留言板

尊敬的读者、作者、审稿人, 关于本刊的投稿、审稿、编辑和出版的任何问题, 您可以本页添加留言。我们将尽快给您答复。谢谢您的支持!

姓名
邮箱
手机号码
标题
留言内容
验证码

2019年  第45卷  第4期

显示方式:
2019年, 第45卷, 第4期
icon下载 (19370) 960 icon预览
论文
基于自适应迭代的机器人曲面恒力跟踪
李琳, 肖佳栋, 张铁, 肖蒙
2019, 45(4): 641-649. doi: 10.13700/j.bh.1001-5965.2018.0441
摘要:

针对利用机器人进行打磨、抛光、去毛刺等场合时末端执行器对曲面工件轮廓跟踪时难以得到恒定接触力的问题,对机器人末端执行器和工件轮廓接触时的接触力进行研究,建立了实际跟踪过程中机器人末端执行器的接触力和已知传感器坐标系的映射关系,提出了一种基于自适应迭代学习算法的机器人力/位混合曲面恒力跟踪控制方法。该方法由两部分组成:基于机器人和环境接触时的阻抗模型设计了迭代学习控制律,在PD反馈控制的基础上通过迭代项克服机器人的未知参数和不确定性,并构建Lyapunov能量函数证明所提控制律的收敛性;将迭代学习控制律和力/位混合曲面恒力跟踪控制方法结合起来设计了用于曲面工件轮廓跟踪的控制方法。实验结果显示,经过15次迭代,接触力的波动范围逐渐变小并稳定在±3 N之内,验证了所提方法的有效性。

高超声速飞行器预设性能反演控制方法设计
李小兵, 赵思源, 卜祥伟, 何阳光
2019, 45(4): 650-661. doi: 10.13700/j.bh.1001-5965.2018.0463
摘要:

为解决吸气式高超声速飞行器的飞行控制问题,提出了一种新型预设性能神经反演控制器设计方法。通过构造预设性能函数,保证速度跟踪误差和高度跟踪误差能够按照预设的收敛速度、超调量及稳态误差收敛至期望的区域,同时满足系统预设的瞬态性能和稳态精度。在反演控制设计结构下,引入径向基函数(RBF)神经网络对模型未知函数及不确定项进行逼近,提高了控制系统的鲁棒性。引入的RBF神经网络中仅有一个参数需要在线更新,有效提高了控制准确性,避免了通常反演控制方法中经常出现的"微分膨胀问题",并降低了计算量。通过仿真实验验证了所设计控制系统的有效性和可行性。

舰载机弹射起飞影响因素分析及侧向控制律设计
吴文海, 宋立廷, 张杨, 汪节, 高丽
2019, 45(4): 662-671. doi: 10.13700/j.bh.1001-5965.2018.0481
摘要:

针对舰载机弹射起飞安全性问题,对起飞过程中影响起飞安全的因素进行了详细分析,建立了舰载机离舰上升段的非线性六自由度运动模型,仿真研究了甲板的横摇、偏摆运动以及常值侧风干扰等因素对弹射起飞特性的影响。分析得出,对舰载机离舰后滚转和侧滑运动起主要影响的是甲板横摇运动和侧风干扰。设计了基于非线性动态逆方法的控制器以保留模型的非线性特征,实现对横侧向运动状态的解耦控制,效果更佳。仿真结果表明,设计的侧向控制律能够保证飞机的滚转角在离舰后3 s内满足不超过5°的安全准则要求,且不会因侧风干扰出现明显的侧滑现象,能够保证舰载机安全起飞。

低动能来流下背负式进气道非定常流动特性分析
刘志敏, 闫盼盼, 张群峰, 黎星佐, 孙超
2019, 45(4): 672-680. doi: 10.13700/j.bh.1001-5965.2018.0573
摘要:

为了改善飞翼布局背负式S弯进气道低动能来流状态下的流动性能,采用改进的延迟分离涡模拟(IDDES)方法对原型及改进型背负式进气道流场进行了数值模拟研究,对比分析了进气道流量特性及内部脉动压力特性。结果表明:低动能来流时背负式进气道上部唇口附近存在很大的气流转折角,导致唇口产生分离涡;原型进气道唇口分离涡强度高,高能量分离涡在进气道顶部破裂产生了大范围旋涡结构,进一步加剧了流动分离,从而引发进气道内产生强烈的压力脉动,声压级最大幅值高达145 dB;改进型进气道唇口分离涡得到了有效控制,强度大幅下降,进气道内部压力脉动幅值也显著降低,声压级降幅达8 dB;改进型进气道分离的抑制使进气道有效流通截面积增大,质量流量增加。同时,流场出口品质提升,进气道出口综合畸变指数降低了9.5%。

基于卷积曲面的动态实时星图模拟
闫劲云, 刘慧, 赵伟强, 江洁
2019, 45(4): 681-686. doi: 10.13700/j.bh.1001-5965.2018.0425
摘要:

多星模拟器可动态刷新显示变化的星空,是星敏感器测试的关键设备。在动态条件下星点成像发生拖尾,要求星模拟器能够准确、实时仿真拖尾星图。建立了动态拖尾星点的卷积曲面模型。该模型是星点光斑弥散函数与权重函数沿着星点运动轨迹的卷积,可描述以任意形式运动产生的拖尾星点。提出了一种基于卷积曲面的像素离散算法,解决了星图仿真实时性不够的问题。先将星点轨迹分割为多段,再计算得到每段轨迹对应形成的星点光斑的像素值,将所有星点光斑累加。所提算法将多重积分化简,使得仿真速度提高了一个数量级,多星模拟器的刷新率达30 Hz。

基于运动模型的低空非合作无人机目标识别
陈唯实, 刘佳, 陈小龙, 李敬
2019, 45(4): 687-694. doi: 10.13700/j.bh.1001-5965.2018.0447
摘要:

为保障低空安全,在利用雷达数据探测无人机目标的同时剔除飞鸟等虚警信息,提出了一种基于运动模型的低空非合作无人机目标识别方法,作为已有目标跟踪方法应用的拓展。首先,建立多种运动模型模拟无人机和飞鸟目标运动;然后,基于多种运动模型进行目标跟踪,并估计各种运动模型的出现概率;最后,以各种运动模型在连续时间内出现概率的方差均值来度量目标运动模型的转换频率。通过对仿真数据和机场低空监视雷达实测数据的处理,所提方法能够在杂波环境中跟踪无人机目标并剔除飞鸟目标,进一步验证了其有效性和实用性。

金属材料微裂纹取向与超声波和频非线性效应
杨斌, 史开元, 袁廷璧, 肖德铭, 王侃, 李振海
2019, 45(4): 695-704. doi: 10.13700/j.bh.1001-5965.2018.0518
摘要:

针对非线性超声无损检测金属材料微裂纹取向角度的问题,开展了微裂纹取向与超声波的和频非线性效应研究,建立了超声和频非线性特征系数与微裂纹取向角度的关系模型。理论和有限元仿真实验结果表明,随着微裂纹取向角度的逐渐增大,超声和频非线性特征系数与微裂纹取向角度之间呈现明显的正相关趋势,而且相比二次非线性特征系数,和频非线性特征系数对微裂纹取向检测更为敏感。同时,从超声波平均能流密度(即声强)的角度出发,计算可知和频分量声强会随着微裂纹取向角度的增大而增大,而二次谐波声强基本不会发生变化,同时和频分量声强占比相比于二次谐波声强占比也得到了明显提高。超声波声强计算结果与仿真计算结果趋势基本一致,证明了理论模型的正确性。通过实验验证了模型的有效性,为金属材料微裂纹取向的检测提供了一种有效的手段。

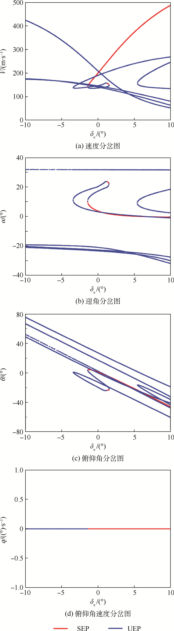
结冰飞机非线性稳定域确定及安全操纵方法
周驰, 李颖晖, 郑无计, 武朋玮, 董泽洪
2019, 45(4): 705-713. doi: 10.13700/j.bh.1001-5965.2018.0430
摘要:

结冰会恶化飞机的动力学特性,造成飞行包线收缩,威胁飞行安全,研究结冰后飞机的非线性稳定域变化对于驾驶员操纵应对策略设计以及飞行安全的提高具有重要意义。以NASA的GTM为案例飞机,首先对飞机气动参数进行多项式拟合,同时结合结冰因子模型,建立了飞机在结冰条件下的纵向通道动力学模型;然后通过分岔分析方法对飞机在不同程度结冰条件和操纵指令下的飞行状态变化进行了研究,并将其用于指导驾驶员操纵,同时考虑到分岔分析方法的局限性,利用微分流形理论确定了飞行系统的非线性稳定域,并将其作为飞行安全边界;最后针对结冰情形,提出将分岔分析方法与微分流形理论相结合共同用于操纵指导,并进行了操纵时域验证。研究结果表明,结冰会使安全边界收缩,在小扰动的作用下都可能使飞行状态超出安全边界。随着结冰程度增加,飞机的稳定性质甚至会发生变化,此时飞行状态将很难维持在原有的安全边界以内,提出了通过指导驾驶员操纵指令变化使飞行状态到达新的安全边界。研究结果对于飞行安全操纵及边界保护都具有一定的指导意义。

模糊-随机混合参数的机构运动可靠度计算方法
游令非, 张建国, 翟浩, 李桥
2019, 45(4): 714-721. doi: 10.13700/j.bh.1001-5965.2018.0433
摘要:

在目前机构产品的参数当中普遍存在着模糊变量和随机变量混合的情况,而现有的模糊-随机可靠度求解方法一般针对静态问题进行分析,不能有效描述具有混合不确定性的机构运动时变问题。基于机构运动误差分析,同时考虑失效判据和变量的模糊性,提出了基于改进包络函数的模糊-随机时变机构可靠性建模及计算方法。首先,将模糊判据转化为极限状态方程中的随机变量;其次,利用模糊论中的截集法处理模糊-随机混合变量,建立机构产品的模糊-随机时变可靠性模型;再次,利用改进的包络函数计算机构的运动时变可靠度;最后,结合四连杆机构的运动误差问题,验证了本文方法的可行性,结果表明该方法具有较高的计算精度。

基于目标逃逸机动预估的空空导弹可发射区
王杰, 丁达理, 许明, 韩博, 雷磊
2019, 45(4): 722-734. doi: 10.13700/j.bh.1001-5965.2018.0462
摘要:

为适应无人自主空战条件下对空空导弹火控解算的特殊需求,提出了基于目标机动预估的空空导弹可发射区问题。首先,基于导弹-目标追逃对抗策略,设计了目标机动预估模型,根据导弹与目标的相对方位信息,实现对目标逃逸机动方式的预估;然后,基于多种实际约束,构建了导弹运动动力学模型;最后,设计了基于黄金分割搜索算法的可发射区边界求解策略,实现对可发射区边界值的快速精确搜索。仿真结果表明,空空导弹对初始位置位于所提出的基于目标机动预估的可发射区内的目标,具有更大的命中概率;该可发射区更加适应近距空战中目标逃逸机动的剧烈态势变化,有利于导弹战术使用性能的充分发挥。

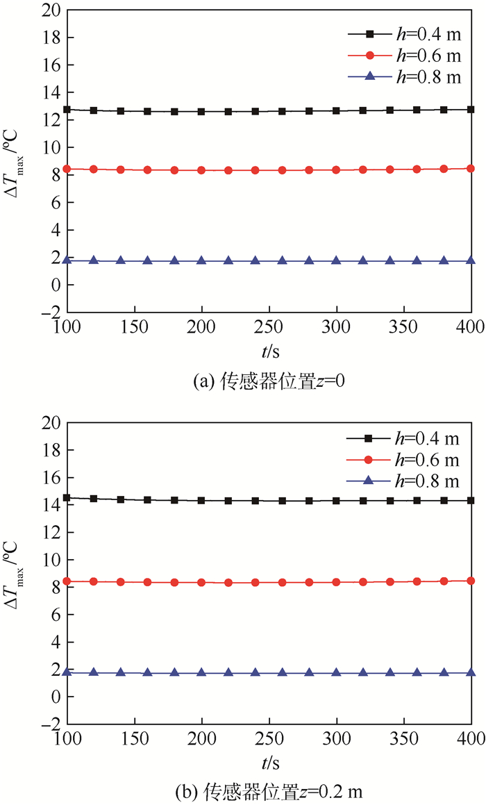
质子交换炉温度场均匀性分析与优化
伏娜, 张晞
2019, 45(4): 735-742. doi: 10.13700/j.bh.1001-5965.2018.0350
摘要:

针对质子交换炉的温度场均匀性问题,结合质子交换炉的结构特点,基于FLUENT用户自定义函数(UDF)开发了质子交换炉炉温控制算法,并在此基础上提出了多种加热控温方案;利用FLUENT软件对不同方案下的质子交换炉温度场进行仿真,分析不同控温方式下炉内温度场均匀性与传感器位置布置、加热丝布置高度的关系,找到最佳方案。结果表明:采用三段控温、3个传感器位置分别布置在3段加热丝中间、加热丝布置高度4倍于均匀温区长度时炉内温度场均匀性最好,均匀温区内最大偏差为0.03℃;对于既定结构的立式炉体,增加加热丝布置高度、优化设计传感器布置方案和炉体控温方式可以提高温度场均匀性。该方法为同类电加热炉温度场均匀性的优化设计提供了思路。

考虑几何非线性的气动弹性模型缩比方法
柴睿, 谭申刚, 黄国宁
2019, 45(4): 743-751. doi: 10.13700/j.bh.1001-5965.2018.0419
摘要:

随着飞机性能和需求的提高,大展弦比高柔性机翼逐渐成为新型飞机的主要结构形式。这类机翼具有高升阻比、大变形和重量轻等特性,几何非线性效应明显。然而机翼的大展弦比高柔性会带来更大的机翼变形,而机翼大变形则会引起相关的非线性气动弹性行为。为了评估这些非线性气动弹性行为并同时降低设计风险和成本,一般要使用缩比模型进行风洞试验以研究和确认真实飞机的气动弹性特性。基于此,首先使用了传统线性缩比方法来进行缩比,通过刚度质量耦合匹配模态响应法与刚度质量解耦匹配模态响应法这2种线性缩比方法,不断优化缩比结构的设计参数来满足目标缩比值。同时,提出一种动力学有限元模型的非线性静响应-模态协同优化方法,该方法是基于等效静态载荷法的几何非线性气动弹性模型缩比方法,通过2个不同的优化子程序分别匹配全尺寸飞机的非线性静响应和模态振型。结果表明,相比于传统线性缩比模型,考虑几何非线性的缩比模型能够更好地再现全尺寸飞机的非线性气动弹性行为。

一种起落架载荷谱相似性判别方法
颜灿林, 贺小帆, 李玉海
2019, 45(4): 752-759. doi: 10.13700/j.bh.1001-5965.2018.0421
摘要:

起落架结构的寿命监控对保障其安全性与经济性具有重要作用,但由于地面谱复杂的高低载荷非线性交互作用,难以准确计算单机谱的损伤。以当量损伤计算方法为基础,通过对寿命监控中的单机谱进行初步筛选,判别单机谱与基准谱的相似程度,进而分析损伤计算方法的适用性。提出了一种基于时间序列分析中的动态时间弯曲方法的起落架载荷谱相似性判别方法,进行了基准谱与4个单机谱下的疲劳实验,通过分析损伤计算误差与起落架载荷谱相似距离的关系,验证所提载荷谱相似性判别方法的合理性。

基于键合图模型的SHA/EMA余度系统的故障诊断
刘宏飞, 于黎明, 张柱, 阎旭栋, 韩旭东
2019, 45(4): 760-768. doi: 10.13700/j.bh.1001-5965.2018.0150
摘要:

针对液压伺服作动器(SHA)和机电作动器(EMA)组合的余度系统中故障模式复杂的问题,采用基于键合图模型的故障诊断方法,可以诊断出系统中多种参数故障。首先建立SHA/EMA余度系统的行为模型,然后根据因果关系倒置法转换成诊断键合图模型,进而推导出计算残差的解析冗余关系式(ARR),并创建故障特征矩阵(FSM)作为故障隔离的依据。联立行为模型和诊断模型对可隔离故障进行诊断,并通过ARR估计故障参数以诊断不可隔离故障。选取典型故障进行仿真验证,结果表明可隔离故障和不可隔离故障均被成功隔离,验证了所提方法对SHA/EMA余度系统的故障诊断是有效可行的。

基于频控阵的稳健Capon波束形成
冯晓宇, 谢军伟, 葛佳昂, 张晶, 王博
2019, 45(4): 769-777. doi: 10.13700/j.bh.1001-5965.2018.0190
摘要:

为了克服相控阵波束仅具有角度分辨力的缺陷,频控阵通过在阵元间加入相对于载频十分微小的频率增量,实现了波束的距离-角度二维相关。引入3种接收信号处理机制,并对其进行理论推导分析,仿真说明了其中2种机制的实用性。针对指向误差存在情况下,估计的目标导向矢量与真实的目标导向矢量失配的问题,采用稳健Capon波束形成(RCB)算法,给出纠正偏差后的导向矢量闭式解,并在2种信号处理机制下,对其方向图进行了仿真。结果表明,利用RCB算法能在目标位置形成高增益,干扰位置形成零陷,验证了算法在频控阵中应用的有效性。

飞机滑行下道基动静模量相关分析模型
刘小兰, 张献民, 董倩
2019, 45(4): 778-786. doi: 10.13700/j.bh.1001-5965.2018.0428
摘要:

为了建立飞机滑行下道基动静模量相关分析模型,结合飞机滑行下道基应力水平、典型道基压实度和含水率范围、飞机滑行时常见频率区间,通过动静三轴试验分析了应力水平、压实度、含水率和频率对道基动静模量的影响规律,发现动静模量均与压实度和围压成正相关,与含水率成负相关,其中动模量在频率低于3 Hz时变化较为显著;同时借助动静模量试验数据,建立并验证了基于多因素的飞机滑行下道基动静模量相关分析模型,为机场场道工程设计和检测提供参考。

火星再入飞行器风洞试验与真实飞行之间相关性的探讨
刘方彬, 袁军娅
2019, 45(4): 787-795. doi: 10.13700/j.bh.1001-5965.2018.0434
摘要:

由于风洞试验条件限制,难以完全模拟火星再入飞行器真实飞行环境,因此需要建立火星再入飞行器风洞条件与真实飞行之间的关联关系。基于国外文献公开数据,采用数值方法和对比分析方法探讨了类"探路者号"外形的火星再入飞行器的风洞试验与真实飞行之间的外推方法。结果表明,在高焓空气风洞和常规空气风洞试验条件下,可以将模型驻点附近的无量纲压力和压力系数作为相关性参数,将风洞条件与飞行条件相关联起来,但是不能直接利用风洞试验的热流、无量纲热流和Stanton数作为关联参数;在高焓CO2风洞试验条件下,可以利用模型驻点附近的无量纲压力、压力系数和Stanton数作为外推参数,但是不能直接将风洞试验的热流、无量纲热流作为相关性参数,将风洞条件下的风洞数据通过外推获取飞行条件下飞行器的性能参数。

基于程序建模的网络程序漏洞检测技术
邓兆琨, 陆余良, 黄钊, 黄晖, 朱凯龙
2019, 45(4): 796-803. doi: 10.13700/j.bh.1001-5965.2018.0436
摘要:

研究和分析了网络程序漏洞检测方法,针对C/S结构下网络程序存在的二进制漏洞提出了一种基于程序建模的漏洞检测方法。该方法针对网络程序架构进行分析,通过抽取不同类型网络程序中的关键性系统函数,进行程序建模和检测系统执行模块开发。采用选择符号执行技术进行检测,通过函数挂钩的方式定制挂钩函数语义和函数执行触发的操作,引入符号化数据和引导符号执行过程。研究过程中基于该技术实现了一套网络程序漏洞检测系统,系统能够识别目标网络程序采用的I/O模型,根据目标网络程序的不同类型调取相应的系统执行模块,利用选择符号执行技术进行自动化漏洞检测过程。实验结果表明,相比于已有的检测工具,该系统在网络程序的漏洞检测方面针对性更强,程序代码的覆盖率更高,同时具有很好的可扩展性。

基于FPGA的低复杂度快速SIFT特征提取
姜晓明, 刘强
2019, 45(4): 804-810. doi: 10.13700/j.bh.1001-5965.2018.0438
摘要:

尺度不变特征变换(SIFT)算法具有优良的鲁棒性,在计算机视觉领域得到广泛应用。针对SIFT算法高计算复杂度而导致其在CPU上运行实时性低的问题,基于现场可编程门阵列(FPGA)设计了一种低复杂度的快速SIFT硬件架构,主要对算法的特征描述符提取部分进行优化。通过降低梯度信息(包括梯度幅值和梯度方向)的位宽、优化高斯权重系数的产生、简化三线性插值系数的计算和简化梯度幅值直方图索引的求解等方法,避免了指数、三角函数和乘法等复杂计算,降低了硬件设计复杂度和硬件资源消耗。实验结果显示,提出的低复杂度快速SIFT硬件架构,与软件相比,可以获得约200倍的加速;与相关研究相比,速度提高了3倍,特征描述符稳定性提高了18%以上。

飞机框肋类零件基础特征自动识别与提取算法
汤志鸿, 郑国磊, 郑艺玮
2019, 45(4): 811-820. doi: 10.13700/j.bh.1001-5965.2018.0454
摘要:

飞机框肋类零件是组成飞机骨架的重要零件,具有数量大、形状各异等特点,其生产制造所耗费的时间在飞机研制过程中占有较大比重。然而,通过现有CAD软件所提供的功能进行相关制造操作,无论是效率、质量等均已不能满足现代飞机设计和制造要求,围绕飞机框肋类零件研究和开发相关的自动化制造系统已迫在眉睫。基于框肋类零件边界表示模型对零件基础特征进行自动识别与提取,是实现后续相关工艺规划与加工的基础与前提。针对该问题,提出零件基础特征模型,并建立一种基于同侧面的特征识别算法,即:以零件STEP数据作为输入,选取两侧腹板面,应用属性邻接图(AAG)构建、有效邻面识别、关联面完整识别等方法,逐级识别各级关联面以构建两侧同侧面,通过同侧面单元匹配最终实现基础特征构造和特征邻接图构建。其中,针对零件三维模型中的碎面缺陷提出其定义与识别方法,以保证特征面识别的完整性。经由实例测试,验证所提算法的可行性与有效性。

一种混合粒度奇偶校验故障注入检测方法
王沛晶, 刘强
2019, 45(4): 821-826. doi: 10.13700/j.bh.1001-5965.2018.0464
摘要:

为了实现高效的抗故障注入攻击,提出了一种混合粒度奇偶校验故障注入检测方法。传统奇偶校验检测方法为每n比特设置一个奇偶位,表示该n比特的奇偶性。随着n的减小,奇偶位个数增加,资源消耗增加,检测率提高。为了实现故障检测率和资源消耗的折中,对电路故障注入敏感部分或关键部分处理的数据采用细粒度奇偶校验(即n值较小),对其他部分采用粗粒度奇偶校验。以RC5加密算法为例,阐述了混合粒度奇偶校验故障检测方法的原理和应用,并对不同粒度奇偶校验方法的故障检测率及资源使用进行了理论分析。实验结果表明,与整个RC5电路都采用字(n=32 bit)奇偶校验相比,混合粒度奇偶校验故障注入检测方法可以提高故障检测率29.44%,仅增加资源消耗2.48%。

光电二极管的地球反照光校正及卫星姿态估计
褚理想, 樊巧云
2019, 45(4): 827-833. doi: 10.13700/j.bh.1001-5965.2018.0470
摘要:

光电二极管作为体积小、成本低的太阳敏感器,可以结合地球敏感器进行卫星三轴姿态估计,但是地球反照光对其具有严重的影响,从而限制了其应用,然而地球反照光数学模型应用复杂。针对此问题,首先建立了一种简化的光电二极管量测模型,将地球反照光设成动态偏置项补偿在光电二极管模型中,并将误差建模为混合高斯噪声。然后应用滑窗估计和随机权重策略动态估计和更新模型中的参数。同时,采用多比例因子分别估计各光电二极管的地球反照光影响,并引入Huber影响函数处理异常值,从而提高了算法鲁棒性和参数估计精度。实验结果表明,采用地球反照光校正的光电二极管量测模型和无迹卡尔曼滤波(UKF)算法可实现卫星的高精度姿态估计,三轴姿态精度能达到0.2°~0.3°。

考虑多因素的可修系统任务可靠性分配方法
刘朝霞, 孙宇锋, 轩杰, 许智宏, 赵广燕
2019, 45(4): 834-840. doi: 10.13700/j.bh.1001-5965.2018.0472
摘要:

在实际工程中,系统常常是由串联、并联、旁联和表决等模型混合而成的复杂可修系统,目前此类系统的可靠性分配方法多采用等分分配等方法,得到的分配结果往往误差较大。本文提出了一种考虑维修、故障逻辑等多因素影响的可修系统任务可靠性分配方法。该方法以系统故障率为待分配指标,首先对包含维修影响的故障率进行转换,然后利用考虑故障逻辑的评分分配法进行分配,最后通过备件系数进行修正,获得分配结果。新方法能够为在实际工程中可修系统的任务可靠性分配提供一种简便易行的方法。

基于F-P腔的激光频率稳定传递方法
李欣怡, 李秀飞, 全伟
2019, 45(4): 841-846. doi: 10.13700/j.bh.1001-5965.2018.0473
摘要:

量子传感的发展需要频率高度稳定的激光器为基础,且实现大失谐激光频率稳定通常是提高其精度和灵敏度的关键。针对大失谐激光稳频问题,提出了一种利用法布里-珀罗(F-P)腔传递激光频率稳定性的方法。以饱和吸收稳频法锁定的激光器频率为参考,基于锁相原理,锁定F-P腔长度。利用F-P腔长度这个稳定的参考点,实现目标激光器的频率的精确锁定。实验将目标激光器波长锁定于767.001 nm,失谐频率为150 GHz,锁定后的频率漂移为1 MHz/h。该方法解决了激光大失谐稳频问题,对工程实践和科学研究有重要意义。

常见问答