- 
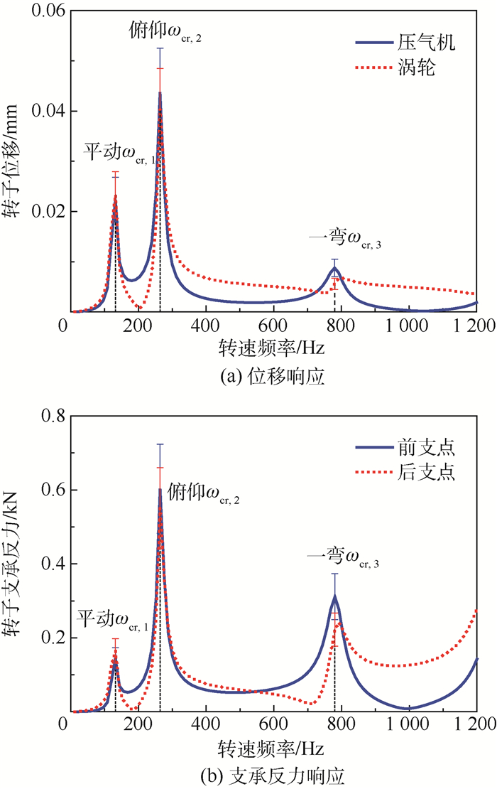
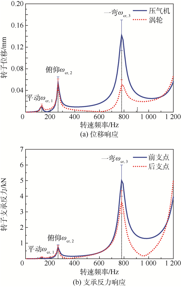
					    摘要:航空发动机热起动时的温度分布不均会使转子产生初始热变形,进而引起发动机振动过大,甚至导致起动失败。针对此问题,以航空发动机中的典型转子为对象,根据初始热变形对转子振动的影响建立相应的动力学方程,并通过模态坐标变换分析初始热变形对转子系统振动响应的影响。结果表明,初始热变形相当于对转子作用了附加激励,包括转轴初始弯曲激励、附加不平衡激励和附加陀螺力矩激励,上述激励均与转速同步。其中,附加不平衡激励和附加陀螺力矩激励大小与转速有关,对转子通过各阶临界转速的振动响应均有较大影响;转轴初始弯曲激励大小与转速无关,主要影响低阶临界转速的振动响应。 Abstract:Uneven temperature distribution of an aero-engine during hot restart can lead to initial thermal deformation of its rotors, which causes excessive engine vibration, or even a start-up failure. In view of the problem, this paper takes a typical rotor in aero-engines as an object, establishes its dynamic equation based on the effects of thermal deformation on vibration, and analyzes the effects of thermal deformation on vibration response of rotor system through modal coordinate transformation. The results show that thermal deformation is equivalent to additional excitations acting on the rotor, that is, initial shaft bow excitation, additional unbalance excitation and additional gyroscopic moment excitation, all of which are synchronous with the rotating speed. Moreover, the amplitude of unbalance and gyroscopic moment excitation is related to the rotating speed, therefore influencing rotor vibration response at different critical speeds to an equivalent extent, while that of initial shaft bow excitation is not related to the rotating speed and the response of low-order critical rotating speeds is more affected. - 
									Key words:
									
- rotor system /
- thermal deformation /
- initial bow /
- gyroscopic moment /
- unbalance
 
- 
						[1] 朱梓根, 晏砺堂.某型涡轮螺桨发动机转子偏磨故障分析[J].航空学报, 1992, 13(10):512-516. doi: 10.3321/j.issn:1000-6893.1992.10.011ZHU Z G, YAN L T.Troubleshooting of the rotor rubbing case for some turboprop engine[J].Acta Aeronautica et Astronautica Sinica, 1992, 13(10):512-516(in Chinese). doi: 10.3321/j.issn:1000-6893.1992.10.011 [2] 张连祥.航空发动机转子热弯曲引发的典型故障分析[J].振动与冲击, 2008, 27(S):7-9.ZHANG L X.Analysis of typical aeroengine vibration fault related to thermal bowed rotor[J].Journal of Vibration and Shock, 2008, 27(S):7-9(in Chinese). [3] 张连祥, 王娟.航空发动机热起动过程中的振动问题分析[J].振动与冲击, 2010, 29(S):132-134.ZHANG L X, WANG J.Analysis of aeroengine vibration fault during the hot-starting[J].Journal of Vibration and Shock, 2010, 29(S):132-134(in Chinese). [4] MARINESCU G, EHRSAM A.Experimental investigation into thermal behavior of steam turbine components-Part 2: Natural cooling of steam turbines and the impact on LCF life[C]//ASME Turbo: Power for Land, Sea, and Air.New York: ASME, 2012, 4: 1111-1120. [5] BALDASSARRE L, FONTANA M.Modelling of rotor bow during hot restart in centrifugal compressors[C]//39th Turbomachinery Symposium, 2010: 1-8. [6] NICHOLAS J C, GUNTER E J, ALLAIRE P E.Effectt of resi-dual shaft bow on unbalance response and balancing of a single mass flexible rotor-Part 1:Unbalance response[J].Journal of Engineering for Power, 1976, 98(2):171-181. [7] NICHOLAS J C, GUNTER E J, ALLAIRE P E.Effectt of resi-dual shaft bow on unbalance response and balancing of a single mass flexible rotor-Part 2:Balancing[J].Journal of Engineering for Power, 1976, 98(2):182-187. [8] SHIAU T N, LEE E K.The residual shaft bow effect on dynamic response of a simply supported rotor with disk skew and mass unbalance[J].Journal of Vibration, Acoustics, Stress, and Relia-bility in Design, 1989, 111(2):170-178. doi: 10.1115/1.3269838 [9] BACHSCHMID N, PENNACCHI P, VANIA A.Identification of multiple faults in rotor systems[J].Journal of Sound and Vibration, 2002, 254(2):327-366. [10] PENNACCHI P, VANIA A.Accuracy in the identification of a generator thermal bow[J].Journal of Sound and Vibration, 2004, 274(1-2):273-295. doi: 10.1016/j.jsv.2003.05.014 [11] SANCHES F D, PEDERIVA R.Theoretical and experimental identification of the simultaneous occurrence of unbalance and shaft bow in a Laval rotor[J].Mechanism and Machine Theory, 2016, 101:209-221. doi: 10.1016/j.mechmachtheory.2016.03.019 [12] 任平珍, 柴卫东, 胡璧刚, 等.航空发动机转子热弯曲稳态响应计算方法研究[J].燃气涡轮试验与研究, 1996(3):27-32.REN P Z, CHAI W D, HU B G, et al.Steady state response calculation of aeroengine rotor with thermal bow[J].Gas Turbine Experienment and Research, 1996(3):27-32(in Chinese). [13] 任平珍, 陆山, 赵明.转子热弯曲变形及其影响的数值分析方法[J].机械科学与技术, 1997, 16(2):95-98.REN P Z, LU S, ZHAO M.Numerical analysis method of thermal deflection and its affection on vibration response of rotor[J].Mechanical Science and Technology, 1997, 16(2):95-98(in Chinese). [14] 袁慧群, 朱向哲, 李东, 等.转子系统瞬态热启动过程动力学特性研究[J].振动与冲击, 2009, 28(7):33-37. doi: 10.3969/j.issn.1000-3835.2009.07.007YUAN H Q, ZHU X Z, LI D, et al.Dynamic characteristics of transient thermal starting up of a rotor system[J].Journal of Vibration and Shock, 2009, 28(7):33-37(in Chinese). doi: 10.3969/j.issn.1000-3835.2009.07.007 [15] 朱向哲, 贺威, 袁慧群.稳态温度场对转子系统振动特性的影响[J].东北大学学报(自然科学版), 2008, 29(1):113-116. doi: 10.3321/j.issn:1005-3026.2008.01.029ZHU X Z, HE W, YUAN H Q.Effects of steay temperature field on vibrational characteristics of a rotor system[J].Journal of Northeastern University(Natural Science), 2008, 29(1):113-116(in Chinese). doi: 10.3321/j.issn:1005-3026.2008.01.029 [16] GENTA G.Dynamics of rotating systems[M].Berlin:Springer, 2005:170. 
- 
						
						  
 
				

 
  
					 
							 
							 下载:
下载: 
				 
							 
							 
							 
							 
							 
							 
							 
							 
						
						
						
					 
  
												