留言板

尊敬的读者、作者、审稿人, 关于本刊的投稿、审稿、编辑和出版的任何问题, 您可以本页添加留言。我们将尽快给您答复。谢谢您的支持!

姓名
邮箱
手机号码
标题
留言内容
验证码

2018年  第44卷  第4期

显示方式:
2018年, 第44卷, 第4期
icon下载 (27259) 937 icon预览
论文
高速柔性转子系统非线性振动响应特征分析
洪杰, 于欢, 肖森, 马艳红
2018, 44(4): 653-661. doi: 10.13700/j.bh.1001-5965.2017.0266
摘要:

针对高速柔性转子多支点支承的结构特点及转子动力特性设计的需要,分析松动支承对转子动力特性的影响,仿真研究得到多支点支承高速柔性转子系统的非线性振动响应特征。研究结果表明:工作在多阶临界转速以上的转子系统,存在松动支承时,工作中的柔性转子可能存在周期、拟周期、混沌运动。进而研究了松动支承位置、不平衡量、松动间隙等参数对多支点支承柔性转子振动响应的影响,分析结果为多支点支承高速柔性转子系统的动力学设计提供了理论方法。

基于双模式驱动的飞行汽车起飞阶段动力匹配分析
徐斌, 田富刚
2018, 44(4): 662-669. doi: 10.13700/j.bh.1001-5965.2017.0279
摘要:

针对折叠翼飞行汽车起飞阶段的动力匹配问题,研究了基本的动力控制策略,通过理论计算分析了起飞阶段双模式驱动特性,提出了最佳切换时刻的概念。对某型飞行汽车传动系统进行了动力匹配计算,并以该飞行汽车参数为基础,在Simulink中建立了不同工况下的行驶仿真模型,对起飞阶段行驶状态进行了仿真分析,给出了基于双模式驱动的动力匹配方案以及最佳切换时刻的选取原则。计算结果表明,通过采取双模式驱动,起飞加速时间缩短22%,起飞滑跑距离缩短13%。进一步对传动系统参数、整车设计参数以及发动机输出特性进行了优化分析,分析计算结果给出了各参数变化对起飞动力性能的影响。

基于稀疏傅里叶变换的快速捕获方法
张春熹, 李先慕, 高爽
2018, 44(4): 670-676. doi: 10.13700/j.bh.1001-5965.2017.0280
摘要:

卫星信号捕获是接收机内基带信号处理的关键步骤,捕获的速度严重影响接收机首次定位的时间(TTFF)。在基于快速傅里叶变换(FFT)的并行码相位捕获(PCPS)方法基础上,将具有亚线性运算量的稀疏傅里叶变换(SFT)引入捕获过程中,提出了基于SFT的快速捕获方法,通过优化捕获过程中相关运算的效率,提高捕获速度。仿真结果表明,与传统的基于FFT的捕获方法相比,基于SFT的快速捕获方法运算效率提高到原来的2倍,更好地满足了卫星信号对快速捕获的要求。

气象因素对飞机进近飞行燃油效率的影响
胡荣, 吴文洁, 陈琳, 张菲菲
2018, 44(4): 677-683. doi: 10.13700/j.bh.1001-5965.2017.0245
摘要:

气象因素对航空飞行意义重大。为了考察航空飞行的燃油效率,基于飞机性能数据库(BADA)模型,考虑气象因素,建立飞机燃油消耗的修正模型。以广州白云国际机场某进港航班为例,开展飞机进近飞行仿真试验,从燃油流量和燃油消耗量2个维度分别讨论气温、气压、风速变化对飞机燃油效率的影响。结果表明:气象因素与飞机燃油效率存在明显的相关性。当飞机飞行高度一定时,气温升高,燃油流量和燃油消耗量增大,燃油效率降低;气压增强,燃油流量无明显变化,燃油消耗量略有降低,燃油效率升高;风速增加,燃油流量和燃油消耗量先减小后增大,燃油效率先升后降,风速为4 m/s时燃油效率最高。当飞机飞行高度下降时,气温和气压升高,风速下降,燃油流量小幅度波动上升,燃油效率降低。最佳气象条件下,一次进近飞行能减少约3%的燃油消耗。研究结果对提高实际飞行的燃油效率有一定的参考意义。

BDS/GPS组合导航接收机自主完好性监测算法
王尔申, 杨福霞, 庞涛, 曲萍萍, 蓝晓宇, 姜毅
2018, 44(4): 684-690. doi: 10.13700/j.bh.1001-5965.2017.0277
摘要:

为使接收机自主完好性监测(RAIM)技术应用于民航垂直引导进近(APV)飞行阶段成为可能,研究了BDS/GPS组合导航RAIM算法。提出了一种基于BDS/GPS定位解最优加权平均解的算法,结合最优加权平均解与BDS/GPS定位解的关系建立检验统计量,根据最大允许的虚警率计算检验门限,实现对故障所在卫星导航系统的检测,并采用加权最小二乘残差法对故障进行检测与识别。研究结果对多星座组合卫星导航系统应用于民航APV飞行阶段的导航具有一定的参考意义。

放飞过程中平流层飞艇运动与受力分析
张泰华, 姜鲁华, 周江华
2018, 44(4): 691-699. doi: 10.13700/j.bh.1001-5965.2017.0227
摘要:

平流层飞艇放飞方式是其安全起飞的先决条件。本文对平流层飞艇放飞过程动力学响应建立了力学模型,提出了解析求解方法,开展了定量分析研究。依据影响平流层飞艇放飞过程的关键因素,对单氦气囊结构以及多氦气囊结构的平流层飞艇放飞过程进行了动力学分析,将单氦气囊结构飞艇动力学响应的定量分析结果与飞行试验过程中获得的数据进行对比,验证了分析方法的准确性,为进一步优化放飞过程的操作提供了依据。

基于Rao-Blackwellized蒙特卡罗数据关联的检测跟踪联合优化
陈唯实, 闫军, 李敬
2018, 44(4): 700-708. doi: 10.13700/j.bh.1001-5965.2017.0228
摘要:

提出了基于Rao-Blackwellized蒙特卡罗数据关联的雷达目标检测跟踪联合优化算法。Rao-Blackwellization方法将单目标跟踪与数据关联分开处理,将序贯蒙特卡罗方法(粒子滤波)用于数据关联,实现杂波与虚警量测中的多目标跟踪。同时,根据粒子的分布范围确定波门大小。在考虑粒子权重的前提下,利用检测单元与所有粒子的相对位置对检测门限进行修正,提高检测率。将本文算法与已经实现的基于空域特性的杂波抑制算法相结合,分别应用于仿真数据、S波段相参与非相参雷达实测数据。实验结果表明,本文算法能够在粒子数较少的情况下,实现对小弱目标的检测与跟踪。

轴向间距对转子叶片颤振特性的影响机理
郑赟, 余永博
2018, 44(4): 709-716. doi: 10.13700/j.bh.1001-5965.2017.0251
摘要:

使用自行开发的非定常流固耦合数值模拟程序,研究了上游叶排影响转子叶片颤振特性的机理,采用影响系数法分析轴向间距影响转子气动弹性稳定性的规律。结果表明:在协调叶栅中,叶片吸力面相邻的叶片振动对转子叶片气动阻尼的大小起决定性作用,其影响甚至超过振动叶片本身的影响;多排环境中,导叶(IGV)对转子叶片气动阻尼最小值的影响最大,并使其对应的节径增大;相邻叶片振动引起的通道变化抑制了导叶对非定常压力波的反射作用;随着轴向间距的减小,导叶对非定常压力波的反射作用减弱了非定常压力波的周向衰减,从而增大了叶片振动的非定常影响范围;在多排环境中使用影响系数法需要测量更多的叶片才能得到较为准确的气动阻尼。

基于滚动时域优化的旋转弹解耦控制器设计
陈伟, 孙传杰, 冯高鹏, 拜云山
2018, 44(4): 717-724. doi: 10.13700/j.bh.1001-5965.2017.0271
摘要:

旋转弹在飞行过程中会受到外界干扰和不确定性的影响,并且存在气动交联、惯性交联和控制交联,为了实现稳定飞行,有必要进行解耦控制器设计。提出了一种基于滚动时域优化(RHO)的解耦控制方法。将旋转弹和舵机系统的动力学模型用状态空间形式描述,基于旋转弹、指令滤波器、积分跟踪误差的状态方程得到一个增广状态方程。采用基于指令滤波器的滚动时域优化方法进行控制量解算,根据系统输出与指令信号之间的差值实时调节控制器增益,实现旋转弹解耦控制。从加速度控制仿真结果可以看出,所设计的控制系统基本不受转速、建模误差和外界干扰的影响,具有较高的鲁棒性。

面向装备RUL预测的平行仿真技术
葛承垄, 朱元昌, 邸彦强
2018, 44(4): 725-736. doi: 10.13700/j.bh.1001-5965.2017.0262
摘要:

装备平行仿真是系统建模与仿真领域的新兴仿真技术,已经成为研究热点。在装备维修保障领域中,分析了装备剩余寿命(RUL)预测存在的突出问题,即模型参数固定、不具备自适应演化能力,成为阻碍实现装备剩余寿命自适应预测的首要因素。结合装备平行仿真理论,在建模分析的基础上提出了面向装备剩余寿命预测的平行仿真框架,该框架以Wiener状态空间模型为基础仿真模型,在动态注入的装备退化观测数据驱动下,利用期望最大化(EM)算法在线更新模型参数,并利用卡尔曼滤波(KF)算法实现仿真输出数据与观测数据的同化(DA),从而实现仿真模型动态演化,使得仿真输出不断逼近装备真实退化状态,为准确预测剩余寿命提供高逼真度仿真模型和数据输出。以某轴承性能退化数据为数据驱动源,对该框架进行了验证,仿真结果表明平行仿真方法能准确仿真装备性能退化过程,在提高预测精度的基础上实现了装备剩余寿命的自适应预测,有力证明了平行仿真方法的可行性和有效性。

基于输入成形的太阳能帆板自适应滑模控制
周通, 郭宏, 徐金全
2018, 44(4): 737-745. doi: 10.13700/j.bh.1001-5965.2017.0276
摘要:

为提高太阳能帆板驱动系统(SADS)的角位置控制性能和抑制太阳能帆板的柔性振动,提出了一种自适应滑模控制(ASMC)与输入成形技术相结合的控制策略。该控制策略通过自适应滑模控制保证了系统在不确定性影响下的一致有界性和渐进一致有界性,从而提高了太阳能帆板驱动系统的角位置控制性能。同时,通过基于参考模型的输入成形器(IS)规划了指令轨迹,进而抑制了太阳能帆板的柔性振动。仿真结果表明了控制策略的有效性。

基于模块化的缠绕机设计方法
徐小明, 张武翔, 丁希仑
2018, 44(4): 746-758. doi: 10.13700/j.bh.1001-5965.2017.0233
摘要:

缠绕机具有生产效率高、产品质量稳定等特点,是碳纤维复合材料成型的关键工艺装备。针对产品小批量、定制化的生产需求,提出了针对缠绕机结构和控制系统的模块化设计方法(MDM),拓展缠绕机的功能多样性。将缠绕机的结构部件进行功能分解和关联强度分析,采用组遗传算法(GGA)将部件聚类为标准化的模块,根据产品需求,以产品性能最好和成本最低为目标建立模块配置模型,基于快速分类的非支配遗传算法(NSGA-Ⅱ)求解多目标优化模型完成机械结构模块化配置。提出基于现场总线的分布式网络控制器结构,将控制器的接口标准化和网络化,根据机械结构的模块化配置实现控制器的快速重构。基于模型组件对象(COM)技术将软件模块设计为COM组件,采用k近邻(kNN)方法进行控制模式分类,并进行COM组件的重构,控制软件动态解析控制模式并管理COM组件的状态转移关系,从而实现软件的快速重构。对结构、控制器和软件模块化方法的研究能够实现缠绕机的快速重构,拓展缠绕机的功能。

行星三体引力摄动对卫星探测器大气制动的影响
江玲, 王悦, 徐世杰
2018, 44(4): 759-764. doi: 10.13700/j.bh.1001-5965.2017.0249
摘要:

考虑行星引力在其卫星探测器大气制动过程中的显著摄动,建立了基于Milankovitch参数的平均轨道动力学模型并对土卫六探测器进行仿真。首先,将轨道参数转换为无奇异的Milankovitch参数,考虑探测卫星的大气阻力、扁率摄动以及行星引力摄动,建立了半解析轨道方程。其次,以土卫六探测器为对象,选择不同的土星初始方位角进行有大气和无大气情况下的数值仿真,并进行比较分析。结果表明,土星初始方位角的选择会引起土卫六大气制动轨道偏心率和近拱点高度在不同范围内震荡,极大地影响大气制动效果。

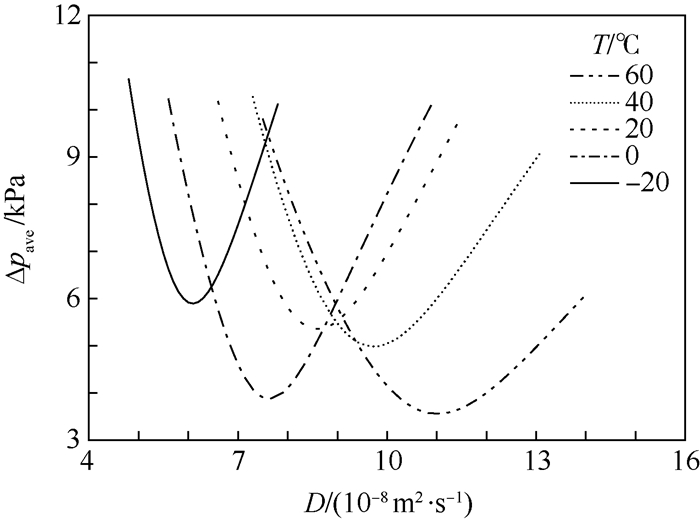
RP-3航空燃油中CO2扩散系数实验分析
李超越, 冯诗愚, 邵垒, 潘俊, 刘卫华
2018, 44(4): 765-771. doi: 10.13700/j.bh.1001-5965.2017.0265
摘要:

CO2在航空燃油中的质量扩散规律对飞机油箱惰化系统的研究极其重要。搭建压力降法实验装置测量CO2在RP-3航空燃油中的扩散系数,实验测试了-20、0、20、40和60℃恒温条件下的CO2气相空间压力随时间变化关系。根据Fick定律建立了容器中二维扩散方程,并采用数值解法,设定扩散系数值,求解气体在航空燃油中的浓度分布,根据质量守恒和实际气体状态方程可得到CO2气相空间压力,并与实验记录的气体压力进行比较。以扩散系数为自变量,推导了实验与理论计算误差函数,并采用Husain单一变量搜索法,使误差函数值最小,可得到扩散系数最优解。研究还显示CO2在RP-3航空燃油中的扩散系数随温度升高而增大,满足Arrhenius方程。

基于LSTM循环神经网络的故障时间序列预测
王鑫, 吴际, 刘超, 杨海燕, 杜艳丽, 牛文生
2018, 44(4): 772-784. doi: 10.13700/j.bh.1001-5965.2017.0285
摘要:

有效地预测使用阶段的故障数据对于合理制定可靠性计划以及开展可靠性维护活动等具有重要的指导意义。从复杂系统的历史故障数据出发,提出了一种基于长短期记忆(LSTM)循环神经网络的故障时间序列预测方法,包括网络结构设计、网络训练和预测过程实现算法等,进一步以预测误差最小为目标,提出了一种基于多层网格搜索的LSTM预测模型参数优选算法,通过与多种典型时间序列预测模型的实验对比,验证了所提出的LSTM预测模型及其参数优选算法在故障时间序列分析中具有很强的适用性和更高的准确性。

基于波导缝隙天线的TEM室频率扩展方法
宋春江, 冯骁尧, 戴飞
2018, 44(4): 785-791. doi: 10.13700/j.bh.1001-5965.2017.0296
摘要:

为突破实际测试当中的局限,研究了横电磁波传输(TEM)室频率范围的扩展方法。运用电磁场与微波技术相关原理,通过分析TEM室壳体开缝对高次模的影响,利用壳体表面电流分布变化规律和波导缝隙天线原理重新解释了开缝对高次模的抑制作用,进而提出了一种TEM室壳体表面开缝的设计方法。通过电磁场数值仿真,验证了抑制高次模工程方法的有效性,并对其控制参数和约束条件的准确性进行了分析评估;通过加工实物并进行实测,进一步验证了新方法的效果。仿真与测试结果表明,开缝抑制高次模的工程方法能够在不减小测试空间与影响主模传输的前提下,将测试带宽扩展了42.9%。

基于半监督集成学习的多核设计空间探索
李丹丹, 姚淑珍, 王颖, 王森章, 谭火彬
2018, 44(4): 792-801. doi: 10.13700/j.bh.1001-5965.2017.0297
摘要:

随着处理器的系统结构日趋复杂,设计空间呈指数式增长,并且软件模拟技术极为费时,成为处理器设计的重要挑战。提出了一种结合集成学习和半监督学习技术的高效设计空间探索方法。具体而言,该方法包括2个阶段:使用均匀随机采样方法从处理器设计空间中选择一小组具有代表性的设计点,通过模拟获得性能响应,从而组成训练数据集;提出基于半监督学习的AdaBoost(SSLBoost)模型预测未模拟的样本配置的响应,从而搜索最优的处理器设计配置。实验结果表明,与现有的基于人工神经网络和支持向量机(SVM)的有监督预测模型相比,SSLBoost模型能够使用更少的模拟样本构建出不差于现有方法性能的预测模型;而当模拟样本数量相同时,SSLBoost模型的预测精度更高。

基于测试性D矩阵的多故障诊断与维修策略
田恒, 段富海, 樊亮, 桑勇, 史萌
2018, 44(4): 802-809. doi: 10.13700/j.bh.1001-5965.2017.0225
摘要:

针对复杂的多故障诊断问题以及多故障直接处理方法实现的难点,在测试性D矩阵基础上,提出了一种基于单故障化的多故障诊断与维修策略(MFDMSTS)。首先,在多故障假设下引入析取运算,定义了可隔离单故障和可隔离多故障,据此定义将多故障转化为单故障,并将转化的单故障与测试集组成新的D矩阵;然后,运用单故障诊断算法处理新的D矩阵,得到最优诊断树;最后,针对诊断树的不同叶子节点,提出了多故障诊断与维修策略。实例验算表明:MFDMSTS能降低平均诊断费用和平均诊断步数,并大幅降低误修率。

基于拉普拉斯变换的空间目标碰撞概率计算方法
霍俞蓉, 李智, 韩蕾
2018, 44(4): 810-819. doi: 10.13700/j.bh.1001-5965.2017.0263
摘要:

碰撞概率是空间碎片碰撞预警中评判碰撞发生可能性大小的重要依据,对航天器机动规避具有重要意义。基于拉普拉斯变换的碰撞概率计算方法利用拉普拉斯变换以及幂级数的定义,推导了在短时间接近情况下碰撞概率的幂级数表达式,分析了碰撞概率的截断误差并确定了在不同精度要求下的幂级数项数。针对2009年美俄卫星的碰撞事件,将基于拉普拉斯变换的碰撞概率计算结果与Chan方法、Monte Carlo方法的计算结果进行比较,验证了基于拉普拉斯变换方法在计算精度上的优势。

月基平台对地观测数据传输链路方案设计及分析
陈国强, 阮智星, 郭华东, 刘广, 丁翼星, 张严心
2018, 44(4): 820-827. doi: 10.13700/j.bh.1001-5965.2017.0290
摘要:

数据传输及处理能力是月基平台构建中的一个重要问题,如何高效准确地传输海量对地观测数据至地球供后续研究是开展月基对地观测的关键环节。通过STK和MATLAB软件联合仿真,模拟月基平台对地观测数据传输链路,首次提出适用于月基平台的下行链路通信方案:通过构建中纬度地球站、最小间隔经度值为40°的2颗中继卫星组的设计方案,可以最大程度地实现全天候、无时断的信号传输,满足下行链路接收端获取足够强度和低误码率的信息,从而保障月基平台的运行。

多模函数优化的改进花朵授粉算法
郭庆, 惠晓滨, 张贾奎, 李正欣
2018, 44(4): 828-840. doi: 10.13700/j.bh.1001-5965.2017.0240
摘要:

为了探讨花朵授粉算法(FPA)在解算多模函数优化问题中存在的不足,通过定义种群多样性及差异性指标,定性分析了FPA在多模复杂函数优化中的寻优缺点。基于模拟退火思想优化全局授粉过程,并利用Nelder-Mead单纯形搜索技术对花朵局部授粉进行重构,提出一种新的花朵授粉寻优架构。仿真结果表明,相对于基本的FPA、布谷鸟算法、萤火虫算法,改进花朵授粉算法能够有效避免陷入局部最优,具备优异的全局勘探和局部开采能力,对多模优化问题具有一定优势。

基于自适应通信拓扑四旋翼无人机编队重构控制
马思迁, 董朝阳, 马鸣宇, 王青
2018, 44(4): 841-850. doi: 10.13700/j.bh.1001-5965.2017.0281
摘要:

针对四旋翼无人机编队重构协同控制问题,基于切换通信拓扑结构的积分滑模控制(ISMC)方法进行了研究。根据四旋翼无人机间的通信拓扑关系以及编队重构特性,建立了四旋翼无人机编队模型。针对编队重构过程中可能出现的通信可靠性问题,提出了通信拓扑切换条件,结合积分滑模控制理论对切换通信拓扑条件下的协同控制器进行设计,并结合切换系统理论对编队系统稳定性进行了证明。仿真结果表明,无人机编队系统在编队重构过程中采用切换通信拓扑结构以及滑模控制方法能保证系统的稳定性,验证了方法的有效性。

基于八叉树的简化构型三角片等值面削减算法
徐雷, 王华锋, 潘海侠, 林广艳, 陈栎曦
2018, 44(4): 851-861. doi: 10.13700/j.bh.1001-5965.2017.0282
摘要:

采用简化构型的SMC算法相比标准MC算法能够有效减少构成等值面的三角片的数量,但因为其仅是在体元内部的简化,所以不能较好地利用数据集表面局部形态特征。针对这一问题进一步提出OSMC算法。其根据简化构型的特点,首先采用八叉树结构组织体元,然后采用自底向上的合并策略合并节点,最后实现局部区域三角片合并。实验证明:OSMC算法能够实现比SMC算法更多的三角片削减,尤其对于具有较多平坦区域的数据集效果显著,其对公开数据集数据的平均削减率为55.1%,而SMC算法为29.7%,在面对高分辨率的地质数据时其最高削减率达到了80%,平均也超过了50%,同时OSMC算法能够更好地适应数据集分辨率的增长。

Ni晶界上金属和非金属元素的相互作用
方淑娟, 石松鑫, 祝令刚, 周健
2018, 44(4): 862-867. doi: 10.13700/j.bh.1001-5965.2017.0293
摘要:

采用基于密度泛函理论的第一性原理计算方法,研究了常用合金化元素与非金属元素在晶界(GB)的偏析及其相互作用。选取2种类型的晶界结构进行研究:密排的晶界和较疏松的晶界。溶解能计算表明,金属和非金属元素在∑5晶界上均有明显的偏析行为,而在∑3晶界上的偏析现象不明显。通过计算常用过渡族合金化元素与非金属杂质C、H、O、N、B在各自最稳定位置的相互作用能,发现Ru、Re、W和Ta对O有强烈的排斥作用,因此对晶界抗氧化有益处;Ta排斥H,有抗晶界氢脆的效果。通过对金属元素与非金属元素在晶界上相互作用的系统研究,为Ni合金的晶界工程提供有价值的参考。

高纯V2AlC的无压烧结制备及表征
高少华, 缪奶华, 周健
2018, 44(4): 868-873. doi: 10.13700/j.bh.1001-5965.2017.0295
摘要:

采用无压烧结的方法,以V、Al、C混合粉末为原料制备V2AlC粉体材料。通过不同烧结温度下物相的演变过程对反应路径进行研究,同时探究了烧结助剂NaF对烧结过程的影响。实验结果表明,在1 300~1 500℃温度区间内V3Al2、C和VC发生反应生成V2AlC相,且无压烧结制备高纯V2AlC的最佳工艺为1 500℃保温2 h,元素摩尔配比为V:Al:C=2:1.2:1。此外,烧结助剂NaF的使用加快了反应过程,并使得反应温度降至1 400℃。实验得到的高纯度、颗粒尺寸分布适中(40~100 μm)的V2AlC可用做提高材料耐磨性的增强体以及二维材料V2C的前驱体。

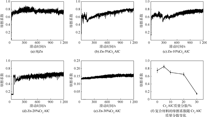
Zn-Cr2AlC复合材料的制备与摩擦磨损性能
李志, 赵文月, 缪奶华
2018, 44(4): 874-878. doi: 10.13700/j.bh.1001-5965.2017.0298
摘要:

为改善金属Zn的摩擦磨损性能,采用热压法制备Cr2AlC陶瓷颗粒增强Zn基复合材料,并研究了Cr2AlC质量分数对复合材料的金相组织、维氏硬度、相对密度及摩擦磨损性能的影响。结果表明,复合材料的硬度随着Cr2AlC质量分数的适量增加而明显升高。当Cr2AlC的质量分数达到20%时,复合材料的硬度是纯Zn的1.52倍。摩擦磨损实验表明,Cr2AlC颗粒的引入,可显著改善复合材料的摩擦磨损性能,摩擦系数由纯Zn的0.75降到Zn-20%Cr2AlC的0.65,Zn-30%Cr2AlC的磨损率相比纯Zn下降了80.54%。分析磨损表面形貌,得出其磨损类型为磨粒磨损和剥层磨损。

可吸收胶原膜的体内免疫反应评价
张林, 孙磊, 徐梦浛, 牛旭锋
2018, 44(4): 879-886. doi: 10.13700/j.bh.1001-5965.2017.0230
摘要:

免疫应答反应一直是限制可植入生物材料应用的关键因素之一。实验评估了2种用于骨修复的胶原膜在体内的免疫反应,希望为其临床试验提供依据。在将2种膜皮下植入到BALB/c小鼠后的第14天,与阴性对照(NC,未植入材料)相比,脾和淋巴结没有明显肿大,淋巴结细胞数几乎没差异,而脾细胞数大约是NC的2倍。流式细胞术分析显示植入胶原膜1导致脾中T细胞比例减少了约13%,但是没有影响T细胞亚群,而植入胶原膜2对小鼠的脾细胞组成没有明显影响;2种胶原膜都激活了一定的B细胞,激活率大约为NC小鼠的2倍。淋巴细胞体外增殖实验显示与NC组无显著差异。酶联免疫吸附测试表明胶原膜1导致了第14天血清中的抗体浓度升高至NC小鼠的2倍。局部H&E染色显示2种材料都引起了轻微的细胞浸润。这2种胶原膜引起的免疫反应很微弱,可以被应用于临床试验。

基于竞争博弈的多目标可靠性优化设计方法
冯嘉珍, 张建国, 邱继伟
2018, 44(4): 887-894. doi: 10.13700/j.bh.1001-5965.2017.0367
摘要:

针对目标权重选取的主观性问题,提出基于竞争博弈进行多目标可靠性优化设计的方法。首先,将各设计目标视为不同的博弈方,通过随机设计变量集映射(RDVSM)技术,将优化模型中的随机设计变量集分解为各博弈方所拥有的策略集;然后,各博弈方以自身收益为目标,结合性能测量方法在各自的策略集中进行单目标可靠性优化设计,并由所有的优化设计结果形成一轮博弈的策略组合;经过多轮博弈之后得博弈均衡解。压力容器和齿轮减速器2个案例的分析表明,所提方法有效避免了目标权重的选择,设计结果具有较高客观性。

常见问答