07.020HU G B, LIU Y, DENG Z M. Arrival time estimation of signals based on Haar wavelets transform[J]. Systems Engineering and Electronics, 2009, 31(7): 1615-1619(in Chinese). doi: 10.3321/j.issn:1001-506X.2009.07.020 [8] 宫峰勋, 李孟然. 多点定位系统到达时间估计算法的性能分析[J]. 激光与光电子学进展, 2022, 59(13): 1304002.GONG F X, LI M R. Performance analysis of arrival time estimation algorithm for multilateration system[J]. Laser & Optoelectronics Progress, 2022, 59(13): 1304002(in Chinese). [9] 李平, 李建峰, 翟会, 等. 基于级联滑窗的脉冲到达时间估计方法[J]. 信号处理, 2021, 37(11): 2054-2060.LI P, LI J F, ZHAI H, et al. A time of arrival estimation method for pulse based on cascaded sliding window[J]. Journal of Signal Processing, 2021, 37(11): 2054-2060(in Chinese). [10] COSTA T M R. Analysis of aircraft accuracy location in aeronautical multilateration systems[D]. Lisbon: University of Lisbon, 2017: 78-79. [11] YOO S H, OH J H, KOH Y M, et al. Performance analysis of MLAT system receiver for aircraft flight control system[J]. Journal of Positioning, Navigation, and Timing, 2016, 5(1): 29-36. doi: 10.11003/JPNT.2016.5.1.029 [12] 宫峰勋, 曹雅茹. S模式前导脉冲过零点提取与TOA时间戳精确度研究[J]. 南京麻豆精品秘 国产传媒学报, 2020, 52(5): 701-707.GONG F X, CAO Y R. Zero-crossing extraction of S-mode preamble pulse and TOA timestamp accuracy[J]. Journal of Nanjing University of Aeronautics & Astronautics, 2020, 52(5): 701-707(in Chinese). [13] 苏志刚, 刘通, 郝敬堂, 等. 低信噪比1090ES报头的恒虚警检测方法[J]. 信号处理, 2020, 36(7): 1048-1054.SU Z G, LIU T, HAO J T, et al. Constant false alarm rate detection method for 1090ES preamble with lower SNR[J]. Journal of Signal Processing, 2020, 36(7): 1048-1054(in Chinese). [14] 王微. 西宁机场THALES二次雷达干扰及假目标的抑制实现[D]. 兰州: 兰州大学, 2018.WANG W. THALES secondary radar interference and false target suppression in Xining Airport[D]. Lanzhou: Lanzhou University, 2018(in Chinese) . [15] 王亚涛. 空管二次雷达S模式询问机目标捕获与监视实现方案[J]. 电讯技术, 2010, 50(7): 71-75. doi: 10.3969/j.issn.1001-893x.2010.07.015WANG Y T. Target capture and surveillance method for mode S air traffic control SSR interrogator[J]. Telecommunication Engineering, 2010, 50(7): 71-75(in Chinese). doi: 10.3969/j.issn.1001-893x.2010.07.015 [16] RICHARDS M A. 雷达信号处理基础[M]. 邢孟道, 王彤, 李真芳, 译. 北京: 电子工业出版社, 2017: 53-56.RICHARDS M A. Fundamentals of radar signal processing[M]. XING M D, WANG T, LI Z F, translated. Beijing: Electronics Industry Press, 2017: 53-56(in Chinese). [17] REN P, WANG J X, YANG S S, et al. A prototype of high-sensitivity noncoherent receiver forADS-B signals[J]. International Journal of Satellite Communications and Networking, 2020, 38(4): 341-354. doi: 10.1002/sat.1338 -


下载: