留言板

尊敬的读者、作者、审稿人, 关于本刊的投稿、审稿、编辑和出版的任何问题, 您可以本页添加留言。我们将尽快给您答复。谢谢您的支持!

姓名
邮箱
手机号码
标题
留言内容
验证码

2020年  第46卷  第11期

显示方式:
2020年, 第46卷, 第11期
icon下载 (89805) 1028 icon预览
论文
基于ORBCOMM卫星机会信号的定位技术
秦红磊, 谭滋中, 丛丽, 赵超
2020, 46(11): 1999-2006. doi: 10.13700/j.bh.1001-5965.2019.0565
摘要:

为摆脱对全球导航卫星系统(GNSS)的依赖,克服其有意或无意干扰情况下无法工作等问题,可采用机会信号(SOP)实现定位,低轨卫星机会信号具备信号功率高、覆盖性广及无需增建基础设施等优点。提出了利用轨道通信卫星(ORBCOMM)系统实现天基机会信号定位。通过对ORBCOMM卫星机会信号的通信体制进行深入研究,实现了利用ORBCOMM卫星机会信号获取多普勒测量信息,建立了瞬时多普勒定位及其几何精度因子的数学模型,并采用卫星TLE数据结合轨道预测模型获得的卫星轨道信息实现ORBCOMM卫星机会信号定位。实测结果表明:利用ORBCOMM卫星机会信号可实现精度优于140 m的定位。研究成果对基于天基机会信号定位技术的理论研究及应用具有重要意义。

基于形态学滤波的快速多通道图像EMD
胡建平, 杜影, 谢琪, 王小超, 张道畅
2020, 46(11): 2007-2017. doi: 10.13700/j.bh.1001-5965.2020.0118
摘要:

为了提高多通道图像经验模态分解(EMD)方法分解的效率,提出了一种基于形态学滤波的快速多通道图像EMD方法。利用形态学膨胀和腐蚀滤波可以计算图像上下包络这一重要特性,实现了多通道图像EMD的快速计算,形态学滤波窗口大小由各通道图像的平均极值距离确定,将一幅多通道图像自适应分解为若干个尺度从细到粗的内蕴模态函数(IMF)图像和一个体现图像整体变化趋势的余量。大量的实验结果与对比显示,所提方法不但能够加快EMD方法分解的速度,而且也能够有效地对多通道图像进行自适应分解。通过在图像融合和图像水印中的应用及大量的实验比较,说明了所提方法能够方便快捷地投入到具体的图像处理任务中。

单侧面板裂纹损伤对钛合金蜂窝夹层结构弯曲性能影响
岳喜山, 闫群, 赵伟, 谢宗蕻
2020, 46(11): 2018-2025. doi: 10.13700/j.bh.1001-5965.2019.0587
摘要:

钛合金蜂窝夹层结构在制备或使用过程中可能会产生面板裂纹损伤。采用试验和有限元结合的方法研究了单侧面板裂纹损伤对钛合金蜂窝夹层结构弯曲性能的影响。结果显示:单侧面板裂纹损伤会明显降低钛合金蜂窝夹层结构面板弯曲强度,弯曲强度近似随裂纹长度的增加而线性降低;有限元模型能够准确预测结构的破坏模式和破坏强度,预测得到的面板弯曲强度与试验结果最大偏差仅为6%。采用的有限元方法可用于含面板裂纹损伤的钛合金蜂窝壁板结构弯曲性能的工程预估。

FY-3D卫星高光谱温室气体监测仪热控设计及在轨验证
申春梅, 于峰, 刘文凯
2020, 46(11): 2026-2038. doi: 10.13700/j.bh.1001-5965.2020.0138
摘要:

FY-3D卫星高光谱温室气体监测结构布局紧凑,在较小尺寸空间内布置有8个镜头组件、12台电子设备和3台电机。内热源数量众多,光学镜头控温精度要求高,热控功耗及散热面资源紧张,使热控系统设计难度较大。基于热管理、辐射间接热控、辐射冷却及结构热控协同优化设计等多种思路对监测仪热控系统进行设计,有效解决热控难题。入轨后监测仪历经了多个工况模式切换,在轨温度数据表明,所有工况模式下各部组件温度都满足指标要求,且光学镜头温度稳定度较高,在正常工作模式下,干涉仪关键件最大温度波动在±0.15℃以内,其他光学镜头组件最大温度波动在±0.45℃以内,且无论整轨待机模式还是正常工作模式,基于热管理的2组电子设备散热系统都无需消耗热控功耗,实现了多热源复杂机制下高精度控温及节能热设计。

具有变点的不确定竞争失效退化系统的可靠性建模
刘宝亮, 张志强, 温艳清, 康淑瑰, 张磊
2020, 46(11): 2039-2044. doi: 10.13700/j.bh.1001-5965.2020.0139
摘要:

针对具有变点的竞争失效退化系统的可靠性进行了建模,系统同时遭受连续内部磨损退化和外部冲击,内部磨损退化由一个不确定过程表示,外部冲击过程是一个更新回报过程,即外部冲击到达的时间间隔和每次冲击的损坏量都是随机变量。外部环境条件的变化导致随机次数的冲击后损坏量服从的分布发生变化,通过运用不确定理论和机会理论,分别推导出系统在3种不同冲击模式下的确信可靠度公式,并通过数值算例验证了模型的正确性和有效性。

空间遥感器用环路热管瞬态数值模拟与在轨验证
孟庆亮, 杨涛, 于志, 赵振明, 赵宇, 于峰
2020, 46(11): 2045-2055. doi: 10.13700/j.bh.1001-5965.2019.0584
摘要:

为满足空间遥感器环路热管(LHP)在轨应用需求,建立了高分九号卫星电荷耦合器件(CCD)用LHP瞬态数值模型。模型采用了节点-网络法和流动与传热关系式耦合的方法,考虑了蒸发器与储液器之间的传热传质过程。通过仿真与在轨数据的对比,发现LHP内部组件温度偏差为0.2~0.4℃,冷凝器测点温度偏差为0.5~2.0℃;预热器通过干度的变化调节了冷凝器外热流和热源工作模式的影响;热源的工作模式对蒸发器向储液器漏热、回路流阻及两相段长度均有影响。所提模型可用于不同轨道外热流及热源工作模式下,研究LHP内部各参数的变化规律,预测LHP系统的瞬态工作特性,并指导后续产品的设计与研发。

基于边际-人工蜂群算法的舰载机机群出动保障人员配置-调度联合优化方法
苏析超, 伍恒, 崔荣伟, 张勇
2020, 46(11): 2056-2068. doi: 10.13700/j.bh.1001-5965.2019.0581
摘要:

保障人员配置和保障作业调度是舰载机机群出动保障任务决策的2项核心内容。针对复杂甲板作业约束条件下保障人员配置-调度联合优化的实际问题,首先,系统分析舰载机机群出动保障流程约束、出动时限约束、保障人员约束、保障设备约束、工位空间约束和资源供给能力约束。其次,以保障人员数量和负载方差和最小化为优化目标,建立了混合整数规划模型,进而提出了基于边际-人工蜂群(ABC)算法的两层优化决策架构。上层决策模型基于边际优化算法对保障人员配置方案进行迭代优化,下层决策模型采用改进的双向人工蜂群算法对舰载机机群出动保障任务调度进行优化。最后,通过典型算例验证了所提模型和两层优化机制的可行性与有效性。

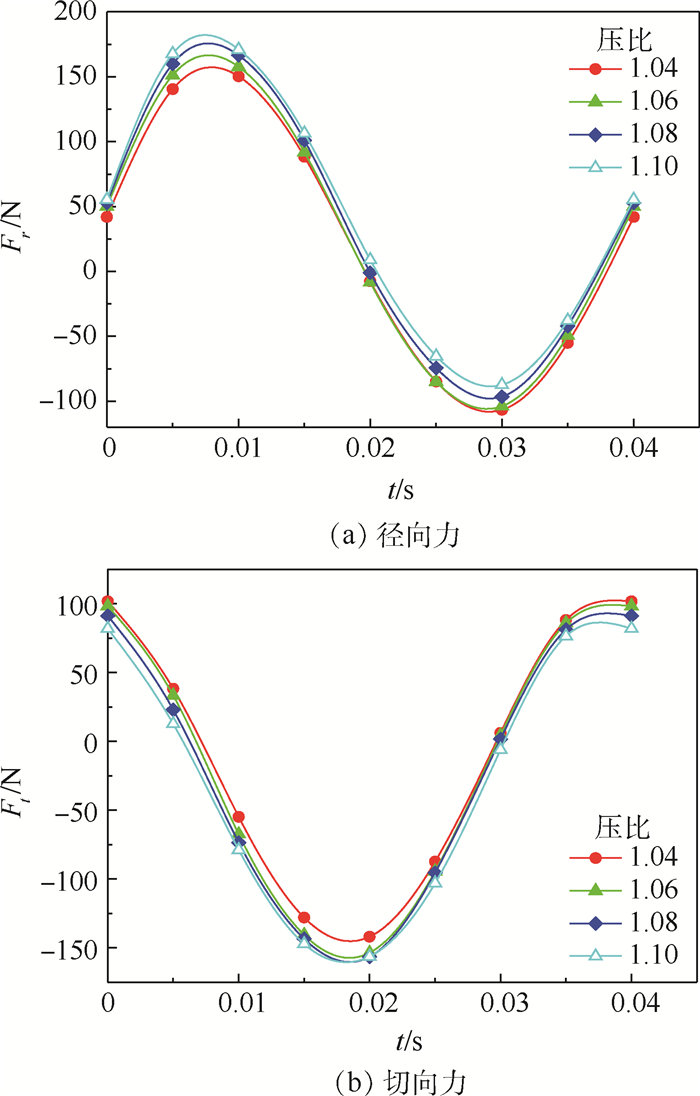
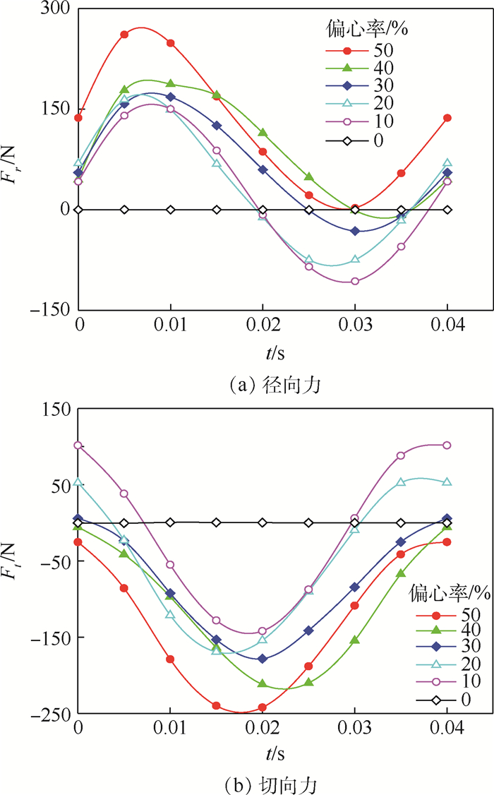
密封汽流激振下转子动力特性的时域分析
司和勇, 曹丽华, 郭帅, 李盼
2020, 46(11): 2069-2076. doi: 10.13700/j.bh.1001-5965.2019.0571
摘要:

针对汽轮机转子偏心导致的汽流激振问题和静偏心模型在转子动力特性研究中的缺陷,采用动网格技术模拟转子真实的三维涡动,在时域上对转子的动力特性进行研究。结果表明:转子涡动时,汽流激振力及其动力系数在时域上随位移呈三角函数变化,且径向力的方向随转子中心位置的变化发生改变。偏心率、涡动速度、自转速度和压比均影响转子动力特性。额定工况下,偏心率每增加10%,径向力与切向力平均增加约25~35 N。随着涡动速度的增大,切向力朝负方向增加,而直接阻尼和交叉阻尼减小。随着压比的增加,径向力增大而切向力减小。在一定范围内,较大的自转速度会使最大激振力的绝对值减小。

四旋翼无人机执行器可重构性量化评价方法研究
申富媛, 李炜
2020, 46(11): 2077-2086. doi: 10.13700/j.bh.1001-5965.2019.0568
摘要:

随着对系统安全性和可靠性要求的不断提高,故障系统的自主恢复能力即系统的可重构性受到高度关注,然而现有对于控制系统可重构性量化评价的方法主要针对线性系统,因此以具有强耦合、欠驱动、强非线性的四旋翼无人机(quadrotor UAV)为被控对象,提出了一种基于双滑模面鲁棒观测器与马氏距离结合的非线性系统可重构性量化评价方法。首先,在四旋翼无人机非线性模型的基础上,设计了具有对扰动和故障均不敏感的双滑模面鲁棒观测器,用于实现对系统状态的准确估计;其次,在执行器饱和及系统状态误差指标双约束条件下,采用基于马氏距离的相似度法,对非线性系统可重构性进行量化评价;最后,通过四旋翼无人机仿真实验验证了所提方法的有效性。结果表明,所提方法能够真实反映不同故障程度下系统的可重构性量化水平,为非线性故障系统控制策略调整补偿提供了重要依据。

激波风洞7°尖锥边界层转捩实验研究
栗继伟, 卢盼, 汪球, 赵伟
2020, 46(11): 2087-2093. doi: 10.13700/j.bh.1001-5965.2019.0577
摘要:

高超声速边界层转捩对摩阻、传热等有重要影响,飞行器的研制迫切希望能精确预测和控制边界层转捩。在JF8A激波风洞中开展了7°半锥角的高超声速尖锥边界层转捩实验研究,利用响应频率达到1 MHz量级的高频压力传感器对尖锥壁面脉动压力进行了测量,并结合热流测量结果,研究了高超声速尖锥边界层中扰动波的发展过程。实验结果表明:JF8A激波风洞在雷诺数为6.4×106/m状态下核心流的自由流噪声为2.8%;高频脉动压力测量技术能清晰地捕捉转捩过程中的第二模态波及其发展历程,试验状态下模型的第二模态波频率范围为165~206 kHz。当前研究结果能够为高超声速数值方法验证提供数据支撑。

基于SVM和EKF的高超声速滑翔飞行器轨迹预报
程云鹏, 孙成志, 闫晓东
2020, 46(11): 2094-2105. doi: 10.13700/j.bh.1001-5965.2020.0050
摘要:

高超声速滑翔飞行器(HGV)拦截问题中,轨迹预报是成功拦截的重要基础。针对HGV机动能力强、轨迹多变的特点,提出了一种基于支持向量机(SVM)和扩展卡尔曼滤波(EKF)的轨迹预报方法。在HGV的滑翔段机动模式分析的基础上,将HGV的机动运动分解为纵向运动模式和侧向运动模式,进而对运动模式的特征参数予以标定,形成SVM的训练集。建立地基单雷达轨迹跟踪模型,采用EKF对HGV滑翔段轨迹进行稳定跟踪并实现对运动模式特征参数的估计。基于SVM,建立了HGV运动识别框架,实现了对HGV滑翔段轨迹的预报。对平衡滑翔和跳跃机动2种典型机动模式进行数学仿真验证,结果表明,所提方法可以提高对该类目标的轨迹预报精度。

倾转四旋翼飞行器倾转过渡走廊分析方法
俞志明, 陈仁良, 孔卫红
2020, 46(11): 2106-2113. doi: 10.13700/j.bh.1001-5965.2019.0594
摘要:

针对倾转四旋翼(QTR)飞行器过渡飞行中的变速、变体特点,提出了一种确定倾转四旋翼飞行器倾转过渡走廊的方法,该方法从飞行力学角度用机翼升力特性限制低速和高速边界,以单旋翼可用功率限制高速边界。所提方法确定了无周期变距的倾转四旋翼飞行器样机倾转过渡走廊,并分析了其在倾转过渡飞行中不同机体迎角下各气动部件的气动力以及前后旋翼需用功率随飞行速度的变化规律。结果表明:倾转四旋翼飞行器在小机体迎角下倾转优于在大机体迎角下倾转;各气动部件提供的垂向力占比会随着机体迎角的改变而变化;机翼升力特性高速边界和单旋翼功率限制边界共同组成了倾转四旋翼飞行器倾转过渡走廊的高速边界;单旋翼可用功率限制边界比总可用功率限制边界更严格。

潜望式激光通信粗指向装置的多工况拓扑优化
赵瑞杰, 王春洁, 阎肃
2020, 46(11): 2114-2120. doi: 10.13700/j.bh.1001-5965.2019.0566
摘要:

激光通信技术具有广阔的应用前景。以潜望式激光通信粗指向装置为研究对象,提出了装置的等效有限元建模方法,建立了相应的有限元模型。分别针对发射阶段和在轨工作阶段2种工况,分析了加速度载荷和温度载荷对装置性能的影响。为了提升装置的工作性能,基于多工况拓扑优化方法,对装置的主体结构进行了优化设计。优化目标为装置在2种工况下的前三阶频率加权平均值最大、镜面中心在发射阶段的变形最小和镜面在在轨工作阶段的热变形面型误差最小,约束条件为装置的质量和左、右反射镜的响应差距。利用可行方向法完成优化迭代计算,优化后,装置在2种工况下的基频得到了提高,同时镜面的中心变形及面型误差得到了降低,装置的整体性能得到了明显提升。

基于XFEM-CZM耦合法的胶接接头裂纹扩展分析及强度预测
周伟, 张超, 甘淑媛
2020, 46(11): 2121-2130. doi: 10.13700/j.bh.1001-5965.2019.0579
摘要:

采用扩展有限元法(XFEM)和内聚力模型(CZM)相耦合的方法,分析胶接接头胶层内部裂纹扩展、界面脱粘分层现象。采用内聚力单元和内聚力接触描述胶层/板材界面,建立单/双搭接接头有限元模型。预测拉伸载荷下接头的强度性能并与已有试验数据对比分析,验证XFEM-CZM耦合法的可行性及内聚力单元和内聚力接触2种界面建模方法的有效性。模拟裂纹从胶层内部扩展至胶层/板材界面并引起界面脱粘分层的过程,分析其损伤失效机理。讨论初始裂纹长度和界面刚度、强度及应变能释放率对胶接接头强度性能的影响。结果表明:胶接接头强度随初始裂纹长度增加而降低,且在双搭接接头模型中表现更为明显;界面刚度、强度对胶接接头强度影响较大而应变能释放率的影响较小。

电液负载敏感位置伺服系统自抗扰控制方法
刘华, 汪成文, 郭新平, 赵斌, 霍鹏飞
2020, 46(11): 2131-2139. doi: 10.13700/j.bh.1001-5965.2019.0569
摘要:

针对电液负载敏感系统中泵阀控制的耦合问题,提出了一种基于自抗扰算法的解耦控制方法。首先,根据系统原理建立了负载敏感系统的状态空间模型。其次,针对阀控和泵控子系统分别设计了位置自抗扰控制器(ADRC)和压力自抗扰控制器,将2个系统间的动态耦合作用以及外部干扰和不确定性视作总扰动进行估计并给予补偿。最后,基于AMESim和MATLAB联合仿真平台进行了仿真分析。结果表明:所提的控制方法能够消除阀控子系统和泵控子系统的强耦合作用,提高系统的控制精度和鲁棒性。另外,在动态性能和节能效率方面与纯阀控和泵控系统进行对比分析,仿真结果表明:基于自抗扰控制的负载敏感系统的动态性能优于泵控系统,系统能效相对于阀控系统也有较大提升。

基于改进GERT的任务过程时间特性建模分析方法
夏宏青, 焦健, 褚嘉运, 赵廷弟
2020, 46(11): 2140-2148. doi: 10.13700/j.bh.1001-5965.2019.0572
摘要:

随着系统任务需求的日渐密集,用户对系统的时间特性提出了更为严苛的要求。首先,利用图示评审技术(GERT)构建系统任务流程的随机网络模型,针对任务中由于资源共享引起的活动排队执行以及部分上下游活动之间存在重叠的情况,基于排队论并引入时间因子以修正任务中各活动的执行时间,并给出任务执行时间的求解步骤。经考虑这2种情况,最终任务平均执行时间增加了22.9%。其次,通过不确定性分析,找出了任务中的关键活动,为进一步任务优化提供方向和思路。最后,以舰载机着舰任务为例进行案例应用分析,验证所提建模分析方法的有效性和适用性。

一维GTD散射中心模型参数估计的改进MUSIC算法
郑舒予, 张小宽, 郭艺夺, 宗彬锋, 徐嘉华
2020, 46(11): 2149-2155. doi: 10.13700/j.bh.1001-5965.2019.0576
摘要:

针对利用多重信号分类(MUSIC)算法估计一维几何绕射理论(GTD)的散射中心模型时噪声鲁棒性较差、参数精度不高这一问题,提出一类改进的MUSIC算法。首先,构建原始回波数据的共轭矩阵,有效提高了原始回波数据的利用率;其次,将原始回波数据的协方差矩阵、共轭数据的协方差矩阵叠加取平均,得到一个新的总协方差矩阵;最后,对矩阵作2次方、4次方等偶次方处理,得到另一矩阵,以达到增大信号特征值与噪声特征值之间差距的作用,等效为增大了信噪比。仿真结果表明:所提改进算法的参数估计性能及噪声鲁棒性均要优于经典MUSIC算法。

无人机组合导航直接法与间接法滤波方式比较
王均晖, 孙蕊, 程琦, 张文宇
2020, 46(11): 2156-2167. doi: 10.13700/j.bh.1001-5965.2019.0578
摘要:

全球导航卫星系统/惯性导航系统(GNSS/INS)组合导航可以提供连续、高精度的位置、速度、姿态信息,被广泛应用于无人机的状态估计。其中滤波算法的构建是其组合关键。不同组合导航的模式会对导航定位结果产生相应的影响。针对直接法和间接法这2种常见的组合模式,分别构建了基于扩展卡尔曼滤波(EKF)的全球定位系统/惯性导航系统(GPS/INS)松组合模式,并将其运用于不同飞行场景下无人机(UAV)的实时动态状态估计。仿真场景以及实际数据验证结果表明,间接法在精度和稳定性方面优于直接法,直接法在滤波计算速率方面优于间接法。因此,当系统具有较高的计算性能,且面向高精度的应用情况下可选择间接法作为无人机导航的技术方案;对于快速求解但精度要求不高的应用情况下,选择直接法作为无人机导航的技术方案可以在一定程度上降低系统的成本。

基于CRITIC-TOPSIS的动态辐射源威胁评估
徐宇恒, 程嗣怡, 庞梦洋
2020, 46(11): 2168-2175. doi: 10.13700/j.bh.1001-5965.2019.0585
摘要:

为解决传统辐射源威胁评估方法与空战动态态势联系不紧密的问题,提高评估准确度,提出泊松分布逆形式与逼近理想解排序(TOPSIS)方法相结合的算法,并引入指标相关性的权重确定(CRITIC)方法分配属性权重,构建基于CRITIC-TOPSIS的动态辐射源威胁评估模型。针对传统方法仅依靠当前侦收数据,未体现空战态势动态变化的不足,采用泊松分布逆形式融合多个时刻的辐射源数据信息,实现动态评估;针对传统TOPSIS方法依赖主观赋值的问题,CRITIC方法综合考虑单个指标内部和多个指标之间的关联性,能完整描述属性信息并客观分配属性权重。仿真结果表明,相较于传统静态评估模型,所提模型对于威胁度不同的辐射源区分度更大,评估准确性和可靠性更高。

基于瞬时相关频域检测的复合调制引信定距方法
王雄武, 郝新红, 贾建光, 栗苹, 陈齐乐
2020, 46(11): 2176-2183. doi: 10.13700/j.bh.1001-5965.2019.0592
摘要:

为了实现混沌调相与线性调频复合调制无线电引信对不同散射特性的地面目标的精确定距功能,提出一种基于瞬时相关频域检测的复合调制引信定距方法。在时域瞬时相关处理之前,对本地预设混沌码与目标回波信号以码元宽度为采样周期进行同步采样;为减小目标回波幅值对定距方法的影响,以二维快速傅里叶变换(2D-FFT)提取目标的距离、速度信息,以相关窗位置、谐波包络主瓣位置、稳定的多普勒频率3个特征量作为定距依据,从频域角度进行精确定距。仿真结果表明:所提方法的判定结果只与目标信号信噪比有关,而与信号幅值具体大小无关;所提方法可在-28 dB的极低信噪比条件下实现复合调制引信对不同散射特性地面目标的精确定距功能。

GSO卫星系统布设中的通信干扰评估方法
董苏惠, 姚秀娟, 高翔, 韩朝晖, 闫毅, 孙云龙
2020, 46(11): 2184-2194. doi: 10.13700/j.bh.1001-5965.2019.0596
摘要:

针对地球静止轨道(GSO)卫星系统在卫星和地球站布设中的同频干扰评估问题,设计了地球站及卫星的全球分布对下行和上行通信链路的干扰评估场景,以及考虑波束业务特征影响的多条链路的集总干扰场景,构建了不同场景下的干扰评估和分析计算的模型,提出了一种基于干扰函数极值的评估方法。所提方法通过建立干扰系统地球站的随机分布集合和受扰系统的干扰函数,结合国际电联(ITU)提供的全球地形数据、天线波束参数、电磁波传播模型,能够实现对2个GSO卫星系统间的卫星轨位和地球站布设的定量化计算分析。采用所提方法对位于47°E±6°的GSO卫星系统、位于(23°N,26°E)地球站的同向下行链路,以及位于(23°N,26°E)的地球站对26°E±6°的GSO卫星系统的同向上行链路的干扰情况进行了定量化计算。结果表明:在卫星轨位间隔为2°时的干扰噪声比值为-12.29 dB,与ITU建议书中规定的-12.2 dB的限值之间的误差为0.7%,证明了所提方法的有效性和可行性。所提方法还可以统计GSO卫星系统在任意角度间隔和全球布设场景下的干扰分布情况,对于干扰评估和规避措施的制定具有一定的借鉴意义。

常见问答