留言板

尊敬的读者、作者、审稿人, 关于本刊的投稿、审稿、编辑和出版的任何问题, 您可以本页添加留言。我们将尽快给您答复。谢谢您的支持!

姓名
邮箱
手机号码
标题
留言内容
验证码

2018年  第44卷  第12期

2018年, 第44卷, 第12期
icon下载 (48101) 833 icon预览
信息与电子技术
基于软件定义微纳卫星的多模式计算光学成像技术
刘扬阳, 吕群波, 谭政, 裴琳琳, 李伟艳, 王建威
2018, 44(12): 2463-2469. doi: 10.13700/j.bh.1001-5965.2018.0376
摘要:

为实现有效载荷具备上载软件在轨定义多功能、软件可控多功能、参数可重构的软件定义微纳卫星需求,需要突破传统卫星平台和传统光学相机的设计局限,开展基于微纳卫星的软件定义下新型计算光学成像载荷技术研究。充分考虑有效载荷的软件和硬件两者之间联合设计可能存在的发展空间,分析了亚像元信息、卫星平台参数、光学系统参数、探测器参数、噪声、大气对图像数据处理,特别是超分辨率重建的影响。根据各个影响因素的物理机制分别建立物理模型和误差模型,作为重建方法的先验信息,将这些有利于超分辨技术的先验信息约束应用于相机设计过程,使得相机获取的图像可以很好地匹配超分辨方法。该方法可以提升视觉分辨率和实质分辨率,同时保持对噪声的抑制能力,并有可能降低传统相机的结构尺寸和研制难度。研制实现集超分辨成像、动态范围增强成像、视频成像等软件智能可控的多种成像处理模式于一体的通用型计算光学成像相机,将对航天产业提供更大的灵活性和增值空间,为未来智能卫星航天技术研究与快速创新提供一种可行的方案。

卫星时序数据挖掘节点级并行与优化方法
鲍军鹏, 杨科, 周静
2018, 44(12): 2470-2478. doi: 10.13700/j.bh.1001-5965.2018.0334
摘要:

智能卫星技术对卫星时间序列数据挖掘提出了越来越多的需求。通常卫星数据计算量都非常大,若串行执行则需要较长时间。以卫星异变过程多类型特征分析过程为典型代表,针对窗口划分与向量相似度计算、特征提取、傅里叶变换、聚类等常见数据挖掘操作,探讨了在多核CPU和GPU的典型异构计算节点中对时序数据挖掘过程进行并行优化的多种策略,包括向量化方法、多进程方法、GPU计算等方法。对这几种优化策略的适用情况进行了实验分析对比。结果表明,针对不同任务情况综合使用多种优化策略具有显著提升效果。

基于边缘保持滤波和结构张量的遥感图像融合
曲家慧, 李云松, 董文倩, 郑毓轩
2018, 44(12): 2479-2488. doi: 10.13700/j.bh.1001-5965.2018.0345
摘要:

高光谱(HS)遥感图像含有丰富的光谱信息,但是空间分辨率较低,而全色(PAN)遥感图像空间分辨率较高。针对高光谱遥感图像与全色遥感图像的融合问题,提出了一种新的基于边缘保持滤波和结构张量的遥感图像融合算法。首先,为了提取高光谱遥感图像的空间信息,提出使用边缘保持滤波方法,该提取方法可以保证提取的信息全部为空间细节信息,避免低频混叠。其次,对全色遥感图像采用高斯-拉普拉斯图像增强算法进行图像锐化,降低图像噪声,锐化细节信息。再次,为得到总空间信息,提出使用结构张量的自适应加权策略。传统的融合算法通常仅从全色遥感图像中提取空间信息,可能会引起光谱失真或空间细节加入不足等问题,为了克服这些问题,提出的自适应加权策略得到的总空间信息不仅包含全色遥感图像的空间信息,还包含高光谱遥感图像的空间信息,且自适应加权相对于全局常数加权,可以自动选取更加合适的加权数据。最后,通过构建可以控制光谱和空间失真的增益矩阵,将总空间信息注入到插值的高光谱遥感图像的每个波段中,得到融合的高光谱图像。实验结果表明,本文提出的遥感图像融合算法,在客观评价方面,取得了最优的空间和光谱性能,在视觉效果上,与其他融合算法相比,可以更有效地提高空间分辨率和保持光谱信息。

采用矢量调制器实时消除模拟相关偏置
辛灿伟, 胡岸勇, 刘凯, 苗俊刚
2018, 44(12): 2489-2495. doi: 10.13700/j.bh.1001-5965.2018.0172
摘要:

在采用模拟复相关器的综合孔径辐射计中,模拟复相关器会受到很多因素(环境温度、信号串扰等)的影响而引入随时间变化的相关偏置。引入的相关偏置对高灵敏度室内综合孔径辐射计的影响很大,实时消除相关偏置是综合孔径辐射计设计中的关键点和难点。提出了一种采用矢量调制器实时消除模拟相关偏置的算法。通过算法推导和论证,在现有综合孔径辐射计中进行了验证,很好地解决了相关偏置问题,相关偏置的残余误差可以达到5%以内,校消的速度受限于积分时间,本文可以达到毫秒量级。本文算法简单易实现,也可广泛应用于其他需要实时消除此类干扰的系统中。

相控阵近场初始相位快速实时校准方法
辛灿伟, 胡岸勇, 刘凯, 苗俊刚
2018, 44(12): 2496-2502. doi: 10.13700/j.bh.1001-5965.2018.0225
摘要:

相控阵接收机主要依靠相位控制实现天线波束指向的转动。接收机的初始相位是实现波束指向控制的先决条件。在换相法的基础上提出了一种相干换相法,可以快速完成接收机各通道初始相位的初次校准,并应用旋转矢量法(REV)进行初始相位的精确校准。校准时相控阵天线和测试探头均不动,且在特定应用中不需要精确定位测试探头的位置,这样可以很容易集成到相控阵接收机监测系统中,实现快速实时校准。针对本文提出的方法,在Ka波段阵列辐射计上进行了验证,结果表明:相位精度达到5°±1.5°,完成256通道一次初始相位的校准仅需2 min左右。

一种软件定义卫星网络的多波束切换机制
张佳乐, 钱红燕, 成翔, 陈兵
2018, 44(12): 2503-2509. doi: 10.13700/j.bh.1001-5965.2018.0333
摘要:

传统的卫星网络通常将控制层和数据层集中在同一网络设备中,使得网络结构复杂、带宽固定、资源利用率差,而软件定义卫星网络(SDSN)架构能实现卫星资源的有效管理,提高资源利用率,为多波束间切换机制提供有效的技术支撑。针对具有多波束覆盖的SDSN,提出了一种多决策指标切换(MDIH)机制。首先,分析了传统切换机制的缺陷,确立了基于SDSN的切换框架。其次,在传统信道预留机制的基础上,引入时间门限的概念,使得切换机制能够精确触发;同时,在切换决策过程中,采用MDIH算法来确定用户的切换优先级,决策粒度细。最后,给出了一种抽象化多决策指标实例,进一步体现了MDIH算法的可扩展性。

基于图像分割和密度聚类的遥感动目标分块提取
林翊钧, 吴凤鸽, 赵军锁
2018, 44(12): 2510-2520. doi: 10.13700/j.bh.1001-5965.2018.0354
摘要:

大幅宽遥感图像的动目标检测研究中,卷积神经网络虽然取得了显著效果,但算法存在目标搜索空间庞大、模型极其消耗时间及计算资源的问题,因此本文从目标区域预筛选的角度给出了针对性优化方法。首先,基于局部误差处理的策略,改进了现有的图像分割算法来粗糙地提取动目标可能存在的区域。然后,以相邻区域合并、减少总数量和面积为目的,设计了一种基于空间约束的密度聚类算法——SC-DBSCAN,其以分治思想来降低问题的规模,通过空间尺寸的先验约束自适应地将数据划分为多个相互独立的簇,并针对簇的复杂程度选择相应的合并策略,在复杂簇中,考虑到合并结果与对象遍历顺序相关,易陷入局部最优,引入基于模拟退火思想的随机扰动有效提升了输出的图像块质量。最终,通过减少模型推断次数及避免目标的重复检测,显著地改进动目标检测的整体效率。

基于多普勒频移的光学大气测速系统设计
龙彦志, 梁应剑, 黄巧平, 孙筱逸, 吴梅
2018, 44(12): 2521-2527. doi: 10.13700/j.bh.1001-5965.2018.0204
摘要:

为解决直升机大气数据系统中采用传统空速测量方法所带来的缺陷,提出了一种基于光学原理的大气测速系统实现方案和一种矢量风速及大气数据的快速分解反演方法,并基于该方案设计了光学大气测速系统。该系统根据大气中气溶胶粒子米散射和多普勒效应原理,优化了系统受感器、解调器和高速信号采集处理方案。通过仿真验证了该系统性能指标,系统最大前向可探测空速可达450 km/h,真空速探测精度优于±1 km/h。利用搭建的光学测速试验样机进行地面跑车试验,并与传统的空速测量系统进行对比分析,验证了本文方法和系统的有效性和可靠性。

单平台成像目标运动特性反演方法
谌炳汉, 左峥嵘, 夏鲁瑞
2018, 44(12): 2528-2535. doi: 10.13700/j.bh.1001-5965.2018.0340
摘要:

针对单平台观测条件下目标运动特性反演问题,提出了基于序列图像的目标空间位置重建及运动参数估计模型和方法。为抑制大气折射对位置重建精度的影响,提出将大气视为球面分层,并划分若干层,采用反向追踪策略,从成像系统的入射光线出发,逆向计算出光线在每一层大气中的传输路径,根据追踪路径与目标发射面的交点确定目标空间位置。为减少发射面等先验参数误差的影响,以目标加速度参数一致性作为优化准则,采用迭代估计,在先验误差范围内搜索最优发射面,修正重建误差。通过以上过程反演得到目标运动轨迹以及运动参数,在先验误差范围内,反演的位置误差在200 m以下,速度误差在60 m/s以下。

基于CSI-XGBoost的高精度WiFi室内定位算法
张玄黎, 修春娣, 王延昭, 杨东凯
2018, 44(12): 2536-2544. doi: 10.13700/j.bh.1001-5965.2018.0268
摘要:

考虑到室内环境的复杂性和多径效应对WiFi指纹定位性能的影响从Intel 5300无线网卡中提取信道状态信息(CSI),利用修正后的CSI幅值和相位信息作为指纹特征,使用极限梯度提升(XGBoost)算法构建高精度指纹库,实现分米级的高精度室内定位。进一步通过实测数据分析了采样间隔、室内视距(LOS)和非视距(NLOS)环境、缺失值和数据维度等因素对所提算法定位性能的影响。实际室内环境下的实验结果表明,本文算法受NLOS影响较小,对室内复杂环境有很强的鲁棒性;此外,该算法能够很好地处理高维稀疏数据,解决CSI指纹特征的"误匹配"问题,且对缺失数据不敏感,定位准确度优于90%。

GBAS基准站布设方案设计与评估方法
张悦, 王志鹏, 李强
2018, 44(12): 2545-2555. doi: 10.13700/j.bh.1001-5965.2018.0080
摘要:

地基增强系统(GBAS)基准站的布设方式会直接影响系统精度与完好性,且与机场环境、卫星星座以及当地电离层活动情况密切相关。然而,美国联邦航空管理局(FAA)发布的GBAS选址标准只是给出了基准站布设的基本要求,没有深入考虑上述因素的影响。因此,GBAS基准站布设方案设计与评估方法需要进一步研究。首先,基于采集数据比较分析了5个机场典型GBAS基准站布设和伪距校正误差标准差。然后,结合理论和仿真研究了基准站个数对GBAS性能的影响,以及基线长度对星历故障监视和异常电离层梯度监视性能的影响。最后,提出一种GBAS基准站布设方案设计和评估方法,并辅以Ⅴ型跑道的4个方案示例,为根据机场实际情况、GBAS星历故障监视和异常电离层梯度监视实际需求等设计和选择合适的方案提供参考。

基于FPGA的高光谱异常目标检测RXD算法加速方案
郑毓轩, 李云松, 师艳子, 曲家慧, 谢卫莹
2018, 44(12): 2556-2567. doi: 10.13700/j.bh.1001-5965.2018.0344
摘要:

高光谱图像在带来丰富光谱信息的同时,其数据量大和维数高的特性也使得各种目标检测算法进行处理时往往产生庞大的运算量,所以采用可以实现高光谱异常目标检测算法的高速处理方案显得尤为迫切和重要。考虑到现场可编程门阵列(FPGA)强大的并行计算能力和极具灵活的设计方式,针对高光谱异常目标检测RXD算法中协方差矩阵及其逆的计算量过大的问题,以分块并行和正交三角(QR)分解为主要加速思想,利用高层次综合(HLS)工具对算法进行优化,提出了RXD算法在FPGA平台上的加速方案。实验结果表明,所提出的基于FPGA平台的加速方案可以在保持算法检测性能的同时达到相较于CPU实现7.04倍的加速,验证了加速方案的正确有效性。

基于非圆特征恢复的极化敏感辅助阵列波束形成
万鹏程, 白渭雄, 高晓阳, 陈红
2018, 44(12): 2568-2574. doi: 10.13700/j.bh.1001-5965.2018.0202
摘要:

为了降低极化敏感阵列(PSA)的应用成本,优化极化信息的利用效率,提高导向矢量失配条件下的滤波性能,提出了极化敏感辅助阵列(APSA)模型和基于二相编码信号非圆特征恢复的波束形成算法。在单极化线阵的基础上对部分阵元进行双极化改造,构成APSA;根据接收信号矢量的协方差阵和共轭协方差阵,按照非圆率最大准则,对构造的新协方差阵进行特征分解以确定权矢量,进而完成数字波束形成。详细分析了阵列模型的性能,并讨论了最小方差无失真响应(MVDR)算法和特征子空间投影(EP)算法。仿真结果表明,二相编码的非圆特征恢复算法不受导向矢量误差的影响,在阵列模型的基础上有主瓣干扰对抗能力,鲁棒性强。

控制技术和控制工程
兼顾控制流量的软件定义卫星网络路由策略
费长江, 赵宝康, 虞万荣, 吴纯青
2018, 44(12): 2575-2585. doi: 10.13700/j.bh.1001-5965.2018.0343
摘要:

软件定义卫星网络(SDSN)通过解耦数据与控制平面,实现网络态势与控制的逻辑集中,为管理卫星网络提供了一种新的思路。在SDSN中,控制报文和数据报文同时在网络中传输,海量、动态、高优先级的控制流量将对数据报文传输产生极大的干扰。因此,提出了一种数据流退让路由(DFRR)策略。在计算数据报文路由时,DFRR将链路上控制流量大小作为影响链路代价的一个因素,以减少选择控制流量较大的链路;在网络操作控制中心(NOCC)连接的过顶卫星切换导致控制流量分布发生较大变化之前,DFRR预测可能发生拥塞的链路,并选出链路上部分数据流进行重路由,从而避免拥塞。在开发的SDSN研究平台OpenSatNet上对DFRR的性能进行了评估。实验结果表明,DFRR能够有效减少网络中的链路拥塞,以及控制报文和数据报文的分组丢失。

低存储资源开销的多路快速星点质心提取方法
于文波, 江洁
2018, 44(12): 2586-2594. doi: 10.13700/j.bh.1001-5965.2018.0124
摘要:

数据更新率是星敏感器的一项重要指标。随着大面阵图像探测器的应用,传统单路质心方法的处理速度已成为更新率的主要瓶颈。为此,提出一种多路快速星点质心提取方法。首先,采用基于目标行方向有效长度的边界目标信息融合技术,能够实现各种形状边界目标信息的正确融合。其次,采用动态双指针循环映射机制,能够对无效信息占用存储资源进行循环利用,大大提高了存储资源的利用效率。最后,对本文方法进行实验测试,并在相同现场可编程门阵列(FPGA)芯片上,与传统单路质心方法的性能进行对比分析。实验结果表明,本文方法处理速度约为传统单路质心方法的3.6倍,但使用的存储资源仅约为后者直接扩展的多路方法的40%,从而验证了本文方法的可行性与有效性。

核磁共振陀螺高精度磁场驱动技术
陆麒麟, 杨丹, 赵兴华, 周斌权
2018, 44(12): 2595-2604. doi: 10.13700/j.bh.1001-5965.2018.0137
摘要:

核磁共振陀螺(NMRG)是利用激光与核磁共振气室中的碱金属原子和惰性气体原子的相互作用使核子以拉莫尔频率进动,并通过磁场驱动技术对气室磁场实现闭环控制和对剩磁进行补偿来维持核子的共振状态,进而能够检测载体的角速度信息。磁场驱动技术作为磁场闭环控制的重要部分,直接影响核磁共振陀螺的磁场控制精度和稳定性。为了解决核磁共振陀螺磁场控制精度和稳定性不足的关键问题,采用交直流分离设计的压控电流源方案改善磁场驱动问题,基于噪声分析理论对电路进行建模和噪声分析,并通过实验验证对三轴线圈的横向磁场控制精度达±0.046 2 nT,纵向磁场控制精度为±0.003 1 nT,实验证明该技术方案具有较强的工程应用价值。

基于Hammerstein结构的电子节气门动态非线性建模
杨新宇, 张臻, 谭清远, 陈翔, 周克敏
2018, 44(12): 2605-2612. doi: 10.13700/j.bh.1001-5965.2018.0198
摘要:

为实现对配装于5.7 L汽油发动机的某型汽车电子节气门(ETB)系统的鲁棒控制,需先建立ETB系统的非线性逆模型以抵消动态迟滞非线性对系统控制性能的影响,针对该ETB系统非线性特性进行了研究,基于Hammerstein模型结构对ETB的动态迟滞非线性进行了建模。首先为了描述ETB特殊的迟滞非线性特性,构造了一种新的静态迟滞算子作为Hammerstein系统中的非线性子系统并推导得到了静态迟滞算子的解析逆;然后基于迟滞逆补偿策略估计出Hammerstein系统中的中间不可测变量;最后基于最小二乘估计法辨识得到Hammerstein系统中的线性子系统。建模结果与实验结果对比表明本文模型能够很好地描述ETB的动态迟滞特性。

宇航科学与工程
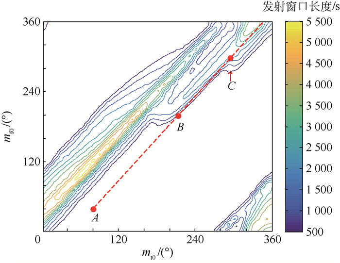
基于代理模型的空间飞越发射窗口
向开恒, 李人杰, 陈杨
2018, 44(12): 2613-2620. doi: 10.13700/j.bh.1001-5965.2018.0264
摘要:

为了高效地分析空间飞越过程中航天器的初始位置对发射窗口的影响,研究了空间飞越任务流程,提出了不同初始条件下发射窗口的数值计算方法。在此基础上,为提高计算效率,研究了代理模型技术,包括样本点选取方法、代理模型构造方法和精度校验方法。对比分析了径向基函数(RBF)模型和Kriging模型,结果证明前者精度更高。使用RBF模型对不同初始条件下的发射窗口进行计算,耗时仅为使用真实模型时的0.29%,且精度校验满足要求,表明代理模型可以快速有效地分析初始条件对发射窗口的影响,为空间飞越轨道规划与设计提供理论依据和参考。

一种高效利用天基激光能量清除空间碎片的方法
石乾乾, 张艳, 赵鹏, 王成林
2018, 44(12): 2621-2627. doi: 10.13700/j.bh.1001-5965.2018.0241
摘要:

针对日益增长的空间碎片污染太空环境问题,建立了天基激光能量清除空间碎片的降轨模型。重点讨论了速度增量与空间碎片速度的夹角对近地点高度降低的影响,并考虑到天基平台与空间碎片作用距离的影响,从能量利用率的角度出发,提出了能量分配系数(CEA)的概念。基于CEA,设计出关于脉冲激光能量分配的策略,并与脉冲激光能量平均方式清除空间碎片的方式进行对比分析,说明了脉冲激光能量分配策略的有效性,提高了天基激光能量利用能力,达到了高效清除空间碎片的目的。

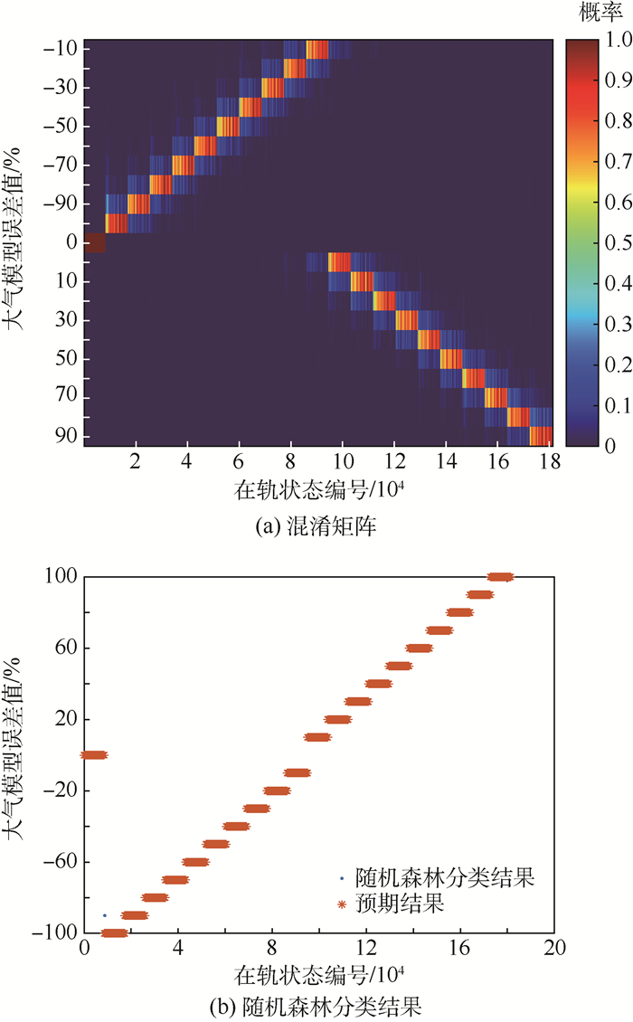
基于数据挖掘方法的空间大气模型修正
廖川, 白雪, 徐明
2018, 44(12): 2628-2636. doi: 10.13700/j.bh.1001-5965.2018.0335
摘要:

针对经验的空间大气模型会在轨道预报中造成较大的误差,以某型号卫星作为基准航天器,提出2种不同精度的轨道预报模型作为仿真基础,以产生训练数据和测试数据。利用3种数据挖掘中的分类方法,如支持向量机(SVM)、神经网络(NN)、随机森林(RF)等方法,对空间大气模型在轨道预报时造成的误差进行监督学习,借此反演误差简化模型中大气模型的偏差并进行修正。分类器的训练结果表明,随机森林方法由于随机选择决策树、随机选择分类项目,按照最大概率反演的大气模型误差准确率高达99.99%,支持向量机次之,最大准确率仅为50.7%,前馈负向传播神经网络容易出现不学习的情况,应用效果最差。相比传统数理统计方法,本文方法具有快速处理大数据集、能够挖掘隐藏在轨道预报微小误差中的潜在信息等优势。

基于智能手机APP的非合作目标三维重建与交互
翟敏, 刘华平, 张天昱, 卢山, 许静文
2018, 44(12): 2637-2643. doi: 10.13700/j.bh.1001-5965.2018.0356
摘要:

基于"软件定义卫星"的思想,设计并实现了一套利用天基观测序列对非合作目标进行三维重建的软件系统。考虑卫星与地面用户的交互性,该软件系统由2部分组成:星上云节点软件以及地面用户软件。在该软件系统中,普通用户可以通过地面用户软件,实时观测太空中非合作目标的三维结构,加强对太空的了解;对科研人员而言,对非合作目标的三维重建是对非合作目标进行抓取、捕获、提供在轨服务等进一步研究的基础。为了满足对非合作目标定轨、定姿的进一步需求,软件系统提供了三维重建中生成的匹配特征点的位置信息以及非合作目标与摄像机本体之间的向量信息。针对利用运动恢复结构(SFM)恢复三维结构存在的点云稀疏、可视化效果差的问题,采用SFM稀疏重建获得点云的基础上,进行泊松表面分布重建,获得致密、均匀的网格表面。由于缺乏空间非合作目标成像数据,采用地面仿真数据进行实验,结果表明,使用该方法可以完成对非合作目标的三维重建,重建效果好,并且三维重建中获得的匹配特征点数据可以对非合作目标的定姿、定轨提供数据支持。

飞行器设计与制造
纳卫星电磁对接机构技术
慕忠成, 叶东, 吴树范
2018, 44(12): 2644-2650. doi: 10.13700/j.bh.1001-5965.2018.0346
摘要:

在轨服务是未来卫星主要发展趋势之一,在轨软件重构和硬件重构技术是其主要核心技术。基于此,首先创新移植电磁原理和"笔帽式"锁紧原理,提出了一种适用于立方体纳卫星的1U微型电磁对接硬件重构设计方案。然后,基于所设计的电磁对接机构,通过电磁力和力矩精确模型和远场模型的比较分析,明确了远场模型适用范围为对接距离大于0.1 m。最后,利用数值仿真方法,分析得到单个线圈和含铁芯的通电螺线管比值约在10-8~10-4量级,为远场模型的修正提供参考。

基于深度强化学习的软件定义卫星姿态控制算法
许轲, 吴凤鸽, 赵军锁
2018, 44(12): 2651-2659. doi: 10.13700/j.bh.1001-5965.2018.0357
摘要:

深度强化学习(DRL)作为一种新型的基于机器学习的控制算法,在机器人和无人机等智能控制领域展现出了优异的性能,而卫星姿态控制领域仍然在广泛使用传统的PID控制算法。随着卫星的小型化、智能化以至软件定义卫星的出现,传统控制算法越来越难以满足姿态控制系统对适应性、自主性、鲁棒性的需求。因此对基于深度强化学习的姿态控制算法进行了研究,该算法使用基于模型的算法,比非基于模型的算法拥有更快的收敛速度。与传统控制策略相比,该算法无需对卫星的物理参数和轨道参数等先验知识,具有较强的适应能力和自主控制能力,可以满足软件定义卫星适应不同硬件环境,进行快速研发和部署的需求。此外,该算法通过引入目标网络和并行化启发式搜索算法之后,在网络精度和计算速度方面进行了优化,并且通过仿真实验进行了验证。

一种仿生附着装置柔顺关节的优化设计
崔永灿, 宋婷, 孙俊, 楚中毅
2018, 44(12): 2660-2666. doi: 10.13700/j.bh.1001-5965.2018.0342
摘要:

为提高仿生附着装置在捕获空间非合作目标物时对目标运动参数的适应性,设计了一种3自由度串联柔顺关节,可通过关节嵌入系统后的协调运动来辅助装置被动适应运动目标物姿态,并在运动过程中基于弹簧、阻尼缓冲器组成的关节柔顺机构及其能量耗散原理来降低目标物动能。为验证、优化关节性能,通过ADAMS虚拟样机软件建立了基于柔顺关节的仿生附着装置捕获过程运动学与动力学模型,分析了柔顺关节3组弹簧刚度系数、黏滞阻尼系数对非合作目标物捕获状态的影响,并利用ADAMS-iSIGHT联合仿真平台,通过多岛遗传算法对上述弹簧、阻尼器的重要参数进行了优化,极大提高了柔顺关节的能量耗散效果,同时保证了可捕获目标物运动参数达到规定要求。

总目次
2018年第44卷总目次
2018, 44(12): 2667-2686.
摘要:
常见问答